相关产品推荐更多 >
万千商家帮你免费找货
0 人在求购买到急需产品
- 详细信息
- 文献和实验
- 技术资料
- 保存条件:
-20°C
- 保质期:
12个月
- 英文名:
BIOTIN-16-DUTP, 1 MM IN PH 7.5 TRIS-HCL 40022
- 库存:
99
- 供应商:
Biotium
- CAS号:
136632-31-0
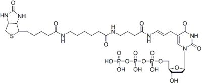
Biotin-16-dUTP can be enzymatically incorporated into DNA via nick translation, random priming, or 3′ end terminal labeling. The terminal deoxynucleotidyl transferase (TdT)-mediated biotin-dUTP nick end-labeling (TUNEL) method has been commonly used for apoptosis studies. The number ’16’ is the number of atoms in the linker between biotin and dUTP. Biotium also offers biotin-11-dUTP (catalog no. 40029) and biotin-20-dUTP (catalog no. 40030). The length of the linker affects the incorporation efficiency of the biotin-dUTP probe into DNA using DNA polymerases, and it also affects biotin/avidin or biotin/streptavidin. In general, the shorter the linker, the more efficiently the biotin-dUTP is incorporated into DNA by DNA polymerases. On the other hand, a longer linker should facilitate interaction between biotin and avidin or streptavidin. Biotin-16-dUTP is also available as a lyophilized solid (catalog no. 40022-1).
- 1 mM solution in pH 7.5 Tris-HCl buffer
- Store at -20°C
- C32H48N7O18P3S Li4
- MW: 971.5
- [136632-31-0]
风险提示:丁香通仅作为第三方平台,为商家信息发布提供平台空间。用户咨询产品时请注意保护个人信息及财产安全,合理判断,谨慎选购商品,商家和用户对交易行为负责。对于医疗器械类产品,请先查证核实企业经营资质和医疗器械产品注册证情况。
文献和实验ORNL MICROARRAY HYBRIDIZATION PROTOCOLS
for 10min Immediately neutralize the mix with 5ml of 1M Tris-HCl, pH= 7.5 ・ If only using single label, add 38.5ml of 10mM Tris-HCl, pH=8.0, 1mM EDTA (Volume = 67ml) ・ For dual labels, combine the Cy3 with the Cy5 (Volume = 57ul). Then rinse Cy
头等。2、试剂:试剂盒含TdT 2×、Biotinylated标记的dUTP、标记streptavidin的HRP、SSC 20×、Proteinase k、DAB 20×、DAB底物Buffer 20×、H2O2 20×;3、自备试剂:(1)1×PBS(pH 7.4,2.5L=20.0157g 137mM NaCl+0.499552g 2.68mM KCl+0.50013075g 1.47mM KH2PO4+7.253337g 8.1mM Na2HPO4),115℃×15 min;(2)0.85%NaCl
to the indicated concentrations after the first denaturation step for PCR-amplification (final volume 100 microliters): 67 mM Tris-HCl (pH 8.8), 16 mM (NH4)2SO4, 10 mM 2-mercaptoethanol, 3 mM MgCl2, 2 glycerol, 1 micromole of each primer (see below), dATP, dCTP












