相关产品推荐更多 >

Dextran-SH 葡聚糖-巯基 SH-Dextran 硫醇偶联葡聚糖
¥99
D-CSKAPKLPAAYC JB3 一种针对 IGF-IR(胰岛素样生长因子-1受体) 的靶向多肽
¥99
ApOE-PEG-DSPE DSPE-PEG-LRKLRKRLLLRKLRKRLLC 磷脂-聚乙二醇-载脂蛋白E
¥99
89537-00-8 | L-Valine, N-methyl-N-(N-methyl-L-leucyl)-, phenylmethyl ester | H-MeLeu-MeVal-OBzl
¥99
DSPE-PEG-NLS DSPE-PEG-PKKKRKV NLS-PEG-DSPE 磷脂-聚乙二醇-核定位信号肽
¥99
万千商家帮你免费找货
0 人在求购买到急需产品
- 详细信息
- 文献和实验
- 技术资料
- 库存:
1000
- 英文名:
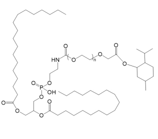
DSPE-PEG-Menthol
- CAS号:
N/A
- 保质期:
一年
- 供应商:
深圳市魅罗科技有限公司
- 保存条件:
-20℃以下冰冻、干燥
- 规格:
50mg
Menthol-PEG-DSPE DSPE-PEG-Menthol 薄荷脑-聚乙二醇-磷脂
关键产品信息
中文名称:磷脂-聚乙二醇-薄荷脑
简称 : DSPE-PEG-Menthol
品牌: 魅罗科技(MeloPEG)
结构:

纯度:95%以上
注意事项
保持干燥
存储条件
-20℃以下冰冻、干燥
应用
DSPE-PEG-Menthol(磷脂-聚乙二醇-薄荷醇) 是一种功能化的两亲性分子,由疏水性脂质、亲水性聚乙二醇(PEG)和具有生物活性的薄荷醇(Menthol)组成。
主要功能与药物递送优势
渗透增强作用
薄荷醇可干扰细胞膜脂质结构,增强药物透皮吸收或穿过生物屏障(如血脑屏障、肿瘤微环境)。
表面功能化
DSPE-PEG-Menthol可用于修饰纳米粒子表面,形成具有“隐身”+“功能靶向”双重能力的纳米递药系统。
协同药效
薄荷醇具有镇痛、抗炎、抗肿瘤活性,与所递送药物形成协同治疗效果。
改善载体稳定性
PEG部分形成亲水外壳,防止血浆蛋白吸附,提高载体稳定性和长循环能力。
相关目录:
DSPE-PEG-NOTA 磷脂-聚乙二醇-氮杂环-辛烷四乙酸
DSPE-PEG-DOTA 磷脂-聚乙二醇-四氮杂环配体
DSPE-PEG-Rhein 磷脂-聚乙二醇-大黄酸
DSPE-PEG-Menthol 磷脂-聚乙二醇-薄荷醇
DSPE-PEG-Vitamin A 磷脂-聚乙二醇-视黄醇
DSPE-PEG-Cyclodextrin 磷脂-聚乙二醇-环糊精
DSPE-PEG-β-CD 磷脂-聚乙二醇-β-环糊精
风险提示:丁香通仅作为第三方平台,为商家信息发布提供平台空间。用户咨询产品时请注意保护个人信息及财产安全,合理判断,谨慎选购商品,商家和用户对交易行为负责。对于医疗器械类产品,请先查证核实企业经营资质和医疗器械产品注册证情况。
文献和实验Angiogenic Vessel-Targeting DDS by Liposomalized Oligopeptides
of PEGylated liposomes, we synthesized a novel lipid derivative of the peptide, distearoylphosphatidylethanolamine–polyethyleneglycol–APRPG (DSPE–PEG–APRPG). The lipid derivative of APRPG peptide is expected to be readily incorporated into liposomal membrane
技术资料暂无技术资料 索取技术资料





