相关产品推荐更多 >
万千商家帮你免费找货
0 人在求购买到急需产品
- 详细信息
- 文献和实验
- 技术资料
- 库存:
656
- 英文名:
AEBSF
- 保质期:
三年
- 供应商:
北京百奥莱博科技有限公司
- 保存条件:
-20℃
特别声明:本产品及我公司所售其他产品均为科研类试剂产品,严禁用于药物、医疗及其他非科研用途。
北京百奥莱博专业生产供应北京现货AEBSF特价优惠,我公司销*(代"售")全品类的分子生物学试剂,价格优惠,欢迎广大科研工作者垂询订购。
名称:AEBSF
品牌:百奥莱博
规格:50mg
英文名:AEBSF
产地:国产|进口
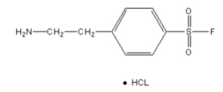
EBSF,英文名4-(2-Aminoethyl)benzenesulfonyl fluoride hydrochloride,中文名4-2-胺乙基*磺酰*盐*(代"酸")盐,是一种水溶性,不可逆的丝*酸蛋白酶抑制剂,广谱抑制胰蛋白酶、糜蛋白酶、纤溶酶、激肽释放酶和凝血酶活性。高产品蛋白纯化过程中往往需要蛋白酶抑制剂来预防蛋白降解,并提高蛋白制剂的纯度。AEBSF是传统蛋白酶抑制剂PMSF和DFP的替代物,因其毒性低,水溶性强,但水溶液稳定性更好。另外,AEBSF的抑制常数类似于 PMSF和DFP,且LD50(依小鼠的口服剂量)高于PMSF和DFP。近期报道发现AEBSF可以延长急性弓形虫感染小鼠的寿命,且在SNU-16人胃腺癌细胞中抑制TNF-α诱导的所有凋亡特征。
AEBSF已用于细胞培养及下游纯化,使用浓度可达 0.25 mM,推荐使用浓度为0.1-1 mM。
中文别名:4-(2-*乙基)*磺酰*盐*(代"酸")盐;;4-(2-*基乙基)**磺酰盐*(代"酸")盐
英文别名:AEBSF HCL; PEFABLOC SC;4-(2-Aminoethyl)benz;
分子式:C8H10FNO2S.HCl
分子量:239.7
CAS:30827-99-7
纯度:≥98%
外观:白色或灰白色结晶
熔点:180~182℃
溶解性:溶于水(50mg/ml),DMSO(50mg/ml)
结构式:

注意事项
1)AEBSF可诱导蛋白修饰,例如,可能影响蛋白的等电点。
2)AEBSF水溶液呈微弱酸性,4℃保持可维持其抑制活性高达6个月。而pH高于7.0水溶液稳定很弱。
3)为了您的安全和健康,请穿实验服并戴一次性手套操作。
储存条件:-20℃,有效期三年。
关键词:4-(2-*乙基)*磺酰*盐*(代"酸")盐,AEBSF,4-(2-*基乙基)**磺酰盐*(代"酸")盐
关于北京现货AEBSF特价优惠的更详细说明,请致电我公司咨询,我们将以最饱满的热情为您提供解答,此外,我公司专业供应下列产品:
| 编号 | 名称 |
| SY0640 | HRP标记小鼠抗β-Tubulin单克隆抗体 |
| SY0092 | AARE-Luc荧光素酶报告基因质粒 |
| SY0136 | PPAR-Luc荧光素酶报告基因质粒 |
| SY0102 | Myc-Luc荧光素酶报告基因质粒 |
| SY0678 | Alexa Fluor 790标记山羊抗兔IgG(H+L) |
| SY0094 | AR-Luc荧光素酶报告基因质粒 |
| SY0412 | 27mm透析袋(透析分子量7kDa) |
| SY0736 | Alexa Fluor 488标记驴抗大鼠IgG(H+L) |
| SY0287 | *苄青霉素* |
| SY0019 | Stbl2 化学感受态细胞 |
| SY0662 | HRP标记小鼠抗GFP-tag单克隆抗体 |
| SY0339 | 40%丙*(代"烯")酰胺/甲叉双丙*(代"烯")酰胺,19:1 |
| SY0654 | HRP标记小鼠抗HA-Tag单克隆抗体 |
| SY0698 | 碱性磷酸酶标记山羊抗大鼠IgG(H+L) |
| SY0346 | 考马斯亮蓝R250 |
| SY0303 | CHAPS |
| SY0030 | 长片段DNA聚合酶 |
| SY0664 | 兔抗MBP-tag多克隆抗体 |
| SY0421 | 3×Flag-tag重复多肽 |
| SY0468 | 蛋白A纯化预装柱 |
| SY0481 | 地塞米松溶液(10mM in DMSO) |
| SY0399 | 链霉亲和素琼脂糖纯化树脂 |
| SY0052 | 腺苷三磷酸溶液(100 mM)(ATP) |
| SY0450 | 髓鞘蛋白脂质蛋白多肽PLP(139-151) |
| SY0230 | RXR-GFP报告基因质粒 |
| SY0488 | JC-1荧光探针 |
| SY0743 | DyLight 405标记链霉亲和素 |
| SY0403 | 内毒素高效去除纯化树脂 |
| SY0534 | 细胞消化液 |
| SY0756 | DAB显色试剂盒紫蓝色(WB) |
| SY0206 | AREB6-GFP报告基因质粒 |
| SY0739 | Alexa Fluor 594标记驴抗豚鼠IgG(H+L) |
| SY0278 | X-Gluc |
| SY0702 | Alexa Fluor 488标记山羊抗大鼠IgG(H+L)F(ab) 2片段 |
| SY0357 | 4×Tris-HCl浓缩胶缓冲液,pH6.8 |
风险提示:丁香通仅作为第三方平台,为商家信息发布提供平台空间。用户咨询产品时请注意保护个人信息及财产安全,合理判断,谨慎选购商品,商家和用户对交易行为负责。对于医疗器械类产品,请先查证核实企业经营资质和医疗器械产品注册证情况。
文献和实验质分子量标准(19-119KD) (50次)--每支 280元 五. 秋季部分产品特价促销单 具体产品和价格如下: 一. DNA分子量标准产品: DNA分子量标准 规格 优惠价 DL2000 50次 58元 参照片断(bp):100 、250、500、750、1000、2000bp Marker1 50次 58元 参照片断(bp):100 、200、300、400、500、600bp Marker2 50次 58元 参照片断(bp):100 、300、500
。博士德部分现货ELISA产品超低价促销! 供应以上产品均为现货。特价产品如下: h.Activin A 1000元/96T h.MIP-1a 1500元/96T m.IL-4 1000元/96T h.BDNF 1000元/96Th.MIP-3a 1500元/96T m.IL-5 1000元/96T h.BMP-2 1500元/96Th.MCP-1 1000元/96T m.IL-6 1000元/96T h.CD54 1500元/96Th.MMP
技术资料暂无技术资料 索取技术资料










