相关产品推荐更多 >
万千商家帮你免费找货
0 人在求购买到急需产品
- 详细信息
- 文献和实验
- 技术资料
- 保存条件:
-20℃
- 保质期:
12个月
- 英文名:
HER1 Inhibitor
- 库存:
218
- 供应商:
北京百奥莱博科技有限公司
- CAS号:
873837-23-1
特别声明:本产品及我公司所售其他产品均为科研类试剂产品,严禁用于药物、医疗及其他非科研用途。
北京百奥莱博专业生产销*(代"售")HER1抑制剂(AC480)(BMS-599626)现货促销,我公司供应的细胞生物学试剂品类齐全,且具有优势价格,欢迎新老客户垂询订购。
名称:HER1抑制剂(AC480)(BMS-599626)现货促销
产地:国产|进口
品牌:百奥莱博
规格:10mM×0.2ml|5mg|25mg
英文名:HER1 Inhibitor
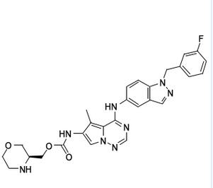
本品是一种选择性的,高效的HER1和HER2抑制剂,IC50分别为20nM和30nM。比对HER4效果强8倍左右,而比对VEGFR2、c-Kit、Lck、MET等的作用强100倍以上。
CAS:873837-23-1
分子式:C27H27FN8O3
分子量:567.01
纯度:98.9%
结构式:

BMS-599626选择性抑制重组HER1和HER2激酶的酶活性,IC50分别为20nM和30nM。此外,BMS-599626也抑制相关受体HER4,但是抑制效果低点(IC50为190nM)。BMS-599626定义为HER1的ATP竞争性抑制剂,HER2的ATP非竞争性抑制剂,Ki分别为2nM和5nM。BMS-599626抑制表达高水平HER1和/或HER2的肿瘤细胞增殖,包括Sal2、BT474、N87、KPL-4、HCC202、HCC1954、HCC1419、AU565、ZR-75-30、MDA-MB-175、GEO和PC9细胞,IC50分别为0.24μM、0.31μM、0.45μM、0.38μM、0.94μM、0.34μM、0.75μM、0.63μM、0.51μM、0.84μM、0.90μM和0.34μM。BMS-599626不会显著抑制不表达HER1或HER2的卵巢肿瘤细胞系A2780和MRC5成纤维细胞增殖。最新研究显示BMS-599626通过促进周期再分配和抑制DNA修复,而显著增强表达EGFR和Her2的HN-5细胞的放射敏感性。
AZD8055按2.5/10mg/kg剂量作用于U87MG和A549移植瘤抑制pS6和pAKT,导致肿瘤生长受抑制。AZD8055按10/20mg/kg剂量处理多种移植瘤包括U87MG、BT474c、A549、Calu-3、LoVo、SW620、PC3和MES-SA时,显示出明显的抗癌活性。AZD8055诱导肿瘤体积下降约40%,伴随着AKT、S6K和SGK蛋白激酶磷酸化的切除。用AZD8055(5mg/kg,每天2次)和SAHA(100mg/kg/每天)处理PTEN+/-LKB1+/hypo移植瘤,导致肿瘤生长全部受抑制,且对鼠mTORC1和mTORC2信号抑制没有副作用。
储存条件:-20℃,有效期12个月。
关于HER1抑制剂(AC480)(BMS-599626)现货促销的更详细说明,请致电我公司咨询,我们将以最饱满的热情为您提供解答,此外,我公司专业供应下列产品:
·TAE Buffer(50X)(TAE 缓冲液)
编号:YT421
英文名称:Tris Acetate-EDTA buffer
规格:500ml
TAE即Tris乙酸盐EDTA缓冲液,是常用的DNA电泳缓冲液,常用于琼脂糖凝胶电泳,较少用于PAGE胶电泳。对于分辨率要求不高时,使用TAE和TBE均可;对于分辨率要求比较高时,较低浓度的胶有利于提高大分子量核酸的分辨率,此时宜使用TAE;而较高浓度的胶有利于提高小分子量核酸的分辨率,此时宜使用TBE。TAE(50X)是50倍浓缩的,使用时须根据具体的实验要求用蒸馏水或去离子水稀释50倍后使用。
1×TAE:40mM Tris-acetate, 1mM EDTA, pH8.0。
储存条件:室温。
·R-羰基还原酶
编号:YT534
英文名称:R-Carbonyl Reductase (Crude Enzyme)
规格:100ml|1L
本酶为大肠杆菌表达的R-羰基还原酶,并经简单纯化获得的可以确保达到一定酶活力的粗酶液常用于NADH的再生。
酶促反应:(S)-R-CHOH-R" + NAD+ = R-CO-R" + NADH + H+
储存条件:-20℃,有效期1个月。
注意事项:
1. 由于本产品需新鲜制备,在您确认订购后约8个工作日才能发货。
2. 粗酶液的每次冻融均可能会引起部分失活,所以收到酶液后请根据需要进行分装,并置于-20℃或更低温度保存。
3. 随着保存时间的延长,酶活力会有一定程度的下降,收到产品后应尽快使用。
4. 本产品在生产和保存的过程中可能会有混浊或沉淀产生,融化后混匀即可,不影响正常使用。
HER1抑制剂(AC480)(BMS-599626)现货促销关键词:BMS-599626,873837-23-1,AC480,HER1抑制剂(AC480)(BMS-599626),HER1 Inhibitor
·Western封闭液(WB封闭液)
编号:YT067
英文名称:Blocking Buffer For Western Blot
规格:100ml
本品可以用于Western时转移了蛋白样品的PVDF膜或NC膜的封闭。封闭后,可以减小后续的一抗或二抗和膜的非特异性结合,降低背景,增强信噪比。按照每张膜封闭需要5-10毫升封闭液计算,一个包装的Western封闭液可以封闭10-20张膜。
注意事项:通常在室温封闭60分钟即可。如果对于一些背景非常高的抗体,可以4℃封闭过夜。
储存条件:4℃,有效期一年。
·DAB辣根过氧化物酶显色试剂盒
编号:YT075
英文名称:DAB Horseradish Peroxidase Color Development Kit
规格:共20ml|共100ml
本试剂盒是一种借助辣根过氧化物酶(HRP),用于免疫组化显色、原位杂交显色或Western、Southern、Northern、EMSA等膜显色的试剂盒。
DAB,即3,3N-Diaminobenzidine Tertrahydrochloride,是辣根过氧化物酶的常用底物。在辣根过氧化物酶的催化下,DAB会产生棕色沉淀。该棕色沉淀不溶于水和乙醇。因此在DAB显色后,还可以使用溶于乙醇的染料进行后续染色。
本试剂盒可以用于细胞或组织在免疫组化或原位杂交时结合的辣根过氧化物酶显色,也可以用于Western等结合有辣根过氧化物酶的膜的显色检测。同时也可以用于细胞或组织内源性的辣根过氧化物酶显色。
用于免疫组化或原位杂交时,如果每个片子使用0.2毫升显色液,那么本试剂盒共可以检测100个片子。
储存条件:-20℃,有效期一年。
HER1抑制剂(AC480)(BMS-599626)现货促销关键词:BMS-599626,873837-23-1,AC480,HER1抑制剂(AC480)(BMS-599626),HER1 Inhibitor
·Alexa Fluor 647抗兔免疫荧光染色试剂盒
编号:YT106
英文名称:Immunol Fluorence Staining Kit with Alexa Fluor 647-Labeled Goat Anti-Rabbit IgG
规格:>300次
本试剂盒含有Alexa Fluor 647标记的山羊抗兔IgG(H+L)抗体,可以用于检测兔来源的相应一抗,在激光共聚焦显微镜下可以观察到非常明亮的远红外荧光。Alexa Fluor 647是一种较常用的非常明亮的远红外荧光探针。通常该荧光探针被激发后肉眼不能观察到激发出来的长波长荧光,但可以被很多成像系统例如激光共聚焦显微镜等所检测到。Alexa Fluor 647的荧光光谱与Cy5比较接近。Alexa Fluor 647的吸收峰651nm、发射峰667nm。本试剂盒提供了含有荧光标记抗体稳定剂的免疫荧光染色二抗稀释液,可以确保荧光标记抗体稀释后在4℃可以保存长达6个月,并且在6个月内至少可以重复使用10次。本试剂盒含有抗荧光淬灭封片液,可以使荧光更加持久。本试剂盒对于六孔板内的细胞样品或常规切片,至少可以检测300个样品。
试剂盒组份:
抗兔Alexa Fluor 647———————30μl
免疫荧光染色二抗稀释液—————50ml
抗荧光淬灭封片液————————15ml
注意事项:
1. 需荧光显微镜或激光共聚焦显微镜。
2. 在使用抗荧光淬灭封片液的情况下可以减缓淬灭,但仍宜尽量避光,特别是需要尽量缩短在荧光显微镜下的观察时间。
3. 荧光物质均易发生淬灭,染色后宜尽快进行荧光显微镜下的观察。如果不能及时观察可以4℃避光保存,但存放时间通常不宜超过一周,随着存放时间的延长可能会导致观察效果越来越差。
4. 免疫荧光染色效果的好坏和一抗的关系非常密切。建议选购有较多文献报道的并注明可以用于免疫荧光染色的一抗用于本实验。
5. 如果观察时发现荧光过弱,可以适当提高一抗的浓度;如果荧光还是比较弱,可以适当提高荧光标记抗体的浓度。
储存条件:-20℃,有效期一年。
·DNA上样缓冲液(6X)
编号:YT418
英文名称:6×DNA loading buffer
规格:2ml
本品是一种经过适当改良的常规的六倍浓缩的DNA上样缓冲液。本上样缓冲液以*酚蓝为指示剂,稀释至1X后比重仍然较大,上样时极易下沉,且颜色清晰可见。
储存条件:室温,有效期一年。
我公司正在火爆促销抑制剂激活剂系列产品,欢迎您的垂询选购HER1抑制剂(AC480)(BMS-599626)现货促销。
风险提示:丁香通仅作为第三方平台,为商家信息发布提供平台空间。用户咨询产品时请注意保护个人信息及财产安全,合理判断,谨慎选购商品,商家和用户对交易行为负责。对于医疗器械类产品,请先查证核实企业经营资质和医疗器械产品注册证情况。
文献和实验C2008 免疫组化染色孵育盒( 大 ) 个 180 可容纳20 张切片 C2009 封口膜 4"×125/卷 190 美国PARAFILM C2010 免疫组化笔 支 480
gcc19800119 因为一直没有筛选到突变IkBa质粒的稳定转染株,决定用NFkB抑制剂抑制通路后继续做实验。 因为要做体内和体外实验,目前用PDTC,但是有专家提出,PDTC不是特异性的NFkB抑制剂,研究结果可能有偏差,不能很好的说明问题,现在有点犹豫了。 看了专家建议的MECRK产品,关于NFKB的抑制剂也有很多种,有很多也是化学试剂,总觉得也不是特异性的抑制。但是有两种,一种SN50和IKK的多肽片段作为NFKB的抑制剂,不知道有没有
北京天来生物医学科技有限公司 极限低价,全面促销!!! 价格一步到位, 何必再谈折扣! 无与伦比的低价, 绝不亚于同类产品的质量! 效果不理想,无条件退货! 一. DNA分子量标准每支(50次)---------仅售 58元!!! 二. PCR反应混合液(PCR MasterMix)----500ul 68元 三. 质粒小提每次1.58元 胶回收每次1.78元 四. 中范围蛋白质分子量标准(14.3-97.2KD)(50次)------每支78元 预染的宽范围蛋白
技术资料暂无技术资料 索取技术资料










