相关产品推荐更多 >

Boc-Gln-Arg-Arg-pNA | Boc-QRR-pNA |叔丁氧羰-谷氨酰胺-精氨酸-精氨酸-对硝ji苯胺 | Kex2酶的酶比活
¥99
NLN(CNLNTIDTC) 与CD44v6表达细胞结合的肽 在药物递送中可作为靶向配体
¥99
DSPE-PEG-Norbornene Norbornene-PEG-DSPE DSPE-PEG-NB 磷脂-聚乙二醇-降冰-片烯
¥99
DSPE-PEG-VHPKQHRGGSKGC VHPKQHRGGSKGC-PEG-DSPE 磷脂-聚乙二醇-VHPKQHRGGSKGC肽
¥99
FITC/PE/PE-Cy5-CD3E Monoclonal Antibody 荧光标记抗体 抗CD34单克隆抗体,荧光标记
¥99
万千商家帮你免费找货
0 人在求购买到急需产品
- 详细信息
- 文献和实验
- 技术资料
- 库存:
1000
- 英文名:
DSPE-PEG-Glycyrrhetinic acid
- CAS号:
N/A
- 保质期:
一年
- 供应商:
深圳市魅罗科技有限公司
- 保存条件:
-20℃以下冰冻、干燥
- 规格:
50mg
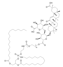
Glycyrrhetinic acid-PEG-DSPE GA-PEG-DSPE DSPE-PEG-GA 甘草次酸-聚乙二醇-磷脂
关键产品信息
中文名称:磷脂-聚乙二醇-甘草次酸
简称 : DSPE-PEG-Glycyrrhetinic acid
品牌: 魅罗科技(MeloPEG)
结构:

纯度:95%以上
注意事项
保持干燥
存储条件
-20℃以下冰冻、干燥
应用
DSPE-PEG-GA由磷脂DSPE作为脂质锚基、PEG作为亲水柔性连接桥、甘草次酸(GA)作为靶向配体三部分构成。
DSPE-PEG-GA在药物递送中的作用
1. 提供载体结构稳定性
DSPE是一种常用的磷脂类分子,具有良好的膜融合性和生物相容性。在药物递送系统中,DSPE部分可牢固地嵌入脂质体或其他纳米载体的脂质双层中,为整个系统提供结构稳定的“锚定基底”。这有助于构建稳定的药物载体,确保药物在体内运输过程中的完整性。
2. 实现长循环时间与隐身效果
PEG链连接在DSPE和GA之间,形成亲水的外层屏障,使得整个纳米递送系统具有“隐身”能力。这种结构能有效避免被单核吞噬系统(MPS)识别与清除,从而显著延长药物在血液中的循环时间,提高药物到达靶组织的几率。
3. 增强对肝脏的靶向性
甘草次酸(GA)具有天然的肝脏靶向能力,能够与肝细胞膜表面特异受体结合。因此,当GA暴露在PEG链末端时,它能够引导整个药物递送系统准确识别并富集于肝组织,特别适用于肝癌、肝纤维化、脂肪肝等相关疾病的治疗。
4. 赋予系统协同治疗潜力
GA本身不仅是靶向配体,也具有一定的药理活性,例如抗炎、抗氧化和抗肿瘤效应。在递送系统中,GA可与载药成分产生协同治疗作用,增强整体治疗效果,降低药物剂量,减少副作用。
5. 提高药物递送特异性和效率
由于PEG链的存在,GA被有效地展示在递送系统的表面,从而增强其与靶细胞的结合效率。相比传统无靶向系统,DSPE-PEG-GA修饰的载体可实现更高的细胞摄取率和组织富集度,从而提高药物的递送效率与治疗精准度。
相关目录:
DSPE-PEG-5-HT 磷脂-聚乙二醇-L-5-羟基色氨酸
DSPE-PEG-ALN 磷脂-聚乙二醇-阿仑膦-酸钠
DSPE-PEG-Rhein 磷脂-聚乙二醇-大黄酸
DSPE-PEG-Emtricitabine 磷脂-聚乙二醇-恩曲他滨
DSPE-PEG-GA 磷脂-聚乙二醇-甘草次酸
DSPE-PEG-Menthol 磷脂-聚乙二醇-薄荷醇
风险提示:丁香通仅作为第三方平台,为商家信息发布提供平台空间。用户咨询产品时请注意保护个人信息及财产安全,合理判断,谨慎选购商品,商家和用户对交易行为负责。对于医疗器械类产品,请先查证核实企业经营资质和医疗器械产品注册证情况。
文献和实验Angiogenic Vessel-Targeting DDS by Liposomalized Oligopeptides
of PEGylated liposomes, we synthesized a novel lipid derivative of the peptide, distearoylphosphatidylethanolamine–polyethyleneglycol–APRPG (DSPE–PEG–APRPG). The lipid derivative of APRPG peptide is expected to be readily incorporated into liposomal membrane
技术资料暂无技术资料 索取技术资料





