相关产品推荐更多 >
万千商家帮你免费找货
0 人在求购买到急需产品
- 详细信息
- 文献和实验
- 技术资料
- 保存条件:
2-8度冷藏
- 保质期:
2年
- 英文名:
Beijing Asnail Biotechnology Co., Ltd
- 库存:
大量
- 供应商:
北京阿斯雷尔生物技术有限公司
- CAS号:
136098-02-7
- 规格:
1.0mg
货号: H1010
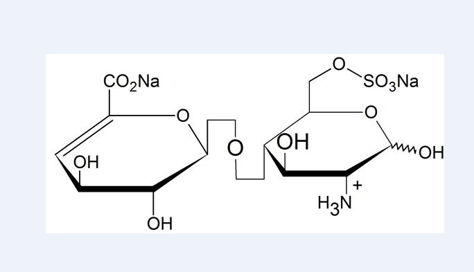
中文名称: 肝素不饱和二糖II-H,钠盐
英文名称: Heparin disaccharide II-H, sodium salt
分子式: C12H18NNaO13S
分子量: 439.32
CAS登记号: 136098-02-7
附加描述: 肝素二糖II-H是由N-脱硫酸化肝素经肝素酶II降解后产生的主要不饱和二糖,可作为HPLC法肝素结构解析的对照品,或进行化学修饰。
【肝素二糖II-H的订购信息】
包装规格: 1.0 mg
不同包装规格请咨询北京阿斯雷尔生物技术有限公司。
【关于肝素二糖和肝素酶】
肝素二糖是以肝素或硫酸乙酰肝素为起始材料,经肝素酶降解后分离纯化得到的。
肝素二糖和肝素酶是对肝素和低分子肝素进行结构表征的重要工具,其常见用途包括:二糖谱,1,6-成环率测试。
【关于Asnail和阿斯雷尔】
Asnail是阿斯雷尔旗下品牌,其产品线包括肝素酶、发色底物、凝血因子和寡糖对照品等。
我们秉承“专业至上,诚实守信”的经营理念,为相关领域客户提供专业的服务和优质的产品,为客户采购缩短流程,提高效率,节约成本,力争成为客户所信赖的稳定供应商。
阿斯雷尔 (Asnail) 的经营宗旨是:不求在行业做得最大,但求在行业做的最久。不求与客户合作得最快,但求与客户合作得最久。
风险提示:丁香通仅作为第三方平台,为商家信息发布提供平台空间。用户咨询产品时请注意保护个人信息及财产安全,合理判断,谨慎选购商品,商家和用户对交易行为负责。对于医疗器械类产品,请先查证核实企业经营资质和医疗器械产品注册证情况。
文献和实验Science:3D 基因组学揭示两种细胞核类型相互转换机制!
territorialization 的关键因素,那么凝缩蛋白 I 的缺失是否也会产生影响呢?然而研究结果发现凝缩蛋白 I 亚基 CAP-H 的缺失并不会导致着丝粒聚集。研究总结本研究发现了两种类型的 3D 基因组结构,每种类型在真核生物进化过程中反复出现和消失。并表明基因组结构类型的转换与凝缩蛋白 II 亚基的缺失有关。研究人员进一步提出了一个物理模型,认为有丝分裂期间凝缩蛋白 II 对染色体的纵向压缩决定了染色体尺度上的基因组结构,其影响在随后的间期中被保留。并且推测这种机制可能从所有真核生物的最后一个共同祖先开始就被保
Cancer【3】中的两篇文章,整理了人垂体瘤组织来源的类器官培养方案。 图 1. 垂体/垂体瘤类器官研究方案【3】 细胞来源 垂体瘤活检样本或手术样本 培养基配方 组织保存液 组织解离液I 组织解离液II 类器官培养基 近岸蛋白产品货号 基础培养基 Serum-Free Defined Medium (SFDM) DMEM/F12 - Serum-Free Defined Medium (SFDM) - Y27632 10 µM
三句话读懂一篇 CNS:晚睡晚起导致抑郁;吃药代替运动健身;高脂肪饮食引发结直肠癌...
教授团队在 Signal Transduction and Targeted Therapy 杂志上发表研究论文 CD38 deficiency alleviates Ang II-induced vascular remodeling by inhibiting small extracellular vesicle-mediated vascular smooth muscle cell senescence in mice,该研究表明 CD38 缺乏显著地降低了血管紧张素 II 诱导的小鼠
技术资料暂无技术资料 索取技术资料






