相关产品推荐更多 >
万千商家帮你免费找货
0 人在求购买到急需产品
- 详细信息
- 文献和实验
- 技术资料
- 库存:
951
- 供应商:
北京百奥莱博科技有限公司
- 英文名:
Poly-L-lysine, Mw 150,000-300,000
特别声明:本产品及我公司所售其他产品均为科研类试剂产品,严禁用于药物、医疗及其他非科研用途。
北京百奥莱博主要从事生物试剂的生产和销*(代"售"),产品线涵盖北京促销多聚L-赖*酸(分子量15万~30万)价格在内的分子生物学试剂产品,还包括PCR及荧光定量PCR、核酸提取试剂盒类、样本核酸保护试剂、核酸提取、克隆与转化、蛋白纯化、蛋白检测、免疫组化、细胞凋亡与抗体等。
名称:北京促销多聚L-赖*酸(分子量15万~30万)价格
产地:国产|进口
编号:SY0461
品牌:百奥莱博
本品为多聚-L-赖*酸(Poly-L-lysine),分子量为150,000-300,000,适用于细胞培养。另外,以**酸(HBr)的形式提供,约1个赖*酸残基结合1分子的**酸,使其以稳定的结晶固体形式提供,并具有更强的水溶性。用作细胞培养基质,推荐使用量为:对于25cm2的培养板需要0.1mg/ml的聚赖*酸溶液约0.5ml-1.0ml。
多聚赖*酸(poly-lysine)是一种带正电荷的*基酸聚合物,能够结合于DNA,红细胞膜或任何带负电荷蛋白,是一种非特异性的细胞粘附因子,促进细胞吸附到固相基质上。作用机理在于其可增强细胞膜表面的负电荷离子和固相基质表面(如细胞培养皿,载玻片等)的静电相互作用。当吸附到培养表面后,多聚赖*酸提高用于细胞结合的阳离子结合位点数。多聚赖*酸分子量的大小与粘度相关,即分子量较低,粘度较低;分子量较高,粘度较高,提供的粘附位点也较多。分子量>30,000的聚赖*酸适用于促进细胞粘附到固体基质。
多聚赖*酸(poly-lysine)有两种常见亚型,D-和L-型。由于多聚赖*酸是细胞结合的非特异性粘附因子,因此两种亚型都可用作包被固体基质,在细胞培养中都可促进细胞的贴壁生长。
中文别名:多聚赖*酸溶液(L型)
英文别名:Poly-L-lysine Solution; PLL; Poly-L-lysine hydrobromide Solution
CAS:25988-63-0
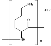
分子式:L-Lys-(L-Lys)n-L-Lys·xHBr
分子量:150,000-300,000
外观:白色至类白色粉末
溶解性:溶于水(50mg/ml)
储存条件:-20℃干燥,有效期4年
结构式

注意事项
1)注意在细胞培养相关应用中,某些细胞会消化多聚 L-赖*酸并吸收,摄入过多的多聚 L-赖*酸会产生一定的细胞毒性。因此,遇到这种情况需选用多聚 D-赖*酸(Poly-D-lysine),如多聚D-赖*酸(5 mg/ml),分子量:150,000-300,000,细胞培养级,货号:SY0464。
2)将若想去除本品中的HBr,可将本品溶于中性缓冲液,可透析除去盐离子。
3)为了您的安全和健康,请穿实验服并戴一次性手套操作。
北京促销多聚L-赖*酸(分子量15万~30万)价格正在火爆热销,除此之外,为您推荐下别热销产品:
·DAB显色试剂盒黄色(IHC)
编号:SY0760
英文名称:DAB Peroxidase Substrate Kit for IHC (Yellow Color)
规格:1Kit
DAB即二*基联*(代"*")*(代"胺")(3,3’-diaminobenzidine),辣根过氧化物酶(Peroxidase)最常用的生色底物,显色呈鲜艳的棕黄色,可用于免疫组化及各种印迹显色法。本试剂盒采用液体性滴瓶包装,使用方便,并且减少了接触有潜在毒性的DAB。
产品组份:
20×DAB浓缩液————3ml
20×H2O2浓缩液———3ml
20×TBS缓冲液————3ml
操作方法
1)抗原-过氧化物酶标记抗体复合物形成后,对组织用TBS 或PBS充分洗涤,5min/次,共4次。
2)往1ml 蒸馏水加显色剂A,B,C 各50μl,混匀后即得到完整的DAB工作液。加至标本上。一般显色10-30min。若无背景出现则可继续显色。
3)显色后蒸馏水充分洗涤以终止反应。必要时苏木素复染1min左右。水洗。
4)脱水,透明,中性树胶封片,显微镜观察。
储存条件:-20℃,有效期一年。
·C/EBPβ-Luc荧光素酶报告基因质粒
编号:SY0121
英文名称:C/EBPβ luciferase reporter plasmid
规格:1μg
C/EBPβ-Luc荧光素酶报告基因质粒(C/EBPβ luciferase reporter plasmid)是用于检测C/EBPβ转录活性水平为目的的报告基因。C/EBPβ(CCAAT/enhancer-binding protein beta)是转录因子C/EBPs家族的重要成员,它主要通过对靶细胞基因转录的调节,参与细胞增殖与分化、肿瘤发生与凋亡、细胞周期调控等。
C/EBPβ-Luc荧光素酶报告基因质粒主要应用于C/EBP信号通路的研究、药物研究以及相关基因调控和功能的研究。
pGMC/EBPβ-Lu是我公司改造后的哺乳动物真核表达载体,在其多克隆位点插入了多个C/EBPβ结合位点,可以高灵敏度地检测C/EBPβ的激活水平。同时,对载体中预测出的其它转录因子以外的结合位点进行了适当的突变,增加了质粒的转录因子结合特异性。另外,由于质粒体积减小,使得C/EBPβ报告基因质粒更易于转染。
质粒图谱

使用说明
pGMC/EBPβ-Lu可以采用常规转染方法转染哺乳动物细胞。用荧光素酶检测试剂盒或双荧光素酶检测试剂盒进行检测。
注意事项
本质粒未经我公司允许不得用于任何商业用途,也不得移交给订货人实验室以外的任何人或单位。
为了您的健康,实验操作时请穿实验服和带一次性手套。
储存条件:-20℃。
北京促销多聚L-赖*酸(分子量15万~30万)价格关键词:25988-63-0,多聚赖*酸溶液(L型),多聚L-赖*酸,分子量15万~30万
·碘化丙啶染液(1mg/ml)
编号:SY0491
英文名称:Propidium Iodide Staining Solution(1mg/ml)
规格:1ml
本品是溶于水的PI储存液,浓度为1mg/ml,只需用合适的缓冲液稀释到工作液即可。
碘化丙啶(Propidium Iodide,PI)是一种常用的细胞核荧光染料,作为一种*化乙锭(EB)的类似物,能够嵌入碱基之间实现与DNA结合。这种结合没有或者几乎无序列倾向性,大约每4-5个DNA碱基对结合一个染料。PI也能与RNA结合,需要用核酸酶处理来区分DNA和RNA染色。水溶液中PI的最大激发/发射波长是493/636nm。一旦与核酸结合,荧光信号明显增强20-30倍,最大激发波长向红色波段迁移~30-40nm,最大发射波长向蓝色波段迁移~15nm,从而使其最大激发/发射波长变为535/617nm。PI的摩尔吸光系数相对比较低,但是其具有足够大的斯托克司频移来同时检测核酸DNA和荧光标记抗体,只需要使恰当的滤片。PI适用于荧光显微镜,共聚焦显微镜,流式细胞仪以及荧光计分析。
PI不能穿透细胞膜而被排斥在活细胞外,但是可以穿过破损的细胞膜而对核染色。利用这一特性,通常与Calcein-AM、Hoechst 33258或 Hoechst 33342等活细胞荧光探针一起使用,同时对活细胞和死细胞染色和鉴定,用于细胞凋亡相关的研究。也可以用作多重荧光染色的复染剂,兼容于各种细胞标记技术,包括直接或者间接的荧光抗体检测,mRNA原位杂交,细胞结构特异性的荧光探针检测法以及组织染色。PI的单独染色也可以进行细胞周期的检测。
CAS:25535-16-4
分子式:C27H34I2N4
分子量:668.4
纯度:≥95% by HPLC
溶解性:溶于水(1mg/ml)
储存条件:4℃,避光,有效期6个月
结构式:

北京促销多聚L-赖*酸(分子量15万~30万)价格关键词:25988-63-0,多聚赖*酸溶液(L型),多聚L-赖*酸,分子量15万~30万
吲哚乙酸酯 Lithium phosphate hemihydrate 608-08-2
BL1424 1.5M Tris-HCL (PH8.8)
BTN130664 极高热稳定单链结合蛋白 ET SSB
HC0340 单道雷勃彩色移液器(半彩)
BFD038 喹乙醇检测试剂盒
ARB13430 鸡巨噬细胞替代激活相关化学因子1(AmAC-1)elisa检测说明书 Chicken alternative macrophage activation-associated cc chemokine 1,amac-1 ELISA KIT
ARB10407 人可溶性凋亡相关因子配体(sFASL)酶标法分析 Human soluble factor-related apoptosis ligand,sfasl/apo-1 ELISA KIT
56-75-7 *霉素 ChloramphenicoL
BTN130984 DNase I溶液 DNase I Solution
8042-47-5 Mineraloil 矿物油(石蜡油)
BTN91106 T7体外转录试剂盒 T7 in vitro Transcription Kit
BL0833 HRP标记亲和素
ARB13842 猪二胺氧化酶(DAO)ELISA检测服务 Porcine diamine oxidase,dao ELISA KIT
我公司正在优惠促销蛋白质研究等系列产品,期待您的咨询选购北京促销多聚L-赖*酸(分子量15万~30万)价格。
风险提示:丁香通仅作为第三方平台,为商家信息发布提供平台空间。用户咨询产品时请注意保护个人信息及财产安全,合理判断,谨慎选购商品,商家和用户对交易行为负责。对于医疗器械类产品,请先查证核实企业经营资质和医疗器械产品注册证情况。
文献和实验多聚赖氨酸(Poly-L-Lysine)的配制、保存、使用总结
,我都是放一夜,第二天吸掉晾干就用,当然要紫外消一下.我觉得时间长点没什么大碍。 我们这里的老师说,多聚赖氨酸不能用紫外线照射。 1.用赖氨酸包被培养板和培养瓶时,应该选用多聚左旋赖氨酸(分子量为15-30万) ; 2.感觉你“浓度为50ng/1ml”有些低,我一般最后多聚赖氨酸使用浓度达到20-30ug/ml; 3.包被时间一般为6-7h,或者过夜也可; 4.使用时应该先用灭菌水洗三次+PBS(起平衡盐作用)洗一次,洗液的量应该大于包被液的量; 5.“多聚赖氨酸可以在培养瓶中放多长
,加入培养板或培养瓶能均匀覆盖底部就可,放置在无菌操作台中过夜。第二天早上用时先用双蒸水冲洗三遍再用。 十八、我的问题是多聚赖氨酸可以在培养瓶中放多长时间,太长了会有影响吗? 答:我曾用过多聚赖氨酸包被培养瓶,但浓度是0.1mg/ml,我都是放一夜,第二天吸掉晾干就用,当然要紫外消一下.我觉得时间长点没什么大碍。 我们这里的老师说,多聚赖氨酸不能用紫外线照射。 1.用赖氨酸包被培养板和培养瓶时,应该选用多聚左旋赖氨酸(分子量为15-30万
。 我们这里的老师说,多聚赖氨酸不能用紫外线照射。 1.用赖氨酸包被培养板和培养瓶时,应该选用多聚左旋赖氨酸(分子量为15-30万) ; 2.感觉你“浓度为50ng/1ml”有些低,我一般最后多聚赖氨酸使用浓度达到20-30ug/ml; 3.包被时间一般为6-7h,或者过夜也可; 4.使用时应该先用灭菌水洗三次+PBS(起平衡盐作用)洗一次,洗液的量应该大于包被液的量; 5.“多聚赖氨酸可以在培养瓶中放多长
技术资料暂无技术资料 索取技术资料










