相关产品推荐更多 >
万千商家帮你免费找货
0 人在求购买到急需产品
- 详细信息
- 文献和实验
- 技术资料
- 库存:
大量
- 英文名:
Dehydrolucidenic acid A, 20(21)-
- 保质期:
1-3年
- 供应商:
上海沪震实业有限公司
- 保存条件:
常温或2-8℃保存
- 规格:
5mg/10mg/25mg
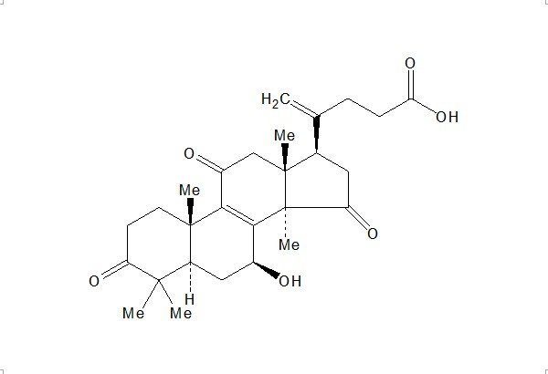
【Product Name】 Dehydrolucidenic acid A, 20(21)-
【CAS Number】 852936-69-7
【Synonyms】 20(21)-Dehydrolucidenic acid A; (+)-20(21)-Dehydrolucidenicacid A
【中文名称】 20(21)-脱氢赤芝酸A
【Chemical Name】 Chola-8,20-dien-24-oic acid, 7-hydroxy-4,4,14-trimethyl-3,11,15-trioxo-, (5α,7β)-
【Chemical Formula】 C27H36O6
【Molecular Weight】 456.58
【Chemotaxonomic Group】 三萜类 Triterpenoids

相关标准品-对照品列表:
| HZ21582-20mg | 银杏内酯C | Ginkgolide C | 15291-76-6 | HPLC≥98% | 20mg | 350.00 |
| HZ21583-20mg | 银杏内酯J | Ginkgolide J | 107438-79-9 | HPLC≥98% | 20mg | 1300.00 |
| HZ21584-10mg | 银杏双黄酮 | ginkgetin | 481-46-9 | HPLC≥98% | 10mg | 1800.00 |
| HZ21585-20mg | 吲哚醇 | 6-HydHZoxyindole | 2380-86-1 | HPLC≥98% | 20mg | 400.00 |
| HZ21586-20mg | 隐丹参酮 | CHZyptotanshinone | 35825-57-1 | HPLC≥98% | 20mg | 150.00 |
| HZ21587-20mg | 隐绿原酸 | CHZyptochloHZogenic acid | 905-99-7 | HPLC≥98% | 20mg | 1000.00 |
| HZ21588-5mg | 樱草素 | Isolan;PHZIMIN | 15121-94-5 | HPLC≥98% | 5mg | 4000.00 |
| HZ21589-20mg | 鹰嘴豆芽素A | HZiochanin A | 491-80-5 | HPLC≥98% | 20mg | 400.00 |
| HZ21590-20mg | 硬飞燕草碱 | Delsoline | 509-18-2 | HPLC≥98% | 20mg | 1600.00 |
| HZ21591-50mg | 硬脂酸甲酯 | Methyl SteaHZate | 112-61-8 | GC≥98% | 50mg | 120.00 |
| HZ21592-0.1ml | 油酸 | cis-9-Octadecenoic acid | 112-80-1 | GC≥98% | 0.1ml | 120.00 |
风险提示:丁香通仅作为第三方平台,为商家信息发布提供平台空间。用户咨询产品时请注意保护个人信息及财产安全,合理判断,谨慎选购商品,商家和用户对交易行为负责。对于医疗器械类产品,请先查证核实企业经营资质和医疗器械产品注册证情况。
文献和实验小鼠白细胞介素21(IL-21) 酶联免疫 分析( ELISA ) 试剂 盒使用说明书 本试剂仅供研究使用 目的:本试剂盒用于测定小鼠血清,血浆及相关液体样本中 白细胞介素21(IL-21)的 含量。 实验原理 : 本试剂盒应用 双抗体 夹心法测定 标本 中 小鼠白细胞介素 - 21( IL- 21) 水平。用纯化的 小鼠白细胞介素 - 21( IL- 21)抗体 包被微孔板,制成固相 抗 体,往包被 单抗
【选题投稿】还在为 Meta 选刊烦恼?20+ 本选优期刊汇总
来源于 PubMed) 笔者,在 Greenpubmed 中对数据进行筛选。发现截止到 5 月 9 日,2020 年已经发表了超过 8 千篇 Meta 分析文章。笔者以 3 分为界,选取了发表超过 20 篇 3 分以上的 Meta 期刊,筛选出来将近 30 本期刊。 其中,已发表超过 50 篇的期刊有 Sci Rep (IF=4.011) 73 篇,Int J Surg(IF=3.158)62 篇,Cochrane Database Syst Rev (IF=7.755) 56 篇,J
秦惠基 20世纪已经过去,21世纪已经到来。20世纪是人类向现代文明大步跨越的世纪,也是全球卫生状况显著改善,人类生活质量日益提高的世纪。昨天是本世纪最后一个世界卫生日,最近世界卫生组织(WHO)发布了20世纪全球公共卫生状况,展望了21世纪公共卫生发展趋势。 一、全球人口状况 1955年,全球人口为28亿,而现在已近
技术资料暂无技术资料 索取技术资料










