相关产品推荐更多 >
万千商家帮你免费找货
0 人在求购买到急需产品
- 详细信息
- 文献和实验
- 技术资料
- 库存:
562
- 英文名:
Ultrapure Water
- 保质期:
长期
- 供应商:
北京百奥莱博科技有限公司
- 保存条件:
常温
特别声明:本产品及我公司所售其他产品均为科研类试剂产品,严禁用于药物、医疗及其他非科研用途。
百奥莱博专业生产销*(代"售")BTN100935型超纯水厂家,我公司供应的分子生物学试剂品类齐全,且具有优势价格,欢迎新老客户垂询订购。
名称:BTN100935型超纯水厂家
品牌:百奥莱博
编号:BTN100935
规格:250mL
产地:国产|进口
本品是指将水中的导电介质几乎全部去除,又将水中不离解的胶体物质、气体和有机物均去除至很低程度的水。可以用于各种分子生物学实验。
储存条件:常温运输和保存、有效期两年。
关于BTN100935型超纯水厂家的更详细说明,请致电我公司咨询,我们将以最饱满的热情为您提供解答,此外,我公司专业供应下列产品:
·pNPP干粉
编号:BTN131116
英文名称:p-nitrophenyl phosphate,disodiu*(代"m") salt
规格:1g
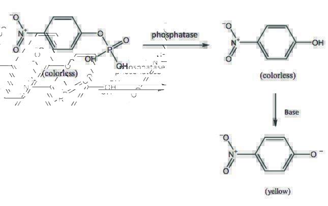
pNPP在ELISA应用中作为检测碱性磷酸酶的底物而被广泛使用。当碱性磷酸酶与PNPP反应后,形成黄色水溶性反应产物。该产物在405nm有光吸收,并可使用传统方法终止反应。其反应原理如下:

储存条件:常温运输,避光保存,有效期一年。
·DNA快速连接试剂盒
编号:BTN70602
英文名称:Rapid DNA Ligation Kit
规格:100次
DNA连接反应通过T4连接酶催化双链DNA的3´-OH和5´-P形成磷酸二脂键而将DNA共价连接在一起。被连接的DNA末端可以是粘末端(例如限制性切割EcoR I产生的末端),也可以是平末端(限制性切割Sma I产生的末端)。Pheiffer等人发现PEG可以促进T4 DNA连接酶催化的连接反应[NAR,11,7853-7871,1983],连接反应只需十分钟即可完成。
产品特点:
1.超快,整个连接反应只需要室温5分钟左右,反应液可以直接用于转化实验。
2.高效,溶液配方经过优化,每ug 插入DNA连接转化得到的重组子可达107左右。
3. 既可用于平末端连接,也可用于粘末端连接,包括PCR产物与T载体的连接。
4. 简单,客户只需要提供载体和插入片段即可。
试剂盒组成:
| 成分 | 规格 |
| 溶液A | 500μl |
| 溶液B | 100μl |
| 说明书 | 1份 |
储存条件:低温运输,-20℃保存,有效期一年。
使用方法:
一:连接反应
1.在无菌的离心管中严格按下表顺序加入列各成分(以10μl 体系为例):
| 成分 | 阴性对照管 | 样品管 |
| 溶液A | 5μl | 5μl |
| 插入片段(自备) | - | 0.2-0.5μg(注) |
| 载体(自备) | 50ng | 50ng |
| 无菌水 | 补水到9μL | 补水到9μL |
注:插入DNA片段的摩尔数最好是载体的3-10倍,如果载体长度为3000bp,则所需插入DNA片段折合成重量(ng)=(插入DNA片段bp 数×50 ng×N)÷3000bp。N就是自己选定的插入DNA片段与载体的摩尔比。
2. 最后在每管中加入1μl溶液B,轻柔吹打混合均匀后用微量离心机将液体全部甩到管底。
3.室温放置至少5分钟,最长可以放置过夜。
4. 70℃保温10分钟。此步可以灭活有关的酶,否则转化效率有所降低。
5. 根据使用的转化方法,每管各取适量用于转化实验,余下的放置在-20℃保存。
二:细菌转化及筛选(仅供参考,本产品不提供相关试剂)
6. 将100μl转化效率在1×108 cfu/μg以上的感受态细胞于冰上解冻。
7. 取5-10μl连接产物加入到感受态细胞中,轻轻旋转几次以混匀。
8.在冰上放置30分钟。
9. 将离心管放42℃热休克90秒,然后快速将其转移到冰浴中放置1~2分钟。
10. 每管中加900μl LB培养基,37℃振荡培养1小时复苏细胞。
11. 将100μl 复苏涂布到含Amp的LB 琼脂平板上(根据载体情况也可能需要加上X-gal和IPTG)。
12.室温4,000rpm离心剩余的900μl 复苏细胞5分钟,弃去800μL上清,用剩余100μl培养基重悬细胞并涂布到含Amp的LB 琼脂平板上(可加X-gal、IPTG)。
13. 将平板置于室温直至液体被吸收。此步非常重要,否则培养板将在37℃排除水分,细菌将随水在培养基上到处游动,不能形成单个菌落。
14. 倒置平皿,于37℃培养,12~16小时后可出现菌落。一般情况下阳性对照组会有上千个菌落(100μl转化液产生的菌落数×10),自联对照只有少数几个菌落,样品组的菌落数取决于PCR 回收片段的质量。
15. 按常规方法筛选重组子。
BTN100935型超纯水厂家关键词:超纯水,Ultrapure Water,BTN100935
·Tris盐*(代"酸")溶液(1M,pH9.0)(不含RNase)
编号:BTN80933
英文名称:RNase-Free Tris-HCl Solution
规格:250mL
·重组蛋白A
编号:BTN131079
英文名称:Staphylococcal protein A
规格:1mg
本品为重组蛋白A,分子量32kD,纯度>90%,带His标签。
储存条件:-20℃保存,有效期1年。
·虾碱性磷酸酶(SAP)
编号:BTN120403
英文名称:Shrimp Alkaline Phosphatase
规格:300U
虾碱性磷酸酶与大肠杆菌来源的碱性磷酸酶同样,催化所有磷酸单酯的水解,不能催化磷酸二酯以及磷酸三酯的水解,也能催化ATP等焦磷酸键水解。但该酶与大肠杆菌来源的BAP以及小牛肠来源的CIAP 不同,通过65℃,15分钟的热处理,可使酶完全不可逆失活。
产品用途:
1.去除DNA片段的5´-末端的磷酸基。防止线状DNA的自身环化(Self-Ligation)。
2.除去PCR反应后残存的dNTP。PCR产物进行测序时,在反应体系中如果有多余的Primer和dNTP,将影响测序反应的正常进行。使用Exonuclease I分解残存的Primer;用SAP处理可降解多余的dNTP,之后不需要对PCR产物进行精制,立即可以进行测序反应。
产品组成:
| 成分 | 规格 |
| 虾碱性磷酸酶(1U/μL) | 300U |
| 10×Buffer | 1ml |
| 说明书 | 1份 |
储存条件:低温运输,-20℃保存,有效期一年。
活性定义:在37℃、pH9.8的条件下,1分钟内水解对硝基*(代"*")磷酸盐生成1μmol的对硝基*(代"*")酚所需要的酶量定义为1个活性单位。
纯度:
1.5U的本酶和1μg的λDNA-Hind III片段在37℃、pH7.5的条件下反应1小时,DNA的电泳谱带不发生变化。
2.5U的本酶和1μg的16S,23S rRNA在37℃、pH7.5的条件下反应1小时,RNA的电泳谱带不发生变化
使用举例:
1.在1.5mL离心管中配制下列反应液,定容至50μL。
| 成分 | 用量 |
| DNA Fragment | 1~10pmol |
| SAP(1~5μL) | 1~5U |
| 10×Buffer | 5μL |
| dH2O | up to 50μL |
2.37℃反应15~30分钟。
3.65℃反应15分钟(加热失活)。
4.加入2.5μL的3M NaCl(终浓度150mM)。
5.乙醇沉淀加入125μL(2.5倍量)的预冷无水乙醇,-20℃放置30~60分钟,离心。
6.加入200μl的70%冷乙醇清洗沉淀后,干燥。
7.TE Buffer(<20μL)溶解沉淀。
BTN100935型超纯水厂家关键词:超纯水,Ultrapure Water,BTN100935
·大提柱式Ti质粒DNA提取试剂盒
编号:BTN130955
英文名称:Mass-Ti plasmid DNA column extraction kit
规格:5次
·Furin蛋白酶
编号:BTN130867
英文名称:Furin Protease
规格:50U
本产品浓度为2000U/mL的Furin蛋白酶溶液,Furin蛋白酶是一种类似枯草杆菌蛋白酶的蛋白质前体转化酶。它是分泌途径中的主要加工酶,定位于高尔基体反面的网状结构部位。其底物包括:凝血因子,血清蛋白和生长因子受体(如:胰岛素样生长因子受体)。最短的切割识别位点是:Arg-X-X-Arg。然而,该酶倾向作用于Arg-X-(Lys/Arg)-Arg位点。在 P6 位置的额外精*酸似乎能增强切割效率。Furin活性受 EGTA、α1-抗胰蛋白酶硅酸盐和聚精*酸化合物抑制。
储存条件:低温运输,-20℃保存,有效期一年。
活性定义:1单位指30℃条件下,1分钟内从荧光肽BOC-RVRR-AMC上释放1pmol AMC所需要的酶量。
注意:底物的三维结构以及切割位点周围的*基酸类型会影响 Furin蛋白酶的切割特异性。
北京百莱博科技有限公司专业生产RNA纯化产品,欢迎来电咨询选购BTN100935型超纯水厂家。
风险提示:丁香通仅作为第三方平台,为商家信息发布提供平台空间。用户咨询产品时请注意保护个人信息及财产安全,合理判断,谨慎选购商品,商家和用户对交易行为负责。对于医疗器械类产品,请先查证核实企业经营资质和医疗器械产品注册证情况。
文献和实验相对就少的多了。(不含反渗透,EDI等纯化单元) 水质监控 水质监控是产水品质的重要保证,目前利用高精度的电导率仪(或电阻率仪)来测定超纯水的离子杂质已经成为了超纯水器的标准配置。这里要注意的是,因为要测定的电导率值非常低(电阻率很大),所以一定要留意电导率仪的精度是不是能达到要求,一般要求电导率仪的电池常数 0.01 cm-1(参加GB6682-92相关要求)。 另外,电导率仪的安装也是非常重要的,下图为一般超纯水厂家外购的电导率仪的安装方式,这种电导率仪的常见问题是,电极常数较高
-RAD), PCR仪 My Cycler (Bio-RAD),Direct-Pure UP 超纯水系统(RephiLe),核酸电泳仪 EPS100 (上海天能)。细菌基因组 DNA 提取试剂盒(Axygen),dNTP (Takara)三、试验方法1. 样品制备和增菌培养 接种前,先将增菌培养基煮沸 10 ~ 15 min,以排除溶解于培养基中的氧,并迅速冷却,切勿摇动。每 15 ml 增菌肉汤中接种 1 ~ 2 g 固体食品或 1 ~2 ml 液体食品,接种时将接种物慢慢接入肉汤液面以下。每份样品接种
的离子杂质已经成为了超纯水器的标准配置。这里要注意的是,因为要测定的电导率值非常低(电阻率很大),所以一定要留意电导率仪的精度是不是能达到要求,一般要求电导率仪的电池常数 0.01 cm-1(参加GB6682-92相关要求)。 另外,电导率仪的安装也是非常重要的,下图为一般超纯水厂家外购的电导率仪的安装方式,这种电导率仪的常见问题是,电极常数较高( 0.3 cm-1),检测精度不够;电极常数易产生变动;经常以 “T“方式安装(这种结构无法反应真实值);没有被保护的温度感测器容易破损
技术资料暂无技术资料 索取技术资料









