相关产品推荐更多 >
万千商家帮你免费找货
0 人在求购买到急需产品
- 详细信息
- 文献和实验
- 技术资料
- 库存:
535
- 英文名:
Pfu DNA Polymerase
- 保质期:
长期
- 供应商:
北京百奥莱博科技有限公司
- 保存条件:
-20℃
特别声明:本产品及我公司所售其他产品均为科研类试剂产品,严禁用于药物、医疗及其他非科研用途。
高保真DNA聚合酶厂家的品牌:百奥莱博,是优质的核酸扩增(PCR)产品,用于科研实验,本产品质量好,且极具价格优势,深为用户称道,了解更多高保真DNA聚合酶等核酸扩增(PCR)产品请联*(代"系")我司咨询订购。
名称:高保真DNA聚合酶厂家
编号:SY0036
规格:100U
产地:国产|进口
英文名:Pfu DNA Polymerase
Pfu DNA Polymerase是经过基因工程改造的,新一代超保真DNA聚合酶,具有极高的扩增效率和广泛的模板适应性,可用于几乎所有PCR反应。其行进性 (processivity)得到了大幅度提升,即使是非常复杂的模板,也能准确快速的完成反应。
本产品中附带的5×Phanta SF反应缓冲液对于简单或复杂模板、短片段或长片段PCR扩增都具有良好的适应性。缓冲液中已经含有10 mM Mg2+ (1×终浓度为2 mM),可以使用产品中提供的DMSO或MgSO4对反应体系进行优化。另外,产品中附带的PCR Enhancer可有助于高GC含量片段的扩增。
产品特点:
• 保真度是Taq DNA Polymerase的52倍
• 扩增速度是常规聚合酶的4-150倍
• 广泛的模板适应性
• 优化的缓冲体系广泛适用于各种类型模板,便于快速得到理想的扩增结果
• 提供PCR Enhancer以帮助扩增高GC含量的模板
• 提供即用型的预混液,最大程度地减少实验步骤
产品组份:
5×SF Buffer(with 10mM MgSO4):1.25 ml
25 mM MgSO4:1 ml
dNTP Mix(10 mM each):100 μl
Pfu DNA Polymerase(1 U/μl):100 μl
5×PCR Enhancer:500 μl
DMSO:100 μl
10×Loading buffer:1.25 ml
活性定义:用活性化的大马哈鱼精子DNA作为模板/引物,74℃ 30分钟内,摄入10 nmol的全核苷酸为酸性不溶物的活性定义为1个活性单位(U)。
储存条件:-20℃。
质量控制
核酸外切酶残留检测:10 U本品和0.6 μg λ-Hind Ⅲ在74 ºC下孵育1小时,DNA的电泳谱带不发生变化。核酸内切酶残留检测:10 U本品和0.6 μg Supercoiled pBR322 DNA在74 ºC下孵育1小时,DNA的电泳谱带不发生变化。
大肠杆菌残留DNA检测: 50 μl体系中,加入2U本品,以ddH2O为模板,扩增E.coil 16s rDNA基因。35个循环后扩增产物进行1% 琼脂糖凝胶电泳,EB染色,无扩增条带。
功能检测1:50 μl PCR体系中加入1U本品,以100 ng人基因组DNA为模板扩增α-1-antitrypsin基因。30个循环后取10% PCR产物进行1% 琼脂糖凝胶电泳,EB染色,观察到单一的8.2 kb条带。
功能检测2:50 μl PCR体系中加入1U本品,以10 ng人基因组DNA为模板扩增30个循环,取10% PCR产物进行1% 琼脂糖凝胶电泳,EB染色,观察到单一的15 kb条带。
引物设计注意事项
1)引物3’端最后一个碱基最好为G或者C;
2)引物3’端最后8个碱基应避免出现连续错配;
3)引物3’端尽量避免发夹结构出现;
4)引物的Tm值调整至55℃-65℃之间。
5)引物额外附加序列,即与模板非配对序列,不应参与引物Tm值计算;
6)引物的GC含量控制在40%-60%之间;
7)正向引物和反向引物Tm值以及GC含量尽可能一致。
关于高保真DNA聚合酶厂家的更详细说明,请致电我公司咨询,我们将以最饱满的热情为您提供解答,此外,我公司专业供应下列产品:
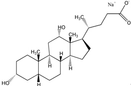
·脱氧胆酸*
编号:SY0336
英文名称:Sodium Deoxycholate
规格:10g
脱氧胆酸*(Sodium deoxycholate)是一种水溶性,胆酸类的阴离子去垢剂,能够有效破坏许多蛋白间的相互作用,普遍用于蛋白相关的实验。常用作细胞裂解液(如RIPA)的组分之一。用于脂质体制备,膜蛋白和脂质化合物提取,细胞核分离,代替脑磷脂做胆固醇絮状试验以及亲和层析中用来洗脱或再生柱子。还是一种细胞培养基添加剂。另外,它可以增加脂肪的溶解,以促进其在肠中的吸收。
中文别名:去氧胆酸*;3α,12α-二羟-5β-胆烷酸*盐;
英文别名:Sodium deoxycholic acid; deoxycholic acid, sodiu*(代"m") salt;
CAS:302-95-4
分子式:C24H39O4Na
分子量:414.56
外观:白色结晶粉末
纯度:≥99%
胆酸*:≤2%
溶解性:溶于水(330 g/L at 15℃)
储存条件:室温
结构式:

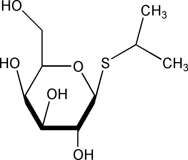
·5-*脱氧尿嘧啶核苷
编号:SY0504
英文名称:5-bromo-2-deoxyuridine (BrdU)
规格:100mg
目前常用的细胞增殖标记物有4种,DNA聚合酶α(DNA polymerase α),增殖细胞核抗原(Proliferating cell nuclear antigen,PCNA),Ki-67和5-*脱氧尿嘧啶核苷(Brdu)。其中Brdu为组织细胞非内源性表达存在,应用相对较广。Brdu,也称为*化去氧尿苷,一种合成的胸苷类似物,在S期可替代胸腺嘧啶核苷选择性结合到细胞DNA中。从而检测细胞DNA合成和标记细胞分裂,凋亡等行为。在遗传研究中Brdu可通过活体注射或细胞培养加载,然后使用抗Brdu的单克隆抗体进行特异性标记,ICC或IHC法染色法显示增殖细胞。另外,还能同时结合其它细胞标记物,双重染色,来判断增殖细胞的种类,增殖速度等,对研究细胞动力学有着重要意义。
CAS:59-14-3
分子式:C9H11BrN2O5
分子量:307.10
外观:白色或类白色粉末
熔点:187~189℃
纯度(Purity, HPLC):≥99%
溶解性:溶于1M *氧化铵(50 mg/ml),水(高达10 mg/ml);溶于DMF,DMSO,水(加热)(50-100 mg/ml)
储存条件:-20℃,有效期2年
结构式

高保真DNA聚合酶厂家关键词:SY0036,高保真DNA聚合酶,Pfu DNA Polymerase
·HRP标记小鼠抗HA-Tag单克隆抗体
编号:SY0654
英文名称:HRP-conjugated HA-Tag, Mouse mAb
规格:20μl(>50次)
本品为HRP标记小鼠抗HA-Tag单克隆抗体,HRP标记小鼠抗HA标签单克隆抗体。推荐稀释比例:WB(1:1000~10000)。
人流感病毒血凝素(Human influenza hemagglutinin, HA)是决定人病毒传染性的一类表面糖蛋白。HA标签(HA-Tag)来源于HA分子对应的98-106位*基酸(YPYDVPDYA ),广泛用作表达载体的通用表位标签。许多融合蛋白经基因工程重组后表达HA tag,且融合蛋白本身的生物活性和体内分布并不会受影响。 其他常用的标签还包括myc、Flag、His、GST等,标签的使用简化了蛋白的检测,分离和纯化。
本抗体特异性识别HA Tag,不仅利于检测带HA Tag的融合蛋白的表达量,另外还利于后续对融合蛋白的分离纯化。
产品类型(Product Type):Mouse ascites monoclonal antibody (Mouse mAb)
反应性:All
宿主:Mouse
应用:WB
缓冲液:1 mg/ml in Phosphate buffered saline (PBS) with 0.05% sodiu*(代"m") azide, pH 7.2
纯化:亲和纯化; Purity:>95%(SDS-PAGE)
储存条件:-20℃,避免反复冻融,有效期一年。
高保真DNA聚合酶厂家关键词:SY0036,高保真DNA聚合酶,Pfu DNA Polymerase
BTNydyz23 细胞凋亡诱导剂和抑制剂 Cell Apoptosis Inducer and Inhibitor(
ARB10611 人血红蛋白C(HbC)elisa检测 Human hemoglobin c,hbc ELISA KIT
直接胆红素(TBIL)检测试剂盒(BOD微板法) 100T
ARB13905 猪血管生成素2(ANG-2)血清中含量检测 Porcine angiopoietin 2,ang-2 ELISA KIT
Con A琼脂糖凝胶4B Vitamin E acetate
PY04-106 孔雀石绿 1ml/支×10支 每支预热至50℃后,加入100ml灭菌冷却至50℃ 改良罗氏培养基基础中,用于结核分枝杆菌的分离培养、保存及药敏试验用
BTN60904 一站式RNA电泳套装 One-Stop RNA Electrophoresis Pack
DL-异柠檬酸三*盐 Bromophenol blue 1637-73-6
α-酮戊二酸 DMACA Reagent 328-50-7
柠檬酸锌 Hexachloroplatinic(Ⅳ) acid hexahydrate 546-46-3
复合酶稳定剂AES TTP
麻风杆菌染色液(改良Wade-Fite法) 3×50ml
SJ0245 Doxycycline-HCL 盐*(代"酸")强力霉素
BL0939 生物素化羊抗人C3抗体
木瓜蛋白酶抑制剂 Papain inhibitor 1ml
植物基因组提取试剂盒 50次
考马斯亮蓝G250 L-Lysine acetate salt 6104-58-1
SJ0795 亲和硅烷
2353-45-9 Fast Green FCF 固绿
D-a-*基己二酸 Phloxine B 7620-28-2
ARB12974 小鼠多巴胺(DA)酶免分析 Mouse dopamine,da ELISA KIT
我公司正在打折促销核酸扩增(PCR)全系列产品,恭候您的咨询选购高保真DNA聚合酶厂家。
风险提示:丁香通仅作为第三方平台,为商家信息发布提供平台空间。用户咨询产品时请注意保护个人信息及财产安全,合理判断,谨慎选购商品,商家和用户对交易行为负责。对于医疗器械类产品,请先查证核实企业经营资质和医疗器械产品注册证情况。
文献和实验PCR 新手指南——手把手教您如何正确选择合适的 PCR 酶
重要。为了确保准确进行 DNA 拷贝,请确保选择高保真 DNA 聚合酶。高保真 PCR 酶具有 3'-5’ 核酸外切酶校对活性。当结合错误匹配的碱基对时,DNA 聚合酶停顿,导致合成暂延。合成暂延 允许去除错误匹配的核苷酸并使用正确的核苷酸取代。 保持序列准确的 DNA 聚合酶的绝佳选择是 Invitrogen SuperFi 或 Thermo Scientific Phusion 高保真DNA聚合酶。这两种酶具有高保真度,准确度是 Taq DNA 聚合酶的 300 倍或 52 倍,并且具有很高的产率。 Q
位点,而我们想在载体的这个位点引入DNA片段,因此,DNA片段不能通过酶切方式得到,这时Lightening Assembly Cloning Kit可以帮您解决问题。6. RNA干扰载体构建。 二、Super Fast Taq DNA Polymerase有没有一种DNA聚合酶能够超快速扩增? 有没有一种DNA聚合酶能够超快速高保真扩增? 有没有一种DNA聚合酶能够从复杂模板超快速高保真扩增? 所有这些要求,北京康碧泉公司代理的Gene-Foci Super
的组分。Taq DNA 聚合酶是用于 PCR 扩增最广为人知的聚合酶,它的发现变革了 PCR 的应用。Taq DNA 聚合酶有相对较高的热稳定性,在95 ℃有约 40 min 的半衰期。其合成速度约 60 s/kb,可扩增约 5 kb 的片段。所以 Taq 酶适用于一般的常规 PCR。如今,新一代的DNA聚合酶经研发可获得更好的PCR性能,如 SuperFi DNA 聚合酶、Phusion 高保真 DNA 聚合酶等。 在 50 μL 体系中,一般 1-2 units 的DNA聚合酶已经足够
技术资料暂无技术资料 索取技术资料










