相关产品推荐更多 >
万千商家帮你免费找货
0 人在求购买到急需产品
- 详细信息
- 文献和实验
- 技术资料
- 库存:
大量
- 英文名:
Hosenkoside F
- 保质期:
1-3年
- 供应商:
上海沪震实业有限公司
- 保存条件:
常温或2-8℃保存
- 规格:
5mg/10mg/25mg
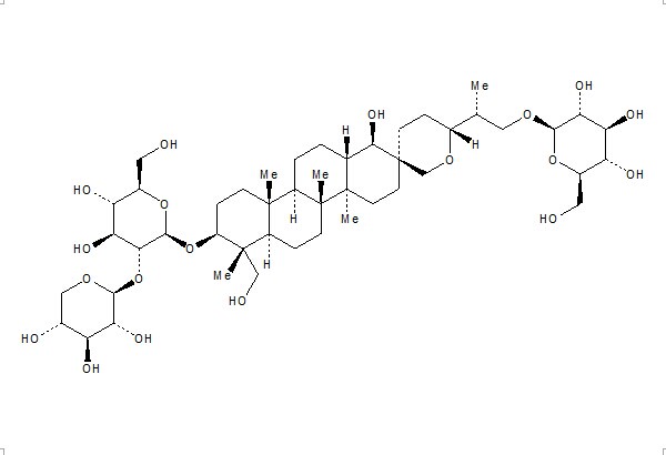
【Product Name】 Hosenkoside F
【CAS Number】 160896-45-7
【Synonyms】 (+)-Hosenkoside F
【中文名称】 凤仙萜四醇苷F
【Chemical Name】 β-D-Glucopyranoside, (3β,4α,18β,19R,20R)-19,28-epoxy-29-(β-D-glucopyranosyloxy)-18,23-dihydroxy-18,19-secolupan-3-yl 2-O-β-D-xylopyranosyl-
【Chemical Formula】 C47H80O19
【Molecular Weight】 949.14
【Chemotaxonomic Group】 三萜类 Triterpenoids

相关标准品-对照品列表:
| HZ21271-20mg | 脱氢雌马酚 | Phenoxodiol | 81267-65-4 | HPLC≥98% | 20mg | 0.00 |
| HZ21272-5mg | 脱氢海罂粟 | DehydHZoglaucine | 475-81-0 | HPLC≥98% | 5mg | 1800.00 |
| HZ21273-20mg | 脱氢紫堇碱 | DehydHZocoHZydaline | 30045-16-0 | HPLC≥97.50% | 20mg | 1280.00 |
| HZ21274-20mg | 脱水长春碱 | AnhydHZovinHZlastine | 38390-45-3 | HPLC≥98% | 20mg | 400.00 |
| HZ21275-20mg | 脱水穿心莲内酯 | DehydHZoandHZogHZapholide | 134418-28-3 | HPLC≥98% | 20mg | 150.00 |
| HZ21276-200mg | 脱水穿心莲内酯琥珀酸半酯 | DehydHZoandHZogHZapholide succinate | 786593-06-4 | HPLC≥99% | 200mg | 1280.00 |
| HZ21276-20mg | 脱水穿心莲内酯琥珀酸半酯 | DehydHZoandHZogHZapholide succinate | 786593-06-4 | HPLC≥99% | 20mg | 260.00 |
| HZ21277-20mg | 脱水淫羊藿素 | AnhydHZoicaHZitin | 118525-40-9 | HPLC≥99% | 20mg | 450.00 |
| HZ21278-20mg | 脱氧熊果苷 | DeoxyaHZHZutin | 53936-56-4 | HPLC≥98% | 20mg | 200.00 |
| HZ21279-5mg | 脱氧野尻霉素 | 1-DeoxynojiHZimycin | 19130-96-2 | HPLC≥98% | 5mg | 550.00 |
风险提示:丁香通仅作为第三方平台,为商家信息发布提供平台空间。用户咨询产品时请注意保护个人信息及财产安全,合理判断,谨慎选购商品,商家和用户对交易行为负责。对于医疗器械类产品,请先查证核实企业经营资质和医疗器械产品注册证情况。
文献和实验草等食虫植物则在捕虫设计上结构巧妙和复杂。被子植物中还有各种寄生植物如槲寄生、菟丝子,靠从别的植物中吸取营养物质来生活。特别是分布在加里曼丹和苏门答腊的奇异的大花草,营养器官退化到只剩下几根生长在其寄主植物的根或茎上的丝状物,但它那巨大的花,直径却达45厘米,重7千克,而且充满着为蝇类所喜爱的尸臭味。还有原产于中美洲和南美洲荒漠的多浆汁的仙人掌科植物,约有2000种,形态别致,有高达20米的巨大的仙人柱,有直径达1米的笨重的仙人球,也有延地而生,形似游蛇的仙人鞭。干燥的环境使得这些植物特别耐旱:植物体95
技术资料暂无技术资料 索取技术资料










