相关产品推荐更多 >
万千商家帮你免费找货
0 人在求购买到急需产品
- 详细信息
- 文献和实验
- 技术资料
- 保存条件:
-20℃
- 保质期:
2年
- 英文名:
CTP Solution(100 mM)
- 库存:
220
- 供应商:
北京百奥莱博科技有限公司
- 规格:
1ml
特别声明:本产品及我公司所售其他产品均为科研类试剂产品,严禁用于药物、医疗及其他非科研用途。
胞苷三磷酸溶液(100 mM)(CTP)报价的品牌:百奥莱博,是优质的核酸扩增(PCR)产品,用于科研目的生化试验项目,本产品质量好,且极具价格优势,深为用户称道,了解更多胞苷三磷酸溶液(100 mM)(CTP)等核酸扩增(PCR)产品请联系我司咨询订购。
名称:胞苷三磷酸溶液(100 mM)(CTP)
产地:国产|进口
编号:SY0053
品牌:百奥莱博
英文名:CTP Solution(100 mM)
CAS:65-47-4
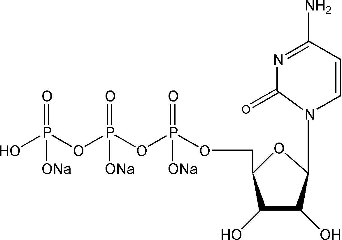
CTP即Cytidine-5-triphosphate,中文名为胞苷三磷酸,可用于分子生物学中多种相关应用,如体外转录、RNA扩增,以及胆碱和乙醇胺的合成等。
本产品为纯度≥99%(HPLC)的CTP三钠盐配制所得的无色透明水溶液, pH (25℃)= 7.0±0.1,浓度为100mM,且无DNase,RNase和磷酸酶污染。
英文别名:Cytidine-5-triphosphate,trisodium salt
CAS:65-47-4 (acid form)
分子式:C9H13N3Na3O14P3
分子量:549.1(acid form: 483.15)
外观:无色透明溶液
纯度:≥99%(HPLC)
结构式:
储存条件:-20℃,有效期2年。
关键词:胞苷三磷酸溶液,Cytidine-5-triphosphate,trisodium salt,65-47-4,100 MM
除胞苷三磷酸溶液(100 mM)(CTP)报价外,我公司正在打折促销以下产品:
| 编号 | 名称 |
| SY0296 | pET-28a(+) Vector 表达载体 |
| SY0524 | 胰酶溶液(0.25%),含酚红 |
| SY0364 | 10×Tris-Glycine Native电泳缓冲液 |
| SY0211 | DBP-GFP报告基因质粒 |
| SY0503 | 阿尔玛蓝 |
| SY0069 | PPARγ-Luc荧光素酶报告基因质粒 |
| SY0460 | 重组人胰岛素 |
| SY0450 | 髓鞘蛋白脂质蛋白多肽PLP(139-151) |
| SY0476 | TUNEL细胞凋亡检测试剂盒(Alexa Fluor 488) |
| SY0156 | STAT1-GFP报告基因质粒 |
| SY0385 | 重组烟草蚀纹病毒蛋白酶 |
| SY0566 | FITC标记鬼笔环肽 |
| SY0537 | 胶原酶III型 |
| SY0177 | GATA-GFP报告基因质粒 |
| SY0244 | 红色核酸染料(10000×)(同DuRed、GelRed) |
| SY0338 | 四甲基二乙胺 |
| SY0035 | 热启动PCR Master Mix(不含染料) |
| SY0029 | 2×PCR Plus Master Mix(不含染料) |
| SY0585 | 细胞膜红色荧光探针 |
| SY0399 | 链霉亲和素琼脂糖纯化树脂 |
| SY0079 | HSF-Luc荧光素酶报告基因质粒 |
| SY0369 | 大肠杆菌表达重组肠激酶(不带标签) |
| SY0329 | E-64蛋白酶抑制剂 |
| SY0579 | 快速姬姆萨染液(适用于血涂片、骨髓涂片染色) |
| SY0130 | HNF1-Luc荧光素酶报告基因质粒 |
| SY0540 | 细胞膜固定剂 |
| SY0043 | 脱氧胸苷三磷酸溶液(100 mM)(dTTP) |
| SY0570 | 溶酶体红色荧光探针 |
| SY0067 | RBP-JK萤火虫荧光素酶报告基因质粒 |
| SY0415 | 27mm透析袋(透析分子量50kDa) |
| SY0134 | MR-Luc荧光素酶报告基因质粒 |
| SY0163 | PPARγ-GFP报告基因质粒 |
| SY0408 | 30ml重力层析空柱 |
| SY0194 | TCF/LEF1-GFP报告基因质粒 |
| SY0111 | AAT-promoter-Luc荧光素酶报告基因质粒 |
| SY0308 | 曲拉通X-100(分子生物学级) |
| SY0533 | 淋巴细胞分离液1.084 |
| SY0259 | 双链DNA(dsDNA)定量试剂 |
| SY0509 | 细胞增殖与示踪检测试剂盒 |
| SY0227 | RORE-GFP报告基因质粒 |
| SY0628 | 3-吲哚丁酸 |
| SY0487 | 体内巨噬细胞清除剂(阴离子氯氟松) |
风险提示:丁香通仅作为第三方平台,为商家信息发布提供平台空间。用户咨询产品时请注意保护个人信息及财产安全,合理判断,谨慎选购商品,商家和用户对交易行为负责。对于医疗器械类产品,请先查证核实企业经营资质和医疗器械产品注册证情况。
文献和实验单层敞开式摇瓶机厂家报价? 产品说明: JY-25-54单层敞开式摇床是同类产品中技术较先进和质量完善可靠的产品,造型美观大方,数显测速,转速可任意设定,操作简便,实为生物工程、医药、卫生、微生物学等行业科研和生产使用的理想仪器. 主要特征: 1、精湛的制作工艺,确保机械运转更稳定更可靠。 2、单层敞开式摇床机芯采用优质铸铁和NSK进口轴承使机械更坚固耐用。 3、交流感应长寿命电机、款、宽调速、恒力矩、无碳刷、免保养。 4、独特的电机过热,温度失控自动断电
KFM2-100MD/3200 100A 电操DC100-220V 板后接线 塑壳断路器
民强,祝愿祖国人民幸福康泰,安居乐业。 经常碰到客户说货期长,在我们这里有现货,不存在货期长。经常有客户问品质有没有保证,在我们这里所有产品都经过严格的检测才可以出厂,并获得ISO9001质量管理体系认证。经常有客户说成本居高不下,在我们这里购买产品都是以成本最低的价格给你,所以这一点请您放下您壹佰二十条心。我也经常听到老板、报价人员、员工说忙、累,但努力了、付出了、敬业了、认真了,都没有达到理想的目标,在我们这里都会一一给你解决,有我们助您一臂之力,让您轻松舒心省心放心,您的事就是我的事
KFM2-100D/4200B 20A 电操DC100-220V 板后接线 塑壳断路器
民强,祝愿祖国人民幸福康泰,安居乐业。 经常碰到客户说货期长,在我们这里有现货,不存在货期长。经常有客户问品质有没有保证,在我们这里所有产品都经过严格的检测才可以出厂,并获得ISO9001质量管理体系认证。经常有客户说成本居高不下,在我们这里购买产品都是以成本最低的价格给你,所以这一点请您放下您壹佰二十条心。我也经常听到老板、报价人员、员工说忙、累,但努力了、付出了、敬业了、认真了,都没有达到理想的目标,在我们这里都会一一给你解决,有我们助您一臂之力,让您轻松舒心省心放心,您的事就是我的事
技术资料暂无技术资料 索取技术资料









