相关产品推荐更多 >
万千商家帮你免费找货
0 人在求购买到急需产品
- 详细信息
- 文献和实验
- 技术资料
- 保存条件:
-20℃
- 保质期:
长期
- 英文名:
PU.1 luciferase reporter plasmid
- 库存:
505
- 供应商:
北京百奥莱博科技有限公司
- 规格:
1μg
特别声明:本产品及我公司所售其他产品均为科研类试剂产品,严禁用于药物、医疗及其他非科研用途。
北京百奥莱博专业生产销售PU.1-Luc荧光素酶报告基因质粒北京厂家,我公司供应的细胞生物学试剂品类齐全,且具有优势价格,欢迎新老客户垂询订购。
名称:PU.1-Luc荧光素酶报告基因质粒北京厂家
品牌:百奥莱博
产地:国产|进口
编号:SY0107
PU.1荧光素酶报告基因(报告基因质粒)(PU.1 luciferase reporter plasimd)是用于检测PU.1转录活性水平为目的的报告基因。PU.1转录因子因其DNA结合区识别共有序列GAGGAA,故该区又被称为PU.1 box。PU.1主要在造血系统如髓细胞和B淋巴细胞中表达,调节关键髓系基因的转录从而调控造血系统的分化。
PU.1报告基因主要用于检测细胞中PU.1的活性、药物研究以及基因过表达和RNAi的表型分析等。
pGMPU.1-Lu是我公司改造后的哺乳动物真核表达载体,在其多克隆位点插入了多个PU.1结合位点,可以高灵敏度地检测PU.1的激活水平。同时,对载体中预测出的其它转录因子以外的结合位点进行了适当的突变,增加了质粒的转录因子结合特异性。由于质粒体积减小,使得PU.1报告基因更易于转染。
质粒图谱

注意事项
本质粒未经我公司允许不得用于任何商业用途,也不得移交给订货人实验室以外的任何人或单位。
为了您的健康,实验操作时请穿实验服和带一次性手套。
使用说明
pGMPU.1-Lu可以采用常规转染方法转染哺乳动物细胞。用荧光素酶检测试剂盒或双荧光素酶检测试剂盒进行检测。
储存条件:-20℃。
欲咨询购买PU.1-Luc荧光素酶报告基因质粒北京厂家,请致电北京百奥莱博科技有限公司,为您提供最全面周到的产品服务,除此之外,我公司正在促销以下产品:
·MR-GFP报告基因质粒
编号:SY0222
英文名称:MR (Mineralocorticoid Receptor) GFP Reporter Plasmid
规格:1μg
MR-GFP报告基因是用于检测MR转录活性水平为目的的报告基因。MR(mineralocorticoid receptor)是核受体家族的一员,通过激素信号的传递和激活醛固醇靶基因的表达,调节多种生理病理反应。
MR-GFP报告基因主要应用于Mineralocorticoid Receptor信号通路、药物研究、相关基因的调控和功能的研究。
pGMMR-GFP是我公司改造后的哺乳动物真核表达载体,在其多克隆位点插入了多个MR结合位点,可以高效地检测MR的激活水平。由于载体采用了GFP作为报告基因,更便于后续的检测。同时,对载体中预测出的其它转录因子以外的结合位点进行了适当的突变,增加了质粒的转录因子结合特异性。另外,由于质粒体积减小,使得MR-GFP报告基因更易于转染。
质粒图谱

pGM MR -GFP质粒测序引物
5’-TAGCAAAATAGGCTGTCCC-3’
使用说明
pGMMR-GFP可以采用常规转染方法转染哺乳动物细胞。
注意事项
1)本质粒未经我公司允许不得用于任何商业用途,也不得移交给订货人实验室以外的任何人或单位。
2)为了您的健康,实验操作时请穿实验服和带一次性手套。
储存条件:-20℃。
PU.1-Luc荧光素酶报告基因质粒北京厂家关键词:SY0107,PU.1 luciferase reporter plasmid ,PU.1-Luc荧光素酶报告基因质粒
·多聚D-赖氨酸溶液(5mg/ml)(分子量15万~30万)(细胞培养级)
编号:SY0464
英文名称:Poly-D-lysine Solution (5 mg/ml), Mw 150,000-300,000
规格:2mg(5mg/ml)
本品为无菌的多聚D-赖氨酸(Poly-D-lysine)溶液,浓度为5mg/ml,使用时直接稀释到需要浓度即可。本溶液以分子量为150,000-300,000的Poly-D-lysine配制所得。本品用作细胞培养基质,推荐使用量为:对于25cm2的培养板需要0.1mg/ml的聚赖氨酸溶液约0.5ml-1.0ml。
多聚赖氨酸(poly-lysine)是一种带正电荷的氨基酸聚合物,能够结合于DNA,红细胞膜或任何带负电荷蛋白。是一种非特异性的细胞粘附因子,促进细胞吸附到固相基质上。作用机理在于其可增强细胞膜表面的负电荷离子和固相基质表面(如细胞培养皿,载玻片等)的静电相互作用。当吸附到培养表面后,多聚赖氨酸提高用于细胞结合的阳离子结合位点数。多聚赖氨酸分子量的大小与粘度相关,即分子量较低,粘度较低;分子量较高,粘度较高,提供的粘附位点也较多。分子量>30,000的聚赖氨酸适用于促进细胞粘附到固体基质。
多聚赖氨酸(poly-lysine)有两种常见亚型,D-和L-型。由于多聚赖氨酸是细胞结合的非特异性粘附因子,因此两种亚型都可用作包被固体基质。然而在细胞培养相关应用中,某些细胞会消化多聚-L-赖氨酸并吸收,摄入过多的多聚-L-赖氨酸会产生一定的细胞毒性。因此,遇到这种情况首选多聚-D-赖氨酸(Poly-D-lysine)。
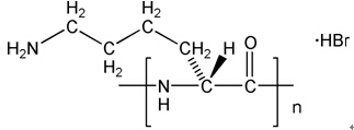
中文别名:多聚-D-赖氨酸氢溴酸盐,分子量150,000-300,000
英文别名:Poly-D-lysine hydrobromide, Mw 150,000-300,000; PDL , Mw 150,000-300,000;
CAS:27964-99-4
分子式:D-Lys-(D-Lys)n-D-Lys · xHBr
分子量:150,000-300,000
外观:无色至黄色溶液
储存条件:-20℃,有效期两年
结构式:

PU.1-Luc荧光素酶报告基因质粒北京厂家关键词:SY0107,PU.1 luciferase reporter plasmid ,PU.1-Luc荧光素酶报告基因质粒
A4016-28 山羊血清 100ml|500ml
ARB10979 人免疫球蛋白轻链λ(λ-IgLC)免费代测 Human lambda immunoglobulin light chain,λ-iglc ELISA KIT
PY01-019B 牛胆酸 25克
BTN131192 超敏化学发光(AP)检测试剂盒 Ultrasensitive ECL Kit
BTN131039 即用型EMSA试剂盒 EMSA Kit
RN1701 Acryl Carrier 核酸助沉剂
548-62-9 结晶紫
HC0067 PCR八连排管(鼓)
ARB13456 鸡主要组织相容性复合体(MHC/B)酶标法分析 Chicken major Histocompatibility complex,mhc/b ELISA KIT
3,5-二硝基水杨酸 L-Lactide 609-99-4
ARB11626 人粒细胞巨噬细胞集落刺激因子(GM-CSF)酶联免疫定量检测 Human granulocyte-macrophage colony stimulating factor,gm-csf ELISA KIT
1523-11-1 2-Naphth 2 acetate 乙酸-2-奈脂
苯酚红钠盐 D-Norvaline 34487-61-1
132-32-1 3-氨基-9-乙基咔唑/AEC
北京百莱博科技有限公司专业生产报告基因检测产品,欢迎来电咨询选购PU.1-Luc荧光素酶报告基因质粒北京厂家。
风险提示:丁香通仅作为第三方平台,为商家信息发布提供平台空间。用户咨询产品时请注意保护个人信息及财产安全,合理判断,谨慎选购商品,商家和用户对交易行为负责。对于医疗器械类产品,请先查证核实企业经营资质和医疗器械产品注册证情况。
文献和实验【求助】请教荧光素酶报告基因检测NF-KB转录活性需要哪些试剂?
阿兰梦 之前没有做过,只是根据文献的简单描述依葫芦画瓢,但是毕竟是好几千的试剂,生怕弄错了 临床医生一下子做科研,确实很多地方不懂,很艰难 目的是想用双荧光素酶报告基因的方法检测药物内皮细胞的NF-KB的转录活性影响,需要买pNF-kB-Luc 报告质粒,碧云天有;然后需要双荧光素酶报告基因检测系统,promega有;另外还需要一个内参,文献是β-半乳糖苷酶 问题是: 1、不知道买哪一个对: http://www
啦之类的那一块。这家伙是得了炸药奖的。Clontech公司构建了大量荧光定位质粒,如pEGFP-N1,pDsRed2-N1,pDsRed-Monomer-C1等等。 萤光,英文luminescence,即发光或称生物发光,是指萤火虫荧光素酶,海肾荧光素酶等在底物存在(实际上还需要ATP,氧,辅酶A等,这些试剂盒中已经加入)下发出的光,是生物化学反应,他的实质是酶,没有底物是不能发光的。把LUC利用的最好的是PROMEGA公司,他们有大量试剂盒是基于这两种荧光素酶的,最常见的是检测启动子或增强子活性
panzerking 我在设计实验 想用NF-kB-luc做报告基因 是不是一定要用β-galactosidase 报告质粒或者Renilla荧光素酶报告质粒作为内参? 我看了有些文献 好像有的用 有的一个都没用 是有这样的情况吗 或者是不是只要保证control组NF-kB-luc转染条件一样就可以做为可用的数据了? lwjssry 不可以,一定要用内参,需要校正对照和处理组细胞数目的差异
技术资料暂无技术资料 索取技术资料










