相关产品推荐更多 >

DSPE-PEG-NGR(GNGRGGVRSSRTPSDKY) NGR-PEG-DSPE 磷脂-聚乙二醇-多肽
¥99
DSPE-PEG-GTNLSVPNPLGFFPDHQLDP DSPE-PEG-HBVpres1 HBVpres1-PEG-DSPE 磷脂-聚乙二醇-肝脏靶向肽
¥99
KPRRPYTDNYTRLRKQMAVKKYLNSILN CAS号:125093-93-8 血管活性肠多肽 (VIP) 受体拮抗剂 VIP Antagonist
¥99
RGD-PEG-NH2 NH2-PEG-RGD 整合素靶向肽-聚乙二醇-氨基
¥99
DSPE-PEG-Ferrocene Ferrocene-PEG-DSPE 磷脂-聚乙二醇-二茂铁
¥99
万千商家帮你免费找货
0 人在求购买到急需产品
- 详细信息
- 文献和实验
- 技术资料
- 库存:
1000
- 英文名:
DSPE-PEG-SAS
- CAS号:
N/A
- 保质期:
一年
- 供应商:
深圳市魅罗科技有限公司
- 保存条件:
-20℃以下冰冻、干燥
- 规格:
50mg
Sulfonated Alkyl Sulfate-PEG-DSPE SAS-PEG-DSPE DSPE-PEG-SAS 烷基磺酸盐-聚乙二醇-磷脂
关键产品信息
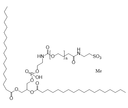
中文名称:磷脂-聚乙二醇-烷基磺酸盐
简称 : DSPE-PEG-SAS
品牌: 魅罗科技(MeloPEG)
结构:

纯度:95%以上
注意事项
保持干燥
存储条件
-20℃以下冰冻、干燥
应用
DSPE-PEG-SAS(磷脂-聚乙二醇-烷基磺酸盐)是一种由磷脂(如DSPE)、聚乙二醇(PEG)和烷基磺酸盐(SAS)三部分组成的嵌段共聚物,广泛应用于药物递送、纳米载体和生物材料中。
1. 结构特点
DSPE-PEG-SAS 的结构具有两亲性,即同时具备亲水性和疏水性。DSPE(1,2-二硬脂酰-sn-甘油-3-磷酸乙-醇胺)部分具有疏水特性,能够嵌入脂质双层;PEG 链则具有亲水特性,提高了材料的水溶性和稳定性;SAS 端基赋予其负电荷,增加了表面活性和生物相容性。
2. 应用领域
药物递送: 由于其稳定性和生物相容性,DSPE-PEG-SAS 常用于制备靶向药物载体,如脂质体和纳米颗粒。
基因传递: 利用其表面修饰特性,可用于核酸递送,提高基因治疗效率。
诊疗一体化: 通过与靶向配体结合,实现肿瘤靶向和影像引导的精准治疗。
生物材料修饰: 用于增强医疗器械和生物膜的抗蛋白吸附性能。
相关目录:
DSPE-PEG-GA 磷脂-聚乙二醇-甘草次酸
DSPE-PEG-DOX 磷脂-聚乙二醇-阿霉素
DSPE-PEG-R8 磷脂-聚乙二醇-靶向穿膜肽R8/PH响应性穿膜肽R8
DSPE-PEG-Angiopep-2 磷脂-聚乙二醇-肿瘤微环境穿膜肽
DSPE-PEG-TH 磷脂-聚乙二醇-PH响应性细胞穿膜肽TH
DSPE-PEG-5-HT 磷脂-聚乙二醇-L-5-羟基色氨酸
DSPE-PEG-ALN 磷脂-聚乙二醇-阿仑膦-酸钠
风险提示:丁香通仅作为第三方平台,为商家信息发布提供平台空间。用户咨询产品时请注意保护个人信息及财产安全,合理判断,谨慎选购商品,商家和用户对交易行为负责。对于医疗器械类产品,请先查证核实企业经营资质和医疗器械产品注册证情况。
文献和实验Angiogenic Vessel-Targeting DDS by Liposomalized Oligopeptides
of PEGylated liposomes, we synthesized a novel lipid derivative of the peptide, distearoylphosphatidylethanolamine–polyethyleneglycol–APRPG (DSPE–PEG–APRPG). The lipid derivative of APRPG peptide is expected to be readily incorporated into liposomal membrane
技术资料暂无技术资料 索取技术资料





