相关产品推荐更多 >
万千商家帮你免费找货
0 人在求购买到急需产品
- 详细信息
- 文献和实验
- 技术资料
- 库存:
593
- 英文名:
Plasmid DNA extraction kit(96-well plates)(Vacuum method)
- 保质期:
长期
- 供应商:
北京百奥莱博科技有限公司
- 保存条件:
2~8℃
特别声明:本产品及我公司所售其他产品均为科研类试剂产品,严禁用于药物、医疗及其他非科研用途。
百奥莱博专业生产销*(代"售")96孔板质粒DNA提取试剂盒(真空法)价格厂家,我公司供应的分子生物学试剂品类齐全,且具有优势价格,欢迎新老客户垂询订购。
名称:96孔板质粒DNA提取试剂盒(真空法)价格厂家
编号:BTN130994
品牌:百奥莱博
英文名:Plasmid DNA extraction kit(96-well plates)(Vacuum method)
规格:1次
更多有关96孔板质粒DNA提取试剂盒(真空法)价格厂家的价格及使用说明等,请联*(代"系")我们的业务经理王欣女士咨询,我公司还销*(代"售")以下产品:
DN1301 中量/大量细菌基因组DNA提取试剂盒
ARB13889 猪孕激素/孕酮(PROG)含量分析 Porcine progesterone,prog ELISA KIT
ARB14165 牛口蹄疫A型抗体(FMD-A-Ab)elisa检测
ARB13559 兔子双*睾酮(DHT)代做ELISA实验 Rabbit dihydro testosterone,dht ELISA KIT
BTN120674 酪蛋白 Casein
PY02-262 胆盐乳糖发酵培养基 250克
BTN121114 非同位素探针杂交试剂盒 Nonradioactive Probe Hybridization Kit
N-三(羟甲基)甲基-3-*基丙磺酸 Dimethylglyoxime disodiu*(代"m") salt octahydrate 29915-38-6
PY02-299 BL琼脂培养基 250克
Mallory PTAH染色液(自然氧化法) 100ml
ARB10841 人抗肾小管基底膜抗体(TBM)酶标法分析 Human tubular basement membrane antibogy,tbm ELISA KIT
62625-32-5 Bromocresol Green sodiu*(代"m") salt *甲*(代"酚")绿
C1301 豚鼠血清(无菌过滤)
维生素C检测试剂盒(铜氧化比色法) 50T
PC4301 THERMOscript H Minus M-MuLV RTase(耐热反转录酶)
ARB13935 猪组胺(His)Elisa方法检测 Porcine Histamine,His ELISA KIT
ARB11968 大鼠CD8分子(CD8)酶标法分析 Rat cluster of differentiation 8,cd8 ELISA KIT
分子筛5A型 N-P-K 69912-79-4
H0601 马血浆(去红细胞、无菌过滤) 100ml/200ml/500ml/500ml*20瓶
总RNA提取试剂 100ml
96孔板质粒DNA提取试剂盒(真空法)价格厂家关键词:96孔板质粒DNA提取试剂盒(真空法),Plasmid DNA extraction kit(96-well plates)(Vacuum ,BTN130994
·Afu尿嘧啶-DNA糖基化酶
编号:BTN130648
英文名称:Afu Uracil-DNA Glycosylase
规格:200U
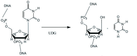
Afu尿嘧啶-DNA糖基化酶(Afu UDG)是E.coli尿嘧啶-DNA糖基化酶(UDG)热稳定的同源蛋白,来源于闪烁古生球菌。该酶从含尿嘧啶的DNA上催化释放尿嘧啶,能有效地水解双链和单链DNA上的尿嘧啶。其反应示意图如下:

产品特点:
1.热稳定;
2.从双链或单链DNA上切下尿嘧啶。
储存条件:低温运输,-20℃保存,有效期一年。
活性定义:1单位指每分钟从含尿嘧啶双链DNA上催化释放60pmol尿嘧啶所需要的酶量。
96孔板质粒DNA提取试剂盒(真空法)价格厂家关键词:96孔板质粒DNA提取试剂盒(真空法),Plasmid DNA extraction kit(96-well plates)(Vacuum ,BTN130994
·dATP溶液(2.5mM)
编号:BTN130912
英文名称:dATP Solution(2.5mM)
规格:2mL
dATP分子式为C10H13N5O12P3Na3,分子量是557.2,消光系数为15.2×103 M-1×cm-1(pH7.0)。λmax为259nm。
储存条件:低温运输和-20℃保存、有效期一年。
·DNA嵌套缺失试剂盒
编号:BTN100213
英文名称:DNA Nested Deletion Kit
规格:10次
本产品是在Henikoff方法的基础上改良而得。最常见的DNA嵌套缺失方法是利用ExoⅢ等外切酶从线状DNA的一端连续切除核酸,最后环化得到可以转化的质粒。该方法最早由Henikoff在Putney的方法的基础上发明,其流程图如下:

产品特点:
1.不需要使用超螺旋的质粒和任何限制性内切酶,非常皮实。
2.一站式,用户只需要提供质粒,不需要单独准备其他试剂。
3.一管式,不需要任何纯化和回收的处理。
4.提供阳性对照质粒,便于在遇到困难时分析原因。
5.得到的片段可以用于侧序和蛋白结合位点的分析等试验。
试剂盒组成:
| 成份 | 规格 |
| DNA聚合Buffer | 1mL |
| DNA酶切Buffer | 1mL |
| 酶切终止Buffer | 1mL |
| DNA连接Buffer | 1mL |
| T4 DNA聚合酶 | 10μL |
| T4 DNA Ligase | 10μL |
| Exo Ⅲ | 10μL |
| S1核酸酶 | 10μL |
| 对照模板质粒 | 10μg |
| 超纯水 | 1mL |
| 使用手册 | 1份 |
储存条件:低温运输,-20℃保存,有效期一年。
使用效果:
将5μg变性的质粒DNA与特异的引物混合,用T4 DNA聚合酶进行全长合成,然后用ExoⅢ酶切,在不同时间点取样,得到单向酶切产物,然后用绿豆核酸酶去掉单链DNA,最后用DNA连接酶将DNA自身环化,最后转化细菌。
图注:用本产品处理含有2.5 KB插入片段的质粒,两边为1Kb DNA marker。中间6条带从左到右分别为ExoⅢ处理0、1、2、3、4和5分钟的DNA(S1核酸酶处理后才上样电泳)
北京百莱博科技有限公司是DNA纯化产品的专业生产供应销*(代"售")商,恭候您的咨询选购96孔板质粒DNA提取试剂盒(真空法)价格厂家。
风险提示:丁香通仅作为第三方平台,为商家信息发布提供平台空间。用户咨询产品时请注意保护个人信息及财产安全,合理判断,谨慎选购商品,商家和用户对交易行为负责。对于医疗器械类产品,请先查证核实企业经营资质和医疗器械产品注册证情况。
文献和实验筛选之前确定G418浓度: 1. 由于每种细胞对G418的敏感性不同,而且不同的厂家生产的G418有效成分的比重不同,一般1 g 的粉剂中有效的G418含量大约为0.722 g。 2. G418是新霉素的类似物,两者都是通过抑制核糖体的功能和蛋白质的合成而杀死细胞的。但是新霉素对真核细胞无作用而G418对细菌和真核细胞都起作用。neo就是编码3‘磷酸转移酶的基因,它表达的蛋白能够分解新霉素和G418。在进行转染时细胞膜受到影响,抗生素可能对细胞产生较大影响,加上G418有杀菌
我做了稳定转染,从G418浓度确定到最后的单克隆化鉴定。有自己的体会也有其他战友遇到的情况, 和大家分享. 没有总结好的地方,大家补充。 筛选之前确定G418浓度: 1,由于每种细胞对G418的敏感性不同,而且不同的厂家生产的G418有效成分的比重不同,一般1g的粉剂中有效的G418含量大约为0.722g。 2,G418是新霉素的类似物,两者都是通过抑制核糖体的功能和蛋白质的合成而杀死细胞的。但是新霉素对真核细胞无作用而G418对细菌和真核细胞都起作用。neo就是编码
一、筛选之前确定G418浓度:1、由于每种细胞对G418的敏感性不同,而且不同的厂家生产的G418有效成分的比重不同,一般1g的粉剂中有效的G418含量大约为0.722g。2、G418是新霉素的类似物,两者都是通过抑制核糖体的功能和蛋白质的合成而杀死细胞的。但是新霉素对真核细胞无作用而G418对细菌和真核细胞都起作用。neo就是编码3′磷酸转移酶的基因,它表达的蛋白能够分解新霉素和G418。在进行转染时细胞膜受到影响,抗生素可能对细胞产生较大影响,加上G418有杀菌作用,所以有人主张转转染时
技术资料暂无技术资料 索取技术资料










