相关产品推荐更多 >
万千商家帮你免费找货
0 人在求购买到急需产品
- 详细信息
- 文献和实验
- 技术资料
- 保存条件:
低温
- 英文名:
tert-Butyl ethyl malonate
- 库存:
35
- 供应商:
上海机纯实业有限公司
- CAS号:
32864-38-3
- 规格:
25G
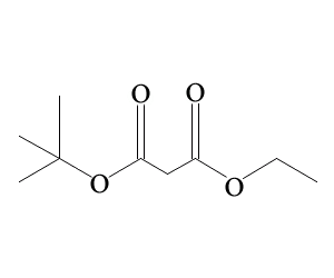
英文名:tert-Butyl ethyl malonate
别名: 丙二酸叔丁基乙酯
CAS号: 32864-38-3
分子式: (CH3)3CO2CCH2CO2C2H5
分子量: 188.22
MDL: MFCD00009193
沸点: 83-85℃/8mmHg
比重: 0.994
储存条件: RT
外观: 透明无色液体
丙二酸叔丁基乙酯品牌从细节开始,打造一个试剂高端品牌绝对不可能单纯靠广告轰炸就能达成,而是靠品质、靠服务、靠经年累月的沉淀,我们公司通过新产品的研发与代理调货投放,对产品品质要求更高、更细致。
风险提示:丁香通仅作为第三方平台,为商家信息发布提供平台空间。用户咨询产品时请注意保护个人信息及财产安全,合理判断,谨慎选购商品,商家和用户对交易行为负责。对于医疗器械类产品,请先查证核实企业经营资质和医疗器械产品注册证情况。
文献和实验一、原理氯化三苯基四氮唑(TTC)是标准氧化还原电位为80mV的氧化还原物质,溶于水中成为无色溶液,但还原后即生成红色而不溶于水的三苯基甲 (TTF),如下式: 生成的TTF比较稳定,不会被空气中的氧自动氧化,所以TTC被广泛地用作酶试验的氢受体,植物根所引起的TTC还原,可因加入琥珀酸、延胡索酸、苹果酸得到增强,而被丙二酸、碘乙酸所抑制。所以TTC还原量能表示脱氢酶活性,并作为根系活力的指标。二、仪器与用具分光光度计;分析天平(感量0.1mg);恒温箱1台;研钵1套;100ml三角瓶;漏斗
Welchrom® BRP GLASS( 500 mg/6 mL) (1) 活化:依次加入6 mL甲基叔丁基醚和6 mL甲醇,6 mL水平衡。 (2)上样:500 mL样品加入小柱中,流速≤15 mL/ min,流出液弃去。 (3) 淋洗:3 mL 5%甲醇水溶液淋洗,淋洗液弃去。 (4)洗脱:3 mL甲醇和6 mL甲基叔丁基醚洗脱,收集洗脱液。 (5)重新溶解:30℃下将洗脱液减压蒸馏至干,1 mL乙腈溶解残渣,滤膜过滤后HPLC分析。 注:(5) 步骤是供参考的,使用
用GC、GC/MS方法检测人尿中Selegiline及其代谢物
,于100℃下水解30 min。冷却后以3 ml叔丁基甲醚提取,分离,弃去醚层。于水相加0.5 ml12M NaOH,2 g固体缓冲剂(NaHCO3:K2CO3=3:2,pH9.6)。以3 ml含二苯胺为内标的叔丁基甲醚/异丙醇( 9:1)溶液, 振摇。分离提取液,于N2气下吹干, 以 1 ml乙酸乙酯溶解残渣,GC/NPD进样2 L。之后于N2气下浓缩至约50 L。于GC/MSD进样2 L。然后吹干,于残渣中加入100 L乙酸乙酯和100 L三氟乙酰酐(TFAA),70℃反应20 min。于N2气
技术资料暂无技术资料 索取技术资料










