相关产品推荐更多 >
万千商家帮你免费找货
0 人在求购买到急需产品
- 详细信息
- 文献和实验
- 技术资料
- 库存:
437
- 供应商:
北京百奥莱博科技有限公司
- 英文名:
Poly-L-lysine (5mg/ml), Mw 150,000-300,000
特别声明:本产品及我公司所售其他产品均为科研类试剂产品,严禁用于药物、医疗及其他非科研用途。
北京百奥莱博专注于生命科学和生物技术领域,致力于为客户提供包括北京多聚L-赖氨酸溶液(5mg/ml)(分子量15万~30万)厂家在内的一系列分子生物学试剂产品,并提供一系列相关的技术服务。
名称:北京多聚L-赖氨酸溶液(5mg/ml)(分子量15万~30万)厂家
规格:5mg(5mg/ml)
产地:国产|进口
英文名:Poly-L-lysine (5mg/ml), Mw 150,000-300,000
品牌:百奥莱博
本品为无菌的多聚L-赖氨酸(Poly-L-lysine)溶液,浓度为5mg/ml,使用时直接稀释到需要浓度即可。本溶液以分子量为150,000-300,000的Poly-L-lysine配制所得。本品用作细胞培养基质,推荐使用量为:对于25cm2的培养板需要0.1mg/ml的聚赖氨酸溶液约0.5ml-1.0ml。
多聚赖氨酸(poly-lysine)是一种带正电荷的氨基酸聚合物,能够结合于DNA,红细胞膜或任何带负电荷蛋白,是一种非特异性的细胞粘附因子,促进细胞吸附到固相基质上。作用机理在于其可增强细胞膜表面的负电荷离子和固相基质表面(如细胞培养皿,载玻片等)的静电相互作用。当吸附到培养表面后,多聚赖氨酸提高用于细胞结合的阳离子结合位点数。多聚赖氨酸分子量的大小与粘度相关,即分子量较低,粘度较低;分子量较高,粘度较高,提供的粘附位点也较多。分子量>30,000的聚赖氨酸适用于促进细胞粘附到固体基质。
多聚赖氨酸(poly-lysine)有两种常见亚型,D-和L-型。由于多聚赖氨酸是细胞结合的非特异性粘附因子,因此两种亚型都可用作包被固体基质,在细胞培养中都可促进细胞的贴壁生长。
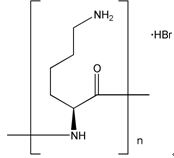
中文别名:多聚赖氨酸溶液(L型)
英文别名:Poly-L-lysine Solution; PLL; Poly-L-lysine hydrobromide Solution
CAS:25988-63-0
分子式:L-Lys-(L-Lys)n-L-Lys·xHBr
分子量:150,000-300,000
外观:无色至浅黄色液体
储存条件:4℃,有效期两年
结构式:

北京多聚L-赖氨酸溶液(5mg/ml)(分子量15万~30万)厂家正在火爆热销,除此之外,为您推荐下别热销产品:
·AR-Luc报告基因慢病毒颗粒
编号:SY0149
英文名称:Lentivirus AR Luciferase Reporter
规格:50μl×4管;2×10e7TU/ml
AR 报告基因慢病毒是用于检测 AR 转录活性水平为目的的报告基因慢病毒颗粒。Androgen Receptor(AR)属于核受体超家族中的类固醇受体,通过介导雄激素的作用调控多种基因的表达。
AR 报告基因慢病毒主要用于检测细胞中Androgen信号通路、药物研究以及基因过表达和 RNAi 的表型研究等。
pGMLV-AR-Lu 是在 pGMLV -Lu 慢病毒载体的多克隆位点插入了多个AR结合位点,可以高灵敏度地检测 AR 的激活水平。采用慢病毒作为报告基因的优点在于它能够感染多种难感染的细胞,比如原代细胞、干细胞、神经元细胞等。而且慢病毒能够将外源基因插入细胞基因组内,实现稳定转染。
质粒图谱

注意事项
1. 病毒操作时最好使用生物安全柜,如使用普通超净工作台操作病毒,请不要打开风机。
2. 病毒操作时请穿实验服,带口罩和乳胶手套。
3. 操作病毒时必须特别小心,不要产生气雾或飞溅。如操作时超净台有病毒污染,立即用10%次氯酸钠溶液搽拭干净。接触过病毒的枪头、离心管和培养板等需用10%次氯酸钠溶液浸泡1h以上后弃去。
4. 用显微镜观察细胞感染情况时应遵从以下步骤:拧紧培养瓶或盖紧培养板。用70%乙醇清理培养瓶外壁后到显微镜出观察拍照。离开显微镜试验台前,用70%乙醇清理实验台。
5. 病毒操作完成后,用肥皂清洗双手。
使用说明
AR报告基因慢病毒颗粒采用慢病毒转染方法转染哺乳动物细胞。用荧光素酶检测试剂盒或双荧光素酶检测试剂盒进行检测。Androgen Receptor的激活剂,可作为AR报告基因的阳性对照。
储存条件:-80℃。
北京多聚L-赖氨酸溶液(5mg/ml)(分子量15万~30万)厂家关键词:5mg/ml,多聚L-赖氨酸溶液,多聚赖氨酸溶液(L型),25988-63-0
BTN130675 核糖核酸酶HII RNase HII
ARB13394 传染性犬肝炎病毒ICHV 免费代测
N-甲基-D-葡糖胺 MBTH Hydrochloride 6284-40-8
J0313 兔抗人IgM(H+L)抗血清 1ml/10ml
ARB13740 兔粒细胞集落刺激因子(G-CSF)检测服务 Rabbit granulocyte colony stimulating factor,g-csf ELISA KIT
PY04-043 吖啶黄素(VI) 2.5mg/支×10支 加入100ml Fraser/Half Fraser肉汤基础中制成Fraser肉汤,用于李斯特氏菌的选择性增菌培养
ARB11620 人羟赖氨酸(Hyl)elisa检测 Human hydroxylysine,hyl ELISA KIT
PY01-094 脑磷脂 1克
BL1193 姬姆萨染色液(10*原液)
ARB13984 猪基质金属蛋白酶9(MMP-9)酶免分析 Porcine matrix metalloproteinase 9,mmp-9 ELISA KIT
ARB13889 猪孕激素/孕酮(PROG)定量分析 Porcine progesterone,prog ELISA KIT
ARB10069 人C4结合蛋白(C4BP)酶标法分析 Human c4 binding protein,c4bp ELISA KIT
ARB13410 鸡1,3-βD葡葡糖苷酶(1,3-βD-Glu)含量分析 Chicken 1,3-βd glucosidase,1,3-βd-glu ELISA KIT
CBZ-DL-苯丙氨酸 Driselase 3588-57-6
ARB12774 小鼠S100蛋白(S-100)elisa检测说明书 Mouse soluble protein-100,s-100 ELISA KIT
北京多聚L-赖氨酸溶液(5mg/ml)(分子量15万~30万)厂家关键词:5mg/ml,多聚L-赖氨酸溶液,多聚赖氨酸溶液(L型),25988-63-0
蒽醌 Puromycin dihydrochloride 84-65-1
呋喃它酮 Avidin(chiken egg white) 139-91-3
6-磷酸葡萄糖钡盐 Tetramethylammonium iodide 921-62-0
苋菜红 Testosterone 915-67-3
BL0879 兔抗人纤维蛋白原免疫血清
CBZ-L-天冬氨酸 5"-ADP,Na2 1152-61-0
ARB13978 猪高铁血红蛋白(MHB)含量检测 Porcine methemoglobin,mhb ELISA KIT
十五醇 MDH 629-76-5
BTN80916 96孔板质粒DNAOUT(离心法) 96 Microwell Plate Plasmid DNAOUT
BFD061 猪瘟抗体检测卡
苯甲脒琼脂糖凝胶4FF VK1
ARB10035 人I型前胶原N端前肽(PINP)ELISA代测服务 Human procollagen i n-terminal Peptide,pinp ELISA KIT
ARB13879 猪白介素6(IL-6)免费代测 Porcine interleukin 6,IL-6 ELISA KIT
L-脯氨酸苄酯盐酸盐 C12E10 16652-71-4
BTN130653 GpC 甲基转移酶(M.CviPI) GpC Methyltranferase(M.CviPI)
F030835 BIOTIN标记山羊抗鸡IgY IgG抗体 Polyclonal Goat Anti-Chicken IgY(IgG)*BIOTIN
ARB11849 人凝血酶原(PT)Elisa分析 Human prothrombin,pt ELISA KIT
002007 肝素钠抗凝羊血
曲拉通x-100 Sodium 1-hexanesulfonate 9002-93-1
BL0285 MEM/EBSS
ARB10919 人抗髓鞘少突胶质细胞糖蛋白抗体(MOG-Ab)含量分析
ARB11378 人前病毒整合位点1(PIm1)Elisa定量检测 Human proviral integRation site 1,pim1 ELISA KIT
我公司正在优惠促销蛋白质研究等系列产品,期待您的咨询选购北京多聚L-赖氨酸溶液(5mg/ml)(分子量15万~30万)厂家。
风险提示:丁香通仅作为第三方平台,为商家信息发布提供平台空间。用户咨询产品时请注意保护个人信息及财产安全,合理判断,谨慎选购商品,商家和用户对交易行为负责。对于医疗器械类产品,请先查证核实企业经营资质和医疗器械产品注册证情况。
文献和实验多聚赖氨酸(Poly-L-Lysine)的配制、保存、使用总结
,我都是放一夜,第二天吸掉晾干就用,当然要紫外消一下.我觉得时间长点没什么大碍。 我们这里的老师说,多聚赖氨酸不能用紫外线照射。 1.用赖氨酸包被培养板和培养瓶时,应该选用多聚左旋赖氨酸(分子量为15-30万) ; 2.感觉你“浓度为50ng/1ml”有些低,我一般最后多聚赖氨酸使用浓度达到20-30ug/ml; 3.包被时间一般为6-7h,或者过夜也可; 4.使用时应该先用灭菌水洗三次+PBS(起平衡盐作用)洗一次,洗液的量应该大于包被液的量; 5.“多聚赖氨酸可以在培养瓶中放多长
速精度 ±1转 震荡幅度 30mm 定时范围 99.9小时 标准配置 250ml x 54个 托盘数量 1 外形尺寸 900x600x270mm
,加入培养板或培养瓶能均匀覆盖底部就可,放置在无菌操作台中过夜。第二天早上用时先用双蒸水冲洗三遍再用。 十八、我的问题是多聚赖氨酸可以在培养瓶中放多长时间,太长了会有影响吗? 答:我曾用过多聚赖氨酸包被培养瓶,但浓度是0.1mg/ml,我都是放一夜,第二天吸掉晾干就用,当然要紫外消一下.我觉得时间长点没什么大碍。 我们这里的老师说,多聚赖氨酸不能用紫外线照射。 1.用赖氨酸包被培养板和培养瓶时,应该选用多聚左旋赖氨酸(分子量为15-30万
技术资料暂无技术资料 索取技术资料










