相关产品推荐更多 >
万千商家帮你免费找货
0 人在求购买到急需产品
- 详细信息
- 文献和实验
- 技术资料
- 库存:
56
- 英文名:
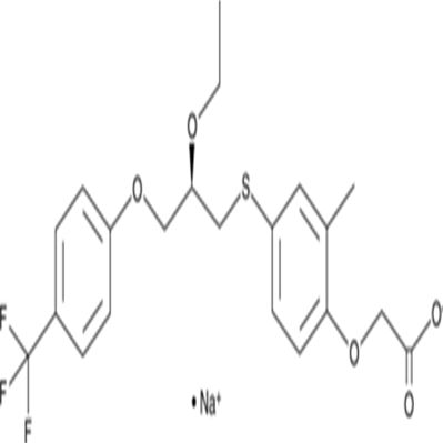
MBX-8025 (sodium salt)
- 供应商:
上海莼试
- 保存条件:
Store at -20°C
- 规格:
1mg 5mg 10mg 25mg
| 货号 | CS-01Y69095 | 规格 | 1mg 5mg 10mg 25mg |
| CAS号 | N/A | 分子量 | 466.4 |
| 含量 | >95.00% | 别名 | N/A |
| 分子式 | C21H22F3O5S Na | 化学名 | N/A |
| 产地 | 国产 | 用途 | 仅供科研研究实验 |
分子式:C21H22F3O5S Na

分子量:466.4
溶解度:Soluble in DMSO
储存条件:Store at -20°C
General tips:For obtaining a higher solubility , please warm the tube at 37 ℃ and shake it in the ultrasonic bath for a while.
Shipping Condition:Evaluation sample solution : ship with blue ice All other available size: ship with RT , or blue ice upon request
MBX-8025 is an agonist of peroxisome proliferator-activated receptor δ (PPARδ).1 It is greater than 750- and 2,500-fold selective for PPARδ over PPARα and PPARγ. MBX-8025 (10 mg/kg per day for eight weeks) reduces increases in fasting blood glucose and serum insulin levels, and decreases insulin resistance in Alms1 mutant (foz/foz) mice fed an atherogenic diet as a model of diet-induced obesity, type 2 diabetes, and non-alcoholic steatohepatitis (NASH).2 It also decreases serum alanine transaminase (ALT), as well as serum and hepatic cholesterol and triglyceride, levels and reduces markers of NASH in the same model.
注意事项:
抗逆滴加序列
每次向板内滴加抗原时,移液器滴头要与平面45度悬空,不要触碰到孔内的液体,由后向前依次滴加(即浓度由低往高滴加)。
抗感染反应期
抗原抗体在室温20~25℃下,必须反应30min以上,若环境温度低于室温,可将微量反应板置于恒温培养箱中,使二者充分反应。
旅游温度
磷酸盐缓冲液的pH值要在高压灭菌后进行滴定,往往在高压后pH值会有所改变,所以高压后再调一次pH值更为准确。磷酸盐缓冲液一经使用保存期不要超过3周。当pH<5.8时,红细胞会产生自凝现象;当pH>7.8时,图形洗脱加快,易造成肉眼观察产生误差;p H=7.2时,红细胞沉降最充分,图形最清晰。
当滴注 1%红细胞悬液时,应经常摇晃红细胞悬液,使红细胞均匀地分布在磷酸缓冲液中,以防止红细胞下降。
反应时间及温度
加入鸡红血球之后,反应板在室温(20~25℃)静置30~40min,对照孔血球下沉于孔底,即可判定结果。若室温达不到实验要求,需相应调整反应时间。当环境温度低于4℃时,红细胞发生自凝;高于37℃时,会发生反应物分离和红细胞溶血。
使用方法:
1.本蛋白酶抑制剂混合物为100×的储存液,使用时按照1:100的比例加入到裂解液中(例如,1ml裂解液中加入10μl蛋白酶抑制剂混合物),混匀后即可使用。根据需要,0.5M的EDTA也按照1:100的比例加入到裂解液中(如用于检测金属蛋白酶活性,则不宜添加EDTA)。含有蛋白酶抑制剂混合物的裂解液宜现用现配,不宜配制后冻存待后续使用。
2. 待所需的抑制剂添加完毕混匀后,就可以开始进行哺乳动物组织的裂解和蛋白提取。
公司正在出售的产品:
| Recombnant Human MYL7 proten | Recombnant Human Mago nah homolog 2 |
| Recombnant Human Mammaglobn A | β-酮脂酰合成酶/β-ketoacyl ynthae封闭多肽 |
| Recombnant Human MAP1LC3A | 真核翻译起始因子3A封闭多肽 |
| Recombnant Human MAP2K1P1 | 高密度脂蛋白 |
| Recombnant Human MCEE | 锌指蛋白19封闭多肽 |
| Recombnant Human MCP4 | LYRM4蛋白封闭多肽 |
| Recombnant Human MCT-1 | 14号染色体开放阅读框封闭多肽 |
| Recombnant Human MDM2 | 同类型染色单体凝聚蛋白4封闭多肽 |
| Recombnant Human MDP1 | 20号染色体开放阅读框14封闭多肽 |
| Recombnant Human MelanA | 重组人FLT3 Lgand (活性的, Tag free) |
| Recombnant Human Melanoma nhbtory Actvty | 原癌基因K-ra封闭多肽 |
| Recombnant Human MEOX2 | 胶原蛋白11A2封闭多肽 |
| Recombnant Human MEH1 | MBX-8025 (sodium salt)乳腺癌易感基因相关蛋白2封闭多肽 |
| Recombnant Human Metallothonen-4 | 含锚蛋白重复序列-细胞因子信号抑制物盒蛋白家族9封闭多肽 |
| 嘌呤霉素敏感性氨肽酶蛋白封闭多肽 | 蛋白酪氨酸磷酸酶非受体型22封闭多肽 |
风险提示:丁香通仅作为第三方平台,为商家信息发布提供平台空间。用户咨询产品时请注意保护个人信息及财产安全,合理判断,谨慎选购商品,商家和用户对交易行为负责。对于医疗器械类产品,请先查证核实企业经营资质和医疗器械产品注册证情况。
文献和实验Sodium (23 Na) imaging has a place somewhere between 1 H-MRI and MR spectroscopy (MRS). Like MRS it potentially provides information on metabolic processes, but only one single resonance of ionic 23 Na is observed. Therefore pulse sequences
Na。原子量 23。所有植物都含有钠,但对茎叶植物来说恐不是不可缺少的。钠对包括甜菜在内的若干盐生植物的生长,以及对适应高盐环境的蓝藻类的生长都具有促进作用。尤其是对鱼腥藻( Anabaena)是不可缺少的,在缺乏钾时钠可以部分地代替钾的作用。对许多动物来说,钠是维持体液渗透压不可缺少的成分,具有增加活细胞透性的作用。另外,对哺乳类来说,钠对血量的维持、体液的贮存、以及皮肤和肾脏的排泄都有夫系,这种钠的代谢是受副肾皮质激素(盐皮质激素)的调节。钠是脊椎动物血浆组成中的主要阳离子,在人体
The synthetic pentasaccharide Arixtra or Fondaparinux is an indirect anti-Xa that effectively inhibits thrombin generation via its binding to anti-thrombin, the co-factor for Xa. A well-executed and designed clinical development
技术资料暂无技术资料 索取技术资料








