万千商家帮你免费找货
0 人在求购买到急需产品
- 详细信息
- 技术资料
- 库存:
57
- 英文名:
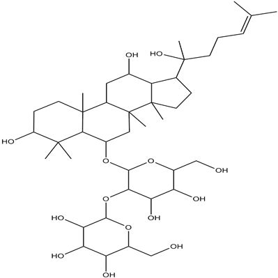
Ginsenoside Rf
- CAS号:
52286-58-5
- 供应商:
上海莼试
- 规格:
20mg
使用方法:
1.本蛋白酶抑制剂混合物为100×的储存液,使用时按照1:100的比例加入到裂解液中(例如,1ml裂解液中加入10μl蛋白酶抑制剂混合物),混匀后即可使用。根据需要,0.5M的EDTA也按照1:100的比例加入到裂解液中(如用于检测金属蛋白酶活性,则不宜添加EDTA)。含有蛋白酶抑制剂混合物的裂解液宜现用现配,不宜配制后冻存待后续使用。
2. 待所需的抑制剂添加完毕混匀后,就可以开始进行哺乳动物组织的裂解和蛋白提取。
商品属性:
产品描述:
分子式:C42H72O14

分子量:801.01
溶解度:≥ 46.2mg/mL in EtOH
储存条件:
General tips:For obtaining a higher solubility , please warm the tube at 37 ℃ and shake it in the ultrasonic bath for a while.
Shipping Condition:Evaluation sample solution : ship with blue ice All other available size: ship with RT , or blue ice upon request
Ginsenoside Rf is a trace component of ginseng root. Ginsenoside Rf inhibits N-type Ca2+ channel.Ginsenoside Rf is a saponin, which is present in only trace amounts within ginseng. At saturating concentrations, Ginsenoside Rf rapidly and reversibly inhibits N-type, and other high-threshold, Ca2+ channels in rat sensory neurons to the same degree as a maximal dose of opioids. The effect is dose-dependent (half-maximal inhibition: 40 μM) and it is virtually eliminated by pretreatment of the neurons with pertussis toxin, an inhibitor of G(o) and Gi GTP-binding proteins. Ginsenoside Rf also inhibits Ca2+ channels in the hybrid F-11 cell line[1].Since inhibition of Ca2+ channels in sensory neurons contributes to antinociception by opioids, analgesic actions of Ginsenoside Rf are tested. Dose-dependent antinociception is found by systemic administration of Ginsenoside Rf in mice using two separate assays of tonic pain: in the acetic acid abdominal constriction test, the ED50 is 56±9 mg/kg, a concentration similar to those reported for aspirin and acetaminophen in the same assay; in the tonic phase of the biphasic formalin test, the ED50 is 129±32 mg/kg[2].
注意事项:
抗逆滴加序列
每次向板内滴加抗原时,移液器滴头要与平面45度悬空,不要触碰到孔内的液体,由后向前依次滴加(即浓度由低往高滴加)。
抗感染反应期
抗原抗体在室温20~25℃下,必须反应30min以上,若环境温度低于室温,可将微量反应板置于恒温培养箱中,使二者充分反应。
旅游温度
磷酸盐缓冲液的pH值要在高压灭菌后进行滴定,往往在高压后pH值会有所改变,所以高压后再调一次pH值更为准确。磷酸盐缓冲液一经使用保存期不要超过3周。当pH<5.8时,红细胞会产生自凝现象;当pH>7.8时,图形洗脱加快,易造成肉眼观察产生误差;p H=7.2时,红细胞沉降最充分,图形最清晰。
当滴注 1%红细胞悬液时,应经常摇晃红细胞悬液,使红细胞均匀地分布在磷酸缓冲液中,以防止红细胞下降。
反应时间及温度
加入鸡红血球之后,反应板在室温(20~25℃)静置30~40min,对照孔血球下沉于孔底,即可判定结果。若室温达不到实验要求,需相应调整反应时间。当环境温度低于4℃时,红细胞发生自凝;高于37℃时,会发生反应物分离和红细胞溶血。
公司正在出售的产品:
1.本蛋白酶抑制剂混合物为100×的储存液,使用时按照1:100的比例加入到裂解液中(例如,1ml裂解液中加入10μl蛋白酶抑制剂混合物),混匀后即可使用。根据需要,0.5M的EDTA也按照1:100的比例加入到裂解液中(如用于检测金属蛋白酶活性,则不宜添加EDTA)。含有蛋白酶抑制剂混合物的裂解液宜现用现配,不宜配制后冻存待后续使用。
2. 待所需的抑制剂添加完毕混匀后,就可以开始进行哺乳动物组织的裂解和蛋白提取。
商品属性:
| 货号 | CS-01Y74038 | 规格 | 20mg |
| CAS号 | 52286-58-5 | 分子量 | 801.01 |
| 含量 | >98.00% | 别名 | |
| 分子式 | C42H72O14 | 化学名 | |
| 产地 | 国产 | 用途 | 仅供科研研究实验 |
分子式:C42H72O14

分子量:801.01
溶解度:≥ 46.2mg/mL in EtOH
储存条件:
General tips:For obtaining a higher solubility , please warm the tube at 37 ℃ and shake it in the ultrasonic bath for a while.
Shipping Condition:Evaluation sample solution : ship with blue ice All other available size: ship with RT , or blue ice upon request
Ginsenoside Rf is a trace component of ginseng root. Ginsenoside Rf inhibits N-type Ca2+ channel.Ginsenoside Rf is a saponin, which is present in only trace amounts within ginseng. At saturating concentrations, Ginsenoside Rf rapidly and reversibly inhibits N-type, and other high-threshold, Ca2+ channels in rat sensory neurons to the same degree as a maximal dose of opioids. The effect is dose-dependent (half-maximal inhibition: 40 μM) and it is virtually eliminated by pretreatment of the neurons with pertussis toxin, an inhibitor of G(o) and Gi GTP-binding proteins. Ginsenoside Rf also inhibits Ca2+ channels in the hybrid F-11 cell line[1].Since inhibition of Ca2+ channels in sensory neurons contributes to antinociception by opioids, analgesic actions of Ginsenoside Rf are tested. Dose-dependent antinociception is found by systemic administration of Ginsenoside Rf in mice using two separate assays of tonic pain: in the acetic acid abdominal constriction test, the ED50 is 56±9 mg/kg, a concentration similar to those reported for aspirin and acetaminophen in the same assay; in the tonic phase of the biphasic formalin test, the ED50 is 129±32 mg/kg[2].
注意事项:
抗逆滴加序列
每次向板内滴加抗原时,移液器滴头要与平面45度悬空,不要触碰到孔内的液体,由后向前依次滴加(即浓度由低往高滴加)。
抗感染反应期
抗原抗体在室温20~25℃下,必须反应30min以上,若环境温度低于室温,可将微量反应板置于恒温培养箱中,使二者充分反应。
旅游温度
磷酸盐缓冲液的pH值要在高压灭菌后进行滴定,往往在高压后pH值会有所改变,所以高压后再调一次pH值更为准确。磷酸盐缓冲液一经使用保存期不要超过3周。当pH<5.8时,红细胞会产生自凝现象;当pH>7.8时,图形洗脱加快,易造成肉眼观察产生误差;p H=7.2时,红细胞沉降最充分,图形最清晰。
当滴注 1%红细胞悬液时,应经常摇晃红细胞悬液,使红细胞均匀地分布在磷酸缓冲液中,以防止红细胞下降。
反应时间及温度
加入鸡红血球之后,反应板在室温(20~25℃)静置30~40min,对照孔血球下沉于孔底,即可判定结果。若室温达不到实验要求,需相应调整反应时间。当环境温度低于4℃时,红细胞发生自凝;高于37℃时,会发生反应物分离和红细胞溶血。
公司正在出售的产品:
| Recombnant Human DHFR, N-H | PCDHB16 Antibody Blocking Peptide |
| Recombinant Human LASP1 | Recombinant Human ITIH3 protein ,C- His Tag |
| ApoA1 Antibody Blocking Peptide | Recombinant Human CSN2, N-His |
| RCAN1 Antibody Blocking Peptide | Recombinant Human CCL4 protein |
| TBX6 Antibody Blocking Peptide | Recombinant Human PLAC9 protein |
| FMO4 Antibody Blocking Peptide | Recombinant Human HLA-DRB1, N-His |
| PYROXD2 Antibody Blocking Peptide | Recombinant Human IL22RA1, N-His |
| SERPINF1 Antibody Blocking Peptide | MA40蛋白封闭多肽 |
| IGFBP3 Antibody Blocking Peptide | Recombinant Human AGK protein |
| CTSC Antibody Blocking Peptide | Recombinant Human NR1H3 protein |
| RACK1 Antibody Blocking Peptide | Recombinant Human APOD protein |
| ASIC1 Antibody Blocking Peptide | Recombinant Influenza A HA protein,C-His Tag |
| CK7 Antibody Blocking Peptide | Ginsenoside RfRecombinant Human SCUBE3, N-His |
| AAK1 Antibody Blocking Peptide | Recombinant Mouse Tesmin protein ,N-His Tag |
| DIABLO Antibody Blocking Peptide | Recombinant Human RARA protein |
风险提示:丁香通仅作为第三方平台,为商家信息发布提供平台空间。用户咨询产品时请注意保护个人信息及财产安全,合理判断,谨慎选购商品,商家和用户对交易行为负责。对于医疗器械类产品,请先查证核实企业经营资质和医疗器械产品注册证情况。
技术资料暂无技术资料 索取技术资料
Ginsenoside Rf
¥600 - 3200








