相关产品推荐更多 >
万千商家帮你免费找货
0 人在求购买到急需产品
- 详细信息
- 技术资料
- 库存:
292
- 英文名:
Azathramycin
- CAS号:
76801-85-9
- 保质期:
2年
- 供应商:
北京百奥莱博科技有限公司
- 保存条件:
-20℃
特别声明:本产品及我公司所售其他产品均为科研类试剂产品,严禁用于药物、医疗及其他非科研用途。
mRNA翻译抑制剂(Azathramycin)厂家直销的品牌:百奥莱博,是优质的抑制剂激活剂产品,用于科研目的生化试验项目,本产品质量好,且极具价格优势,深为用户称道,了解更多mRNA翻译抑制剂(Azathramycin)等抑制剂激活剂产品请联*(代"系")我司咨询订购。
名称:mRNA翻译抑制剂(Azathramycin)厂家直销
编号:M03863
品牌:百奥莱博
英文名:Azathramycin
规格:1mL(10mM)|10mg|50mg|100mg|250mg|500mg
Azithromycin为抗生素,能与细菌核糖体50S亚基结合,抑制mRNA的翻译。
注:本品仅可用于科研实验,严禁用于临床医疗及其他用途!
CAS号:76801-85-9
别名:Azaerythromycin A;9-Deoxo-9a-aza-9a-homoerythromycin A;Desmethyl Azithromycin
纯度:98.0%
分子式:C₃₇H₇₀N₂O₁₂
分子量:734.96
结构式:

储存条件:-20℃,有效期2年,溶入溶剂后-20℃请尽量在一个月内使用。
关于mRNA翻译抑制剂(Azathramycin)厂家直销的更详细说明,请致电我公司咨询,我们将以最饱满的热情为您提供解答,此外,我公司专业供应下列产品:
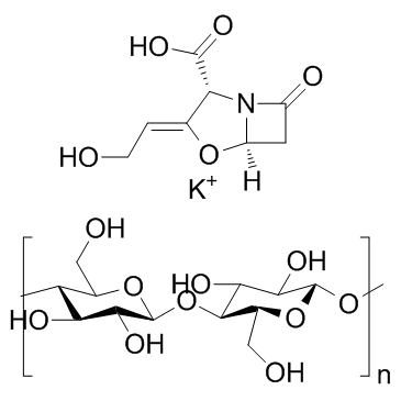
·β-内酰胺酶抑制剂(Potassium clavulanate cellulose)
编号:M03823
英文名称:Potassium clavulanate cellulose
规格:10mg|50mg|100mg|200mg|500mg
Potassium clavulanate cellulose是克拉维酸*和纤维素的混合物,是一种β-内酰胺酶抑制剂。
注:本品仅可用于科研实验,严禁用于临床医疗及其他用途!
别名:Potassium clavulanate:cellulose (1:1)
分子式:C₈H₉NO₅K .(C₆H₁₀O₅)n
分子量:238.26 (Potassium clavulanate)
结构式:

储存条件:-20℃,有效期2年,溶入溶剂后-20℃请尽量在一个月内使用。
·异黄芪皂苷II(Isoastragaloside II)
编号:M07721
英文名称:Isoastragaloside II
规格:1mL(10mM)|5mg
异黄芪皂苷II(Isoastragaloside II)是一种黄芪甲苷,是从黄芪毛状根培养分离。
注:本品仅可用于科研实验,严禁用于临床医疗及其他用途!
CAS号:86764-11-6
别名:Astrasieversianin-VII
分子式:C₄₃H₇₀O₁₅
分子量:827.01
结构式:

储存条件:-20℃,有效期2年,溶入溶剂后-20℃请尽量在一个月内使用。
mRNA翻译抑制剂(Azathramycin)厂家直销关键词:Azaerythromycin A,Desmethyl Azithromycin,Azathramycin,mRNA翻译抑制剂(Azathramycin),9-Deoxo-9a-aza-9a-homoerythromycin A
137-16-6 Sodlum Lauroylsarcosine 十二烷基肌*酸*
ARB13397 羊布病(BrucellosIs)Elisa方法检测
ARB14093 大鼠谷胱甘肽-过氧化物酶(GSH-PX)定量分析
CYB163043 羊抗大鼠IgG(全分子)-FITC
吲哚乙酸酯 Lithium phosphate hemihydrate 608-08-2
F010104 小鼠抗人血清白蛋白抗体 Monoclonal Mouse Anti-HAS
F040301 兔IgG抗原 Rabbit IgG
F030229 HRP标记兔抗人Ig抗体 Rabbit Anti-Human Ig*HRP
SOC培养基(pH7.0) 500ml
BTN130512 一站式磁珠法动物mRNAOUT One-Step MAG Animal mRNA Isolation Kit
ARB10739 人纤维蛋白原FIBRINOGEN ASSAY(FIb)酶标法分析
NF-214 羊抗人C9血清
BTN131157 藻红蛋白标记山羊抗兔IgG Goat Anti-Rabbit IgG ,PE Conjugate
*单元素溶液标准物质(200ug/ml) 60ml
9002-18-0 琼脂粉 Agar,Powder
ARB11025 人尿激酶型纤溶酶原激活物(uPA)Elisa分析 Human urokinase plasminogen activator,upa ELISA KIT
ARB10602 人血小板膜糖蛋白Ⅳ(GP-Ⅳ)ELISA代测服务 Human platelet membrane glycoprotein Ⅳ,gp-Ⅳ ELISA KIT
DP418 RNAsin
ARB12194 大鼠主要组织相容性复合体Ⅲ类(MHCⅢ/AgBⅢ/H-1Ⅲ)含量测试 Rat major Histocomp*(代"a")tibility complexⅢ,mhcⅢ/agbⅢ/h-1Ⅲ ELISA KIT
呋*(代"喃")它酮 Avidin(chiken egg white) 139-91-3
ARB11389 人穿孔素/成孔蛋白(PF/PFP)含量检测 Human perforin/pore-forming protein,pf/pfp ELISA KIT
mRNA翻译抑制剂(Azathramycin)厂家直销关键词:Azaerythromycin A,Desmethyl Azithromycin,Azathramycin,mRNA翻译抑制剂(Azathramycin),9-Deoxo-9a-aza-9a-homoerythromycin A
·ENaC和uTPA抑制剂
编号:M06954
英文名称:Amiloride hydrochloride dihydrate
规格:1mL(10mM)|100mg
Amiloride hydrochloride dihydrate是上皮*通道(ENaC)和尿激酶型纤溶酶原激活物受体(uTPA)的抑制剂。
注:本品仅可用于科研实验,严禁用于临床医疗及其他用途!
CAS号:17440-83-4
别名:MK-870 hydrochloride dihydrate
分子式:C₆H₁₃Cl₂N₇O₃
分子量:302.12
结构式:

储存条件:-20℃,有效期2年,溶入溶剂后-20℃请尽量在一个月内使用。
·人参皂苷F1(Ginsenoside F1)
编号:M07329
英文名称:Ginsenoside F1
规格:1mL(10mM)|5mg|10mg
人参皂苷F1(Ginsenoside F1)是人参皂苷Rg1的代谢衍生物,具有抗氧化、抗衰老等活性,对皮肤具有美白作用。
注:本品仅可用于科研实验,严禁用于临床医疗及其他用途!
CAS号:53963-43-2
别名:20(S)-Ginsenoside F1
纯度:99.05%
分子式:C₃₆H₆₂O₉
分子量:638.87
结构式:

储存条件:-20℃,有效期2年,溶入溶剂后-20℃请尽量在一个月内使用。
北京百莱博科技有限公司是抑制剂激活剂产品的专业生产供应销*(代"售")商,恭候您的咨询选购mRNA翻译抑制剂(Azathramycin)厂家直销。
风险提示:丁香通仅作为第三方平台,为商家信息发布提供平台空间。用户咨询产品时请注意保护个人信息及财产安全,合理判断,谨慎选购商品,商家和用户对交易行为负责。对于医疗器械类产品,请先查证核实企业经营资质和医疗器械产品注册证情况。
技术资料暂无技术资料 索取技术资料










