相关产品推荐更多 >
万千商家帮你免费找货
0 人在求购买到急需产品
- 详细信息
- 文献和实验
- 技术资料
- 库存:
253
- 英文名:
Bruceine A
- CAS号:
25514-31-2
- 保质期:
2年
- 供应商:
北京百奥莱博科技有限公司
- 保存条件:
-20℃
特别声明:本产品及我公司所售其他产品均为科研类试剂产品,严禁用于药物、医疗及其他非科研用途。
百奥莱博专业生产销*(代"售")Bruceine A打折促销,我公司是生物试剂、化学试剂专业供应商,立足北京,服务全国的高校、研究所、医院、企业科研部门,欢迎各位老师来电垂询订购。
名称:Bruceine A打折促销
规格:1mL(10mM)|5mg|10mg
编号:M04019
产地:国产|进口
品牌:百奥莱博
Bruceine A(NSC310616;Dihydrobrusatol)是天然的苦木苦味素化合物,由鸦胆子干果实中提取,可作用于犬焦虫症。
注:本品仅可用于科研实验,严禁用于临床医疗及其他用途!
CAS号:25514-31-2
别名:Dihydrobrusatol;NSC310616
纯度:96.61%
分子式:C₂₆H₃₄O₁₁
分子量:522.54
结构式:

储存条件:-20℃,有效期2年,溶入溶剂后-20℃请尽量在一个月内使用。
Bruceine A打折促销正在火爆热销,除此之外,为您推荐下别热销产品:
·HCVRNA复制抑制剂(Sofosbuvir impurity H)
编号:M04246
英文名称:Sofosbuvir impurity H
规格:1mL(10mM)|1mg|5mg
Sofosbuvir impurity H是sofosbuvir的非对映异构体,是sofosbuvir的杂质。Sofosbuvir(PSI-7977)是HCVRNA复制的抑制剂,表现出有效的抗丙型肝炎病毒活性。
注:本品仅可用于科研实验,严禁用于临床医疗及其他用途!
分子式:C₂₉H₃₃FN₃O₁₀P
分子量:633.56
结构式:

储存条件:-20℃,有效期2年,溶入溶剂后-20℃请尽量在一个月内使用。
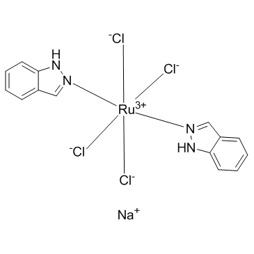
·NKP-1339
编号:M01328
英文名称:NKP-1339
规格:1mL(10mM)|5mg|10mg|50mg|100mg
NKP-1339(IT-139)是一种钌-抗癌化合物复合体,靶点为转铁蛋白(transferrin)。
注:本品仅可用于科研实验,严禁用于临床医疗及其他用途!
CAS号:197723-00-5
别名:IT-139;KP-1339
纯度:98.32%
分子式:C₁₄H₁₂Cl₄N₄NaRu
分子量:502.14
结构式:

储存条件:-20℃,有效期2年,溶入溶剂后-20℃请尽量在一个月内使用。
Bruceine A打折促销关键词:Dihydrobrusatol,NSC310616,Bruceine A
F020221 兔抗人IgG FC抗体 Rabbit Anti-Human IgG(FC)
ARB10003 人1,3-二磷酸甘油酸(1,3-DPG)Elisa分析 Human 1,3-disphosphoglyceRate,1,3-dpg ELISA KIT
BTN131044 辛甲基β葡糖苷 Octyl-β-Glucoside
ARB12139 大鼠生长激素(GH)检测服务 Rat growth hormone,gh ELISA KIT
ARB12384 大鼠肿瘤坏死因子α(TNF-α)酶标法分析 Rat tumor necrosis factor α,tnf-α ELISA KIT
ARB10350 人分泌型卷曲相关蛋白5(SFRP5)含量测试
透析袋27mm,截留分子量25kd 1卷,5M
ARB13002 小鼠抗卵白蛋白特异性IgE(OVE-IgE)ELISA检测服务 Mouse ove-isge ELISA KIT
ARB11039 人环氧合酶-1(COX-1)Elisa定量检测 Human cyclooxygenase-1,cox-1 ELISA KIT
BL1159 无内毒素质粒大量提取试剂盒
ARB12939 小鼠血小板因子3(PF-3)酶标法分析 Mouse platelet factor 3, pf3 ELISA KIT
红霉素 5′-GMP,2Na 114-07-8
Bruceine A打折促销关键词:Dihydrobrusatol,NSC310616,Bruceine A
ARB10800 人抗可提取核抗原抗体(ENA-Ab)酶标法分析 Human anti-extractable nuclear antigen antibody,ena-ab ELISA KIT
二*胍 2-Deoxy-2,2-difluoro-D-erythro-pentafuranous-1-ulose-3,5-dibenzoate 102-06-7
L-甘-甘-缬三肽 Chlorophyll 20274-89-9
ARB10620 人血栓素A2(TX-A2)ELISA检测服务 Human thromboxane a2,tx-a2 ELISA KIT
ARB13708 兔组织因子途径抑制物(TFPI)Elisa分析 Rabbit tissue factor pathway inhibitor,tfpi ELISA KIT
ARB11443 人核因子Kb(NFKb)尿液中含量检测 Human nuclear factor kappa b,nfkbELISA KIT
沙黄复染液 100ml
ARB14216 人核因子κB受体活化因子配基(RANKL)ELISA代测服务
ARB10471 人白介素10(IL-10)酶联免疫定量检测 Human interleukin 10,IL-10 ELISA KIT
HC0111 透析袋MD44(8000-14000)
BTN3670 动物DNAOUT Animal DNAOUT
十五烷酸 2,4-Dihydroxy-6-methylbenzoic acid 1002-84-2
BLOTTO溶液 100ml
BTN130835 低熔点琼脂糖 Low Melting Agarose
ARB11167 人单纯疱疹病毒I型抗体(HSVIAb)酶免分析 Human herpes simplexvirusiantibody,hsviab ELISA KIT
我公司强烈推荐细胞生物学试剂系列产品,热情期待您的咨询选购Bruceine A打折促销。
风险提示:丁香通仅作为第三方平台,为商家信息发布提供平台空间。用户咨询产品时请注意保护个人信息及财产安全,合理判断,谨慎选购商品,商家和用户对交易行为负责。对于医疗器械类产品,请先查证核实企业经营资质和医疗器械产品注册证情况。
文献和实验【信息】【新年促销】德国IBL儿茶酚胺类ELISA试剂盒优惠大促销 5.5~7.5折优惠
德国IBL国际有限公司是一家有着近30年经验的专业医疗诊断试剂研发制造商,其产品均已经通过ISO9001、ISO13485和欧洲CE认证,并且通过了美国FDA的认证。公司产品系列包括生物胺系列、传染病系列、新生儿筛查系列及不孕系列等ELISA产品及放免产品。深圳市科润达生物工程有限公司,为德国IBL公司中国(含港澳地区)独家代理商!现我公司推出德国IBL儿茶酚胺/生物胺类检测试剂优惠大促销活动,即日起,通过深圳科润达生物购买德国IBL儿茶酚胺/生物胺类产品,即可获得5~7.5折优惠! 活动时间
作为其中国区总代理,为回馈广大新老客户的支持与厚爱,我公司特对德国BISCHOFF液相色谱柱进行全面促销,凡在活动期间购买BISCHOFF色谱柱的顾客即可获赠原装瑞士军刀一把。 活动期限:2010.5.5-2010.7.30 BISCHOFF液相色谱柱采用超纯球形多孔硅胶作为基质,以高效的键合与封端技术研制而成。产品规格非常齐全,种类丰富,既能满足您常规分析的要求,也能满足水系流动相、耐酸耐碱等特殊需求。针对复杂组分的分离,BISCHOFF还推出
北京天来生物医学科技有限公司 极限低价,全面促销!!! 价格一步到位, 何必再谈折扣! 无与伦比的低价, 绝不亚于同类产品的质量! 效果不理想,无条件退货! 一. DNA分子量标准每支(50次)---------仅售 58元!!! 二. PCR反应混合液(PCR MasterMix)----500ul 68元 三. 质粒小提每次1.58元 胶回收每次1.78元 四. 中范围蛋白质分子量标准(14.3-97.2KD)(50次)------每支78元 预染的宽范围蛋白
技术资料暂无技术资料 索取技术资料






![(E)-[6]-Dehydroparadol](https://img1.dxycdn.com/2018/1219/040/3318186257129456404-14.jpg!wh200)



