相关产品推荐更多 >
万千商家帮你免费找货
0 人在求购买到急需产品
- 详细信息
- 文献和实验
- 技术资料
- 库存:
27
- 英文名:
SA 47
- CAS号:
792236-07-8
- 供应商:
上海莼试
- 保存条件:
Store at -20°C
- 规格:
10mg 50mg
| 货号 | CS-01Y68864 | 规格 | 10mg 50mg |
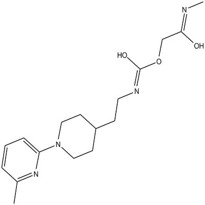
| CAS号 | 792236-07-8 | 分子量 | 334.41 |
| 含量 | >98.00% | 别名 | |
| 分子式 | C17H26N4O3 | 化学名 | (Z)-2-((E)-hydroxy((2-(1-(6-methylpyridin-2-yl)piperidin-4-yl)ethyl)imino)methoxy)-N-methylacetimidic acid |
| 产地 | 国产 | 用途 | 仅供科研研究实验 |
分子式:C17H26N4O3

分子量:334.41
溶解度:<33.44mg/ml in DMSO; <16.72mg/ml in 1eq. HCl
储存条件:Store at -20°C
General tips:For obtaining a higher solubility , please warm the tube at 37 ℃ and shake it in the ultrasonic bath for a while.
Shipping Condition:Evaluation sample solution : ship with blue ice All other available size: ship with RT , or blue ice upon request
SA 47 is a selective and potent inhibitor of fatty acid amide hydrolase (FAAH) and carbamate[1].
注意事项:
抗逆滴加序列
每次向板内滴加抗原时,移液器滴头要与平面45度悬空,不要触碰到孔内的液体,由后向前依次滴加(即浓度由低往高滴加)。
抗感染反应期
抗原抗体在室温20~25℃下,必须反应30min以上,若环境温度低于室温,可将微量反应板置于恒温培养箱中,使二者充分反应。
旅游温度
磷酸盐缓冲液的pH值要在高压灭菌后进行滴定,往往在高压后pH值会有所改变,所以高压后再调一次pH值更为准确。磷酸盐缓冲液一经使用保存期不要超过3周。当pH<5.8时,红细胞会产生自凝现象;当pH>7.8时,图形洗脱加快,易造成肉眼观察产生误差;p H=7.2时,红细胞沉降最充分,图形最清晰。
当滴注 1%红细胞悬液时,应经常摇晃红细胞悬液,使红细胞均匀地分布在磷酸缓冲液中,以防止红细胞下降。
反应时间及温度
加入鸡红血球之后,反应板在室温(20~25℃)静置30~40min,对照孔血球下沉于孔底,即可判定结果。若室温达不到实验要求,需相应调整反应时间。当环境温度低于4℃时,红细胞发生自凝;高于37℃时,会发生反应物分离和红细胞溶血。
使用方法:
1.本蛋白酶抑制剂混合物为100×的储存液,使用时按照1:100的比例加入到裂解液中(例如,1ml裂解液中加入10μl蛋白酶抑制剂混合物),混匀后即可使用。根据需要,0.5M的EDTA也按照1:100的比例加入到裂解液中(如用于检测金属蛋白酶活性,则不宜添加EDTA)。含有蛋白酶抑制剂混合物的裂解液宜现用现配,不宜配制后冻存待后续使用。
2. 待所需的抑制剂添加完毕混匀后,就可以开始进行哺乳动物组织的裂解和蛋白提取。
公司正在出售的产品:
| Recombnant Human L8/CXCL8, C-H | PTCH1 Antbody Blockng Peptde |
| Bm Antbody Blockng Peptde | 谷氨酰胺果糖-6-磷酸转氨酶1(GFPT1)重组蛋白 |
| Recombnant AR-Cov-2 pke RBD proten, H | 二肽基肽酶3(D3)重组蛋白 |
| CHM Antbody Blockng Peptde | 胞浆-5',3'-核苷酸酶(NT5C)重组蛋白 |
| Defb2 Antbody Blockng Peptde | 二肽基肽酶3(D3)重组蛋白 |
| CLDN10 Antbody Blockng Peptde | 线粒体-5'-核苷酸酶(NT5M)重组蛋白 |
| FMDV 3A Antbody Blockng Peptde | 线粒体-5'-核苷酸酶(NT5M)重组蛋白 |
| Jagged 2 Antbody Blockng Peptde | 锌指蛋白670封闭多肽 |
| Arg-vaopren Antbody Blockng Peptde | 酪氨酸转氨酶(TAT)重组蛋白 |
| C3orf36 Antbody Blockng Peptde | 酪氨酸转氨酶(TAT)重组蛋白 |
| NDUFA4L2 Antbody Blockng Peptde | 支链转氨酶1(BCAT1)重组蛋白 |
| ERPN1 Antbody Blockng Peptde | 磷脂爬行酶4(PLCR4)重组蛋白 |
| UBOX5/RNF37 Antbody Blockng Peptde | SA 47磷脂爬行酶3(PLCR3)重组蛋白 |
| GFOD2 Antbody Blockng Peptde | Ⅻ组磷脂酶A2(PLA2G12)重组蛋白 |
| Ⅲ组磷脂酶A2(PLA2G3)重组蛋白 | Ⅻ组磷脂酶A2(PLA2G12)重组蛋白 |
风险提示:丁香通仅作为第三方平台,为商家信息发布提供平台空间。用户咨询产品时请注意保护个人信息及财产安全,合理判断,谨慎选购商品,商家和用户对交易行为负责。对于医疗器械类产品,请先查证核实企业经营资质和医疗器械产品注册证情况。
文献和实验CD47/CD47R 分子 CD47 常用单克隆抗体或代号: BRIC126,CIKM1 主要表达细胞: 广泛 [AS] 分子质量(kDa)和结构: gp47,N连接葡萄糖 功 能: 粘附分子相关信号分子 CD47R 常用单克隆抗体或代号:(为原CDw149)MEM―33 主要表达细胞:广泛[NL] CD47 Aka integrin associated protein (IAP
MM-GB/SA Rescoring of Docking Poses
binding modes, but struggle when predicting the corresponding binding affinities. The rescoring of docking poses using the MM-GB/SA technique has emerged as an important computational approach in structure-based lead optimization as it provides
1.政府层次采取的措施 政府方面的对策包括:制定出口可持续发展战略,加快建立可持续发展评估指标体系;建立统一规范的产品认证认可体系;建立SA8000的预警机制,以负责收集、跟踪国外的SA8000的相关措施,建立SA8000信息中心和数据库,研究SA8000对我国主要出口产品的影响,采取积极的应对措施,创造良好的出口环境;发挥行业协会、进出口商会等中介组织的作用;加强对SA8000知识的研究、宣传、培训和普及工作。同时将企业社会责任运动在中国的实施纳入劳动法制轨道,不论对于提高企业国际
技术资料暂无技术资料 索取技术资料









