相关产品推荐更多 >
万千商家帮你免费找货
0 人在求购买到急需产品
- 详细信息
- 文献和实验
- 技术资料
- 库存:
939
- 英文名:
Kanamycin sulfate
- CAS号:
25389-94-0
- 保质期:
2年
- 供应商:
北京百奥莱博科技有限公司
- 保存条件:
-20℃
特别声明:本产品及我公司所售其他产品均为科研类试剂产品,严禁用于药物、医疗及其他非科研用途。
百奥莱博专业生产供应Kanamycin sulfate品牌,我公司销*(代"售")高质量、高纯度的生化试剂,同时价格极具竞争力,满心期待您的咨询订购。
名称:Kanamycin sulfate品牌
英文名:Kanamycin sulfate
编号:M03514
规格:1mL(10mM)|200mg|1g|5g
品牌:百奥莱博
Kanamycin sulfate是一种*基糖苷类抗生素,用于各种感染疾病研究。
注:本品仅可用于科研实验,严禁用于临床医疗及其他用途!
CAS号:25389-94-0
别名:Kanamycin A monosulfate
纯度:98.0%
分子式:C₁₈H₃₈N₄O₁₅S
分子量:582.58
结构式:

储存条件:-20℃,有效期2年,溶入溶剂后-20℃请尽量在一个月内使用。
更多有关Kanamycin sulfate品牌的价格及使用说明等,请联*(代"系")我们的业务经理王欣女士咨询,我公司还销*(代"售")以下产品:
·CYP2B6和YP2D6抑制剂
编号:M05891
英文名称:Memantine hydrochloride
规格:1mL(10mM)|1g|5g
Memantine是金刚胺衍生物,对NMDA受体有较弱到适中的亲和力,能够抑制CYP2B6和YP2D6。
注:本品仅可用于科研实验,严禁用于临床医疗及其他用途!
CAS号:41100-52-1
纯度:98.0%
分子式:C₁₂H₂₂ClN
分子量:215.76
结构式:

储存条件:-20℃,有效期2年,溶入溶剂后-20℃请尽量在一个月内使用。
·Oxfendazole
编号:M03813
英文名称:Oxfendazole
规格:1mL(10mM)|100mg|500mg
Oxfendazole是fenbendazole的亚砜形式,能抗寄生虫。
注:本品仅可用于科研实验,严禁用于临床医疗及其他用途!
CAS号:53716-50-0
纯度:99.10%
分子式:C₁₅H₁₃N₃O₃S
分子量:315.35
结构式:

储存条件:-20℃,有效期2年,溶入溶剂后-20℃请尽量在一个月内使用。
·COT/Tpl2抑制剂(Cot inhibitor-2)
编号:M01176
英文名称:Cot inhibitor-2
规格:1mL(10mM)|2mg|5mg|10mg|25mg|50mg|100mg
Cot抑制剂-2是COT/Tpl2抑制剂。
注:本品仅可用于科研实验,严禁用于临床医疗及其他用途!
CAS号:915363-56-3
纯度:99.20%
分子式:C₂₆H₂₅Cl₂FN₈
分子量:539.43
结构式:

储存条件:-20℃,有效期2年,溶入溶剂后-20℃请尽量在一个月内使用。
Kanamycin sulfate品牌关键词:Kanamycin sulfate,25389-94-0,Kanamycin A monosulfate
·葡糖脑苷脂合成酶抑制剂(Eliglustat)
编号:M05308
英文名称:Eliglustat
规格:1mL(10mM)|1mg|5mg|10mg|50mg|100mg
Eliglustat是高效特异,有的葡糖脑苷脂合成酶抑制剂,IC50值为24nM。
注:本品仅可用于科研实验,严禁用于临床医疗及其他用途!
CAS号:491833-29-5
别名:Genz 99067
纯度:99.95%
分子式:C₂₃H₃₆N₂O₄
分子量:404.54
结构式:

储存条件:-20℃,有效期2年,溶入溶剂后-20℃请尽量在一个月内使用。
·蛋白酪*酸磷酸酶抑制剂
编号:M00592
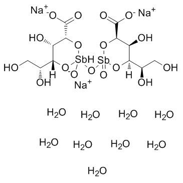
英文名称:Stibogluconate sodiu*(代"m")
规格:1mL(10mM)|500mg|1g
Stibogluconate sodiu*(代"m")是蛋白酪*酸磷酸酶(phosphatase)的有效抑制剂。Stibogluconate sodiu*(代"m")在10,100和100μg/mL时分别抑制99%的SHP-1,SHP-2和PTP1B活性。
注:本品仅可用于科研实验,严禁用于临床医疗及其他用途!
CAS号:16037-91-5
别名:Sodium stibogluconate
纯度:98.0%
分子式:C₁₂H₃₈O₂₆Sb₂Na₃
分子量:910.9
结构式:

储存条件:-20℃,有效期2年,溶入溶剂后-20℃请尽量在一个月内使用。
Kanamycin sulfate品牌关键词:Kanamycin sulfate,25389-94-0,Kanamycin A monosulfate
·α-glucosidase抑制剂(Rebaudioside A)
编号:M07410
英文名称:Rebaudioside A
规格:1mL(10mM)|100mg|500mg
Rebaudioside A是一个甜菊醇糖苷,α-glucosidase抑制剂,IC50是35.01ug/mL。
注:本品仅可用于科研实验,严禁用于临床医疗及其他用途!
CAS号:58543-16-1
纯度:98.0%
分子式:C₄₄H₇₀O₂₃
分子量:967.01
结构式:

储存条件:-20℃,有效期2年,溶入溶剂后-20℃请尽量在一个月内使用。
·Akt1/Akt2/Akt3和p70S6K/PKA抑制剂(AT7867)
编号:M01029
英文名称:AT7867
规格:1mL(10mM)|2mg|5mg|10mg|50mg|100mg
AT7867是一种ATP竞争性的Akt1/Akt2/Akt3和p70S6K/PKA抑制剂,IC50分别为32nM/17nM/47nM和85nM/20nM。
注:本品仅可用于科研实验,严禁用于临床医疗及其他用途!
CAS号:857531-00-1
纯度:99.74%
分子式:C₂₀H₂₀ClN₃
分子量:337.85
结构式:

储存条件:-20℃,有效期2年,溶入溶剂后-20℃请尽量在一个月内使用。
·5-HT和*离子通道抑制剂
编号:M05936
英文名称:Lamotrigine
规格:1mL(10mM)|1g|5g
Lamotrigine(BW430C)可抑制5-HT和*离子通道,可作用于惊厥。
注:本品仅可用于科研实验,严禁用于临床医疗及其他用途!
CAS号:84057-84-1
别名:LTG;BW430C
纯度:99.98%
分子式:C₉H₇Cl₂N₅
分子量:256.09
结构式:

储存条件:-20℃,有效期2年,溶入溶剂后-20℃请尽量在一个月内使用。
北京百莱博科技有限公司专业生产细胞生物学试剂产品,欢迎来电咨询选购Kanamycin sulfate品牌。
风险提示:丁香通仅作为第三方平台,为商家信息发布提供平台空间。用户咨询产品时请注意保护个人信息及财产安全,合理判断,谨慎选购商品,商家和用户对交易行为负责。对于医疗器械类产品,请先查证核实企业经营资质和医疗器械产品注册证情况。
文献和实验系由卡那霉素链霉菌( Streptomyces kanamy-ceticus)。产生的类似于链霉素的抗菌素,是梅泽浜夫等( 1957)分离得到的。对结核菌及其它细菌具有抗菌作用。结合于细菌的 30S的核糖体,可引起 mRNA的错译,在蛋白质生物合成的初始阶段起到抑制作用。
【丁香园/丁香通 第一期品牌抗体库发布】想找品牌抗体?汇聚Abnova、Abcam、CST、santacruze一线品牌抗体库数据,一站让你查到底!
多少个香港铜锣湾,才够满足我的潮流控;多少个抗体网站,才够帮我找到品牌抗体? 上丁香通(www.biomart.cn),一站帮你搞定! 继丁香通ATCC细胞库发布之后两个月,丁香通第一期品牌抗体库正式发布。 本次抗体库收集了Abnova、Abcam、CST、santacruze四个一线品牌的抗体库数据,并且可以通过“适用物种”、“应用范围”、“抗体来源”、“是否单克隆”等维度进行深入搜索,以下为使用示意流程。 1、输入关键词,比如搜索“CD6”抗体 http
Metabolic Labeling with Sulfate
of proteins make it possible to determine where a protein normally resides or to follow its transport through the cell. One such modification is addition of sulfate either to tyrosine residues or to carbohydrate side chains. Labeling studies with [35 S
技术资料暂无技术资料 索取技术资料










