万千商家帮你免费找货
0 人在求购买到急需产品
- 详细信息
- 文献和实验
- 技术资料
- 库存:
31
- 英文名:
TFB-TBOA (hydrate)
- 供应商:
上海莼试
- 保存条件:
Store at -20°C
- 规格:
1 mg 5 mg 10 mg
| 产品名称 | TFB-TBOA (hydrate) | 产品货号 | CS-01Y75217 |
| 规格 | 1 mg 5 mg 10 mg | CAS号 | N/A |
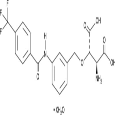
| 含量 | >98.00% | 分子式 | C19H17F3N2O6.XH2O |
| 分子量 | 426.3 | 用途 | 仅供科研研究使用 |

TFB-TBOA (hydrate)规格:1 mg 5 mg 10 mg
CAS:N/A
别名:N/A
化学名:N/A
分子式:C19H17F3N2O6.XH2O

分子量:426.3
溶解度:DMSO: 30 mg/ml
储存条件:Store at -20°C
General tips:For obtaining a higher solubility , please warm the tube at 37 ℃ and shake it in the ultrasonic bath for a while.
Shipping Condition: Evaluation sample solution : ship with blue ice All other available size: ship with RT , or blue ice upon request
产品描述:

TFB-TBOA is an inhibitor of excitatory amino acid transporter 1 (EAAT1) and EAAT2 with IC50 values of 22 and 17 nM for EAAT1 and EAAT2, respectively, in a glutamate uptake assay using COS-1 cells.1 It is selective for EAAT1 and EAAT2 over EAAT3 (IC50 = 300 nM), as well as the choline, dopamine, GABA, norepinephrine, and serotonin transporters and a variety of neurotransmitter receptors at 10 μM. TFB-TBOA (10 μM) inhibits L-glutamate- and L-aspartate-induced currents in X. laevis oocytes. It induces convulsions in mice when administered at a dose of 0.2 μg/animal.1.Shimamoto, K., Sakai, R., Takaoka, K., et al.Characterization of novel L-threo-β-benzyloxyaspartate derivatives, potent blockers of the glutamate transportersMol. Pharmacol.65(4)1008-1015(2004)
使用方法:

1. 常用筛选浓度
注意:用来筛选稳转株的工作浓度需要根据细胞类型,培养基,生长条件和细胞代谢率而变化,推荐使用浓度为50-1000μg/mL。对于第一次使用的实验体系建议通过建立杀灭曲线(kill curve),即剂量反应性曲线,来确定最佳筛选浓度。
一般而言,哺乳动物细胞50-500μg/mL;细菌/植物细胞20-200μg/mL;真菌300-1000μg/mL。
2. 杀灭曲线的建立
注意:为了筛选得到稳定表达目的蛋白的细胞株,需要确定能够杀死未转染宿主细胞的抗生素浓度,可通过建立杀灭曲线(剂量反应曲线)来实现,至少选择5个浓度。
1) 第一天:未转化的细胞按照20-25%的细胞密度铺在合适的培养板上,37℃,CO2培养过夜;注:对于需要更高密度来检测活力的细胞,可增加接种量。
2) 根据细胞类型,设定合适范围内的浓度梯度。以哺乳动物细胞为例,可设定50,100,250,500,750,1000μg/mL。先用去离子水或者PBS buffer按照1:10的比例将母液稀释到5 mg/ml,然后按照下表稀释到相应浓度的工作液。
3) 第二天:替换旧的培养基,换用新鲜配制的含有相应浓度药物的培养基。每个浓度做三个平行孔。
4) 接下来每3-4天更换新的含药物培养基。
5) 按照固定的周期(如每2天)进行活细胞计数来确定阻止未转染细胞生长的恰当浓度。选择在理想的天数(通常是7-10天)内能够杀死绝大多数细胞的浓度为稳定转染细胞筛选用的工作浓度。
3. 稳定转染细胞的筛选
1) 转染48h后,用含有适当浓度的潮霉素B筛选培养基来传代细胞(直接传代或者稀释后传代)。
注意:细胞处于活跃分裂状态时抗生素的杀伤。则当细胞过于稠密,其效率会降低。为了得到较好的筛选效果,最好将细胞稀释至丰度不超过25%
2) 每隔3-4天更换含有药物的筛选培养液。
3) 筛选7天后观察并评估细胞克隆(集落)的形成情况。集落的形成可能还需要一周或者更多的时间,这取决于宿主细胞类型,转染,以及筛选效果。
4) 挑取并转移5-10个抗性克隆于35mm细胞培养板,继续用含药物的筛选培养液维持培养7天。
5) 之后更换正常培养基培养即可。
公司正在出售的产品:

| Recombnant Human KL, N-H | PAA Antibody Blocking Peptide |
| Recombinant Human HLA F | Recombinant Human TMX2, N-His |
| Streptavidin / Cy5 | Recombinant Human ANGPTL8, N-His |
| NBPF16 Antibody Blocking Peptide | Recombinant Human TUBB1, N-His |
| MAGEB10 Antibody Blocking Peptide | Recombinant Human LAT2, N-His |
| phospho-CK II beta(Ser209) Antibody Blocking Peptide | Recombinant Human GPA33, N-His |
| TRPC1 Antibody Blocking Peptide | Recombinant Porcine parvo Capsid protein VP2 protein,N-His Tag |
| Histone H1.4 (tri methyl K25, phospho S26) Antibody Blocking Peptide | K67蛋白封闭多肽 |
| TPSB2 Antibody Blocking Peptide | Recombinant Human Fas/TNFRSF6/CD95 protein ,C- His Tag |
| GFM2 Antibody Blocking Peptide | Recombinant Human PRL, N-His |
| ETS2 Antibody Blocking Peptide | Recombinant Human GOT1 protein |
| PLEKHG4 Antibody Blocking Peptide | Recombinant Human CD218a/IL18R1, N-His |
| CYP3A43 Antibody Blocking Peptide | TFB-TBOA (hydrate)Recombinant Zebrafish igfbp7 protein , N-His tag |
| GNRHR2 Antibody Blocking Peptide | Recombinant Human Resistin/RETN protein ,C- His Tag |
| GRIK2 Antibody Blocking Peptide | Recombinant Human OIT3, N-His |
蛋白酶抑制剂混合物实验步骤:

(1)实验开始前将RNA提取液于65℃水浴锅中预热,离心管中加入ME(巯基乙醇),(10mL加80ul,50mL中加入300ul)
(2)取约0.8g菌丝体(液体培养获得的菌丝用真空抽滤即可!固体培养就更好说了),在液氮中迅速磨成精细粉末,装入50mL离心管,按1g材料8mL的量加入预热的RNA提取液,颠倒混匀
(3)65℃水浴3-10 min,期间混匀2-3次
(4)加入等体积的酚(注意是酸酚pH4.5)::yi戊醇(25:24:1)抽提(10,000rpm,4℃,5 min)
(5)取上清,等体积的yi戊醇(24:1)抽提(10,000rpm,4℃,5 min)
(6)加入1/4V体积10M LiCl溶液,4℃放置6h以上(或过夜)
(7)10,000rpm,4℃离心20min
(8)弃上清,用500ul SSTE溶解沉淀
(9)酚::yi戊醇(25:24:1)抽提两次,:yi戊醇(24:1)抽提1次(10,000rpm,4℃,5min)
(10)加2V体积的无水乙醇,在-70℃冰箱沉淀30min以上
(11)12,000rpm,4℃离心20 min
(12)弃上清.沉淀用70%酒精漂洗一次,干燥
(13)加200ul的DEPC处理水溶解
(14)用非变性琼脂糖凝胶电泳和紫外分光光度计扫描检测RNA的质量(在抽提过程中,若蛋白质含量或其它的杂质还较多,可以增加抽提次数)
风险提示:丁香通仅作为第三方平台,为商家信息发布提供平台空间。用户咨询产品时请注意保护个人信息及财产安全,合理判断,谨慎选购商品,商家和用户对交易行为负责。对于医疗器械类产品,请先查证核实企业经营资质和医疗器械产品注册证情况。
文献和实验一、材料与试剂 1. SOBor2xYT2. MES3. 足够80个管子的TFB(50 mL)/400转化DMSO4. 5 M NaCl 二、仪器 1. 离心机 三、步骤 1. 室温下在5 ml SOB或2×YT中接种菌并且培养过夜。2. 加过夜培养的菌到500 ml 的SOB或2×YT,其装在4L瓶中以最大限度的透气。加入36 ml 5 M 的NaCl,在30℃下培养。3. 大约3 h,OD600达到0.5。4. 离心细胞。取沉淀,吸取
一、目的与原理当细菌处于容易吸收外源DNA的状态时,即为感受态,而用理化手段使细菌处于感受态的操作为致敏过程。感受态细胞制备是重组基因能否实现转化的一个重要的技术环节。本试验是通过钙离子来诱导使之成为感受态细胞。二、材料和方法1. 材料:大肠杆菌2. 仪器:离心机,恒温摇床,恒温水浴,超净工作台,冰柜3. 试剂LB培养基,0.1M MgCl2,3mM氯化六氮合高钴TFB:10Mm MES(pH6.3)45Mm MnCl210Mm CaCl210Mm KCl三、操作步骤大肠杆菌在LB培养基平板
3. 试剂 LB培养基,0.1M MgCl2,3mM氯化六氮合高钴 TFB:10Mm MES(pH6.3) 45Mm MnCl2 10Mm CaCl2 10Mm KCl 三、操作步骤 大肠杆菌在LB培养基平板上划线培养12-16小时,挑取单菌落于LB培养基摇瓶培养大肠杆菌到对数期。取1ml培养物7000rpm,离心3min,收集菌体。再重复一次。冰浴放置。用预冷的氯化镁悬浮菌体7000rpm离心3min。收集
技术资料暂无技术资料 索取技术资料









