相关产品推荐更多 >
万千商家帮你免费找货
0 人在求购买到急需产品
- 详细信息
- 文献和实验
- 技术资料
- 库存:
327
- 英文名:
Hyaluronic acid
- CAS号:
9004-61-9
- 保质期:
2年
- 供应商:
北京百奥莱博科技有限公司
- 保存条件:
-20℃
特别声明:本产品及我公司所售其他产品均为科研类试剂产品,严禁用于药物、医疗及其他非科研用途。
百奥莱博专业生产销*(代"售")透明质酸(Hyaluronic acid)北京厂家现货,我公司是生物试剂、化学试剂专业供应商,立足北京,服务全国的高校、研究所、医院、企业科研部门,欢迎各位老师来电垂询订购。
名称:透明质酸(Hyaluronic acid)北京厂家现货
品牌:百奥莱博
英文名:Hyaluronic acid
编号:M01160
产地:国产|进口
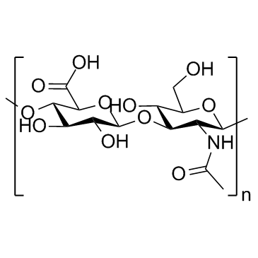
透明质酸是由二糖的重复单元组成的生物聚合物,应用领域广泛。
注:本品仅可用于科研实验,严禁用于临床医疗及其他用途!
CAS号:9004-61-9
纯度:99.90%
分子式:(C₁₄H₂₁NO₁₁)n
分子量:379.32 (monomer)
结构式:

储存条件:-20℃,有效期2年,溶入溶剂后-20℃请尽量在一个月内使用。
欲了解更多透明质酸(Hyaluronic acid)北京厂家现货的品牌、产地、价格及说明书等产品信息,请致电北京百奥莱博科技有限公司,我们将竭诚为您服务,另外,以下产品正在火爆促销:
·Xylitol
编号:M07302
英文名称:Xylitol
规格:1mL(10mM)|1g|5g
Xylitol可被分类为多元醇和糖醇。
注:本品仅可用于科研实验,严禁用于临床医疗及其他用途!
CAS号:87-99-0
别名:Xylite
分子式:C₅H₁₂O₅
分子量:152.15
结构式:

储存条件:-20℃,有效期2年,溶入溶剂后-20℃请尽量在一个月内使用。
·DHMEQ外消旋体(DHMEQ racemate)
编号:M07588
英文名称:DHMEQ racemate
规格:1mL(10mM)|2mg|5mg
DHMEQ racemate是DHMEQ的外消旋体。(-)-DHMEQ为DHMEQ的优性异构体,为NF-kB的有效抑制剂;(+)-DHMEQ为DHMEQ的低活性光学异构体。
注:本品仅可用于科研实验,严禁用于临床医疗及其他用途!
CAS号:287194-38-1
别名:rel-DHMEQ
分子式:C₁₃H₁₁NO₅
分子量:261.23
结构式:

储存条件:-20℃,有效期2年,溶入溶剂后-20℃请尽量在一个月内使用。
透明质酸(Hyaluronic acid)北京厂家现货关键词:Hyaluronic acid,透明质酸,透明质酸(Hyaluronic acid),9004-61-9
·醛糖还原酶抑制剂(Epalrestat)
编号:M05356
英文名称:Epalrestat
规格:1mL(10mM)|5mg|10mg|50mg
Epalrestat是醛糖还原酶抑制剂,可作用于糖尿病神经病变。
注:本品仅可用于科研实验,严禁用于临床医疗及其他用途!
CAS号:82159-09-9
别名:ONO2235
纯度:99.46%
分子式:C₁₅H₁₃NO₃S₂
分子量:319.4
结构式:

储存条件:-20℃,有效期2年,溶入溶剂后-20℃请尽量在一个月内使用。
·Notch抑制剂(LY3039478)
编号:M00591
英文名称:LY3039478
规格:1mL(10mM)|2mg|5mg|10mg|25mg|50mg|100mg
LY3039478是一个新的和强的Notch抑制剂。
注:本品仅可用于科研实验,严禁用于临床医疗及其他用途!
CAS号:1421438-81-4
纯度:98.01%
分子式:C₂₂H₂₃F₃N₄O₄
分子量:464.44
结构式:

储存条件:-20℃,有效期2年,溶入溶剂后-20℃请尽量在一个月内使用。
·胆碱酯酶抑制剂(Rivastigmine)
编号:M05974
英文名称:Rivastigmine
规格:1mL(10mM)|50mg|100mg|200mg|500mg
Rivastigmine酒石酸盐是胆碱酯酶抑制剂,IC50为5.5uM,还能抑制丁酰胆碱酯酶和乙酰胆碱酯酶。
注:本品仅可用于科研实验,严禁用于临床医疗及其他用途!
CAS号:123441-03-2
别名:S-Rivastigmine
纯度:99.39%
分子式:C₁₄H₂₂N₂O₂
分子量:250.34
结构式:

储存条件:-20℃,有效期2年,溶入溶剂后-20℃请尽量在一个月内使用。
透明质酸(Hyaluronic acid)北京厂家现货关键词:Hyaluronic acid,透明质酸,透明质酸(Hyaluronic acid),9004-61-9
二*基联*(代"*")*(代"胺") Guanosine 531-91-9
PY02-256 TTC卵磷脂-吐温80-营养琼脂 250克
L-酪*酸乙酯 TMAB 949-67-7
F030504 FITC标记小鼠抗HIS抗体 Monoclonal Mouse Anti-His*FITC
E0401 抗凝马血(无菌 pet瓶装) 100ml/200ml/500ml
BL0322 弗氏不完全佐剂 Freund "s Adjuvant Incomplete
L-赖*酸盐*(代"酸")盐 Myristic acid 657-27-2
多糖多酚植物RNA提取试剂盒
CYB162039 羊抗牛IgG(抗血清) 0.5ml
389-08-2 Nalidixic acid *啶酮酸
ARB14187 小鼠雄激素受体(AR)含量分析
a-淀粉酶水溶液(1%) 100ml
PY02-439 CLED培养基 250克
DN2001 酵母基因组DNA快速提取试剂盒(离心柱型)
*铂酸铵 Calcium hypophosphite 16919-58-7
PY02-407 DG-18琼脂基础 250克
ARB12817 小鼠乙酰基辅酶A-胆固醇酰基转移酶(ACAT)ELISA代测服务
ARB11829 人瘢痕性天疱疮抗体(CP)检测服务 Human cicatricial pemphigoid,cp ELISA KIT
BTN131190 分子生物学级糖原溶液 Glycogen Solution
北京百莱博科技有限公司专业生产细胞生物学试剂产品,欢迎来电咨询选购透明质酸(Hyaluronic acid)北京厂家现货。
风险提示:丁香通仅作为第三方平台,为商家信息发布提供平台空间。用户咨询产品时请注意保护个人信息及财产安全,合理判断,谨慎选购商品,商家和用户对交易行为负责。对于医疗器械类产品,请先查证核实企业经营资质和医疗器械产品注册证情况。
文献和实验为具有 O-β -D-葡萄糖醛酸基( 1→ 3) -N-乙酰基 -β -D-氨基葡萄糖基( 1→ 4)为单位的双糖重复结构的一种粘多糖。除见之于动物的关节液和眼球玻璃体等的分泌液、脐带、真皮表层等的结缔组织和 Rous肉瘤等某种肿瘤外,它还包括 A型、 C型链球菌属( Strepto-coceus)在内的某些细菌的荚膜成分。细菌透明质酸不与蛋白质结合,但动物组织中的透明质酸或多或少含有一些蛋白质,似乎以蛋白多糖和肽多糖的形态存在。不过与蛋白质部分结合的方式还不清楚。链
具有还原性羰基和羧基的糖的衍生物的总称。天然存在的糖醛酸有 D-葡糖醛酸、 D-半乳糖醛酸、 D-甘露糖醛酸等,以与糖苷配基结合的糖醛酸苷( ur- onide)形式或聚糖醛酸的形式,成为树胶质、果胶、半纤维素、藻酸、细菌多糖等细胞壁或粘液物质的主要成分。 D-葡糖醛酸在动物体内具有与毒物结合(葡糠醛酸结合作用)后排出的作用,也是构成肝素、硫酸软骨素、透明质酸等高活性物质的成分。这样,糖醛酸不是以游离单糖存在,而是以苷或多糖的形态存在于生物体内,它的生物合成是这样进行的:在 UDP
(hyaluronic acid)、硫酸皮肤素(dermatan sulfate)等。这些二糖都含有一个氨基糖,并至少含有一个负电的磺酸基或羧基团。由于氨基聚糖是亲水的,并且带有负电荷,所以它们既能结合阳离子又能结合水分子,由于糖胺聚糖的这种性质,它们在细胞外创造了水合的、胶状的材料,形成了所谓的细胞外基质的基质。
技术资料暂无技术资料 索取技术资料










