万千商家帮你免费找货
0 人在求购买到急需产品
- 详细信息
- 文献和实验
- 技术资料
- 库存:
60
- 英文名:
Umeclidinium bromide
- CAS号:
869113-09-7
- 供应商:
上海莼试
- 保存条件:
Store at -20°C
- 规格:
5mg 10mg 50mg 100mg
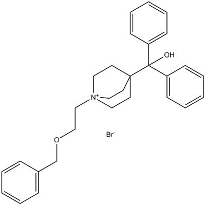
分子式:C29H34BrNO2
分子量:508.49
溶解度:DMF: 10 mg/ml,DMSO: 15 mg/ml,DMSO:PBS(pH 7.2) (1:3): 0.25 mg/ml,Ethanol: 0.14 mg/ml,PBS (pH 7.2): Inosluble
储存条件:Store at -20°C
General tips:For obtaining a higher solubility , please warm the tube at 37 ℃ and shake it in the ultrasonic bath for a while.
Shipping Condition:Evaluation sample solution : ship with blue ice All other available size: ship with RT , or blue ice upon request
Umeclidinium bromide is a potent and long-acting antagonist of muscarinic cholinergic receptor (mAChR) with Ki values of 0.16nM, 0.15nM, 0.06nM, 0.05nM and 0.13nM for M1, M2, M3, M4 and M5, respectively [1].Umeclidinium bromide is developed for the treatment of chronic obstructive pulmonary disease (COPD). It can help patients of COPD achieve sufficient oxygenation of extrapulmonary tissues through dilating the airways. In the in vitro assay, umeclidinium binds to recombinant human mAChRs with Ki value of 0.16nM, 0.15nM, 0.06nM, 0.05nM and 0.13nM for M1-M5, respectively. Umeclidinium is selective against mAChR over other unrelated receptors or channels such as κ and σ opiod receptors, Na+ channel and dopamine transporter. In CHO cells transfected with human recombinant mAChRs, umeclidinium affects the calcium flux responsed to Ach with pA2 values of 9.6-10.6 for M1-M3. In a murine model, administration of umeclidinium can reverse the bronchoconstriction caused by Ach [1].
商品属性:
| 货号 | CS-01Y77397 | 规格 | 5mg 10mg 50mg 100mg |
| CAS号 | 869113-09-7 | 分子量 | 508.49 |
| 含量 | >99.50% | 别名 | GSK573719A;GSK-573719A;GSK 573719A |
| 分子式 | C29H34BrNO2 | 化学名 | diphenyl-[1-(2-phenylmethoxyethyl)-1-azoniabicyclo[2.2.2]octan-4-yl]methanol;bromide |
| 产地 | 国产 | 用途 | 仅供科研研究实验 |
抗逆滴加序列
每次向板内滴加抗原时,移液器滴头要与平面45度悬空,不要触碰到孔内的液体,由后向前依次滴加(即浓度由低往高滴加)。
抗感染反应期
抗原抗体在室温20~25℃下,必须反应30min以上,若环境温度低于室温,可将微量反应板置于恒温培养箱中,使二者充分反应。
旅游温度
磷酸盐缓冲液的pH值要在高压灭菌后进行滴定,往往在高压后pH值会有所改变,所以高压后再调一次pH值更为准确。磷酸盐缓冲液一经使用保存期不要超过3周。当pH<5.8时,红细胞会产生自凝现象;当pH>7.8时,图形洗脱加快,易造成肉眼观察产生误差;p H=7.2时,红细胞沉降最充分,图形最清晰。
当滴注 1%红细胞悬液时,应经常摇晃红细胞悬液,使红细胞均匀地分布在磷酸缓冲液中,以防止红细胞下降。
反应时间及温度
加入鸡红血球之后,反应板在室温(20~25℃)静置30~40min,对照孔血球下沉于孔底,即可判定结果。若室温达不到实验要求,需相应调整反应时间。当环境温度低于4℃时,红细胞发生自凝;高于37℃时,会发生反应物分离和红细胞溶血。
公司正在出售的产品:
| 1-Oleoyl-3-palmitoyl-rac-glycero-2-phosphoethanolamine | H-Ser(tBu)-OBzl.HCl |
| H-D-Ser-OMe.HCl | 甲状旁腺激素1-34(PTH 1-34)检测试剂盒 |
| Allo-Thr-OH | 甲状旁腺激素(PTH)检测试剂盒 |
| Fmoc-Cys(Bzl)-OH | 甲酰甲硫氨酸(fMet)检测试剂盒 |
| TBTU | 甲种胎儿球蛋白/甲胎蛋白(AFP)检测试剂盒 |
| Fmoc-D-Cys(Trt)-OPfp | 甲肟前列腺素D2(PGD2-MOX)检测试剂盒 |
| Ac-Leu-OH | 甲胎蛋白异质L3(AFP-L3)检测试剂盒 |
| Cl-HOBt | Rat Alternative macrophage activation-associated CC chemokine 1, AMAC-1 Elisa Kit |
| Fmoc-Asn-OH | 甲状旁腺激素1受(PTH1R)检测试剂盒 |
| H-D-Phe(4-Me)-OH | 甲状旁腺激素相关蛋白(PTHrP)检测试剂盒 |
| Boc-N-Me-Tyr-OH.DCHA | 甲状旁腺激素样蛋白(PLP)检测试剂盒 |
| H-Nva-OH | 甲状腺刺激免疫球蛋白(TSI)检测试剂盒 |
| H-Tyr(Bzl)-Ome | Umeclidinium bromide甲状腺非肽激素抗(THAA)检测试剂盒 |
| Tebanicline hydrochloride | 甲状腺过氧化物酶(TPO)检测试剂盒 |
| 甲状腺抗(TAb)检测试剂盒 | 甲状腺激素受β(THRb)检测试剂盒 |
1.本蛋白酶抑制剂混合物为100×的储存液,使用时按照1:100的比例加入到裂解液中(例如,1ml裂解液中加入10μl蛋白酶抑制剂混合物),混匀后即可使用。根据需要,0.5M的EDTA也按照1:100的比例加入到裂解液中(如用于检测金属蛋白酶活性,则不宜添加EDTA)。含有蛋白酶抑制剂混合物的裂解液宜现用现配,不宜配制后冻存待后续使用。
2. 待所需的抑制剂添加完毕混匀后,就可以开始进行哺乳动物组织的裂解和蛋白提取。
风险提示:丁香通仅作为第三方平台,为商家信息发布提供平台空间。用户咨询产品时请注意保护个人信息及财产安全,合理判断,谨慎选购商品,商家和用户对交易行为负责。对于医疗器械类产品,请先查证核实企业经营资质和医疗器械产品注册证情况。
文献和实验Introduction Ethidium bromide (EtBr), 3,8-diamino-5-ethyl-6-phenylphenanthridinium bromide, is commonly used as a non-radioactive marker for identifying and visualizing nucleic acid bands in electrophoresis and other methods
Ethidium Bromide Decontamination
N.B.: Ethidium bromide is a powerful mutagen. Protective gloves should be worn at all times when handling solutions containing ethidium bromide. Decontamination of solutions > 0.5mg/ml This method reduces the mutagenic activity
Caution: EtBr is a powerful mutagen and is moderately toxic. Wear gloves when working. When EtBr conc. is >0.5 mg/ml: 1.Add sufficient water to reduce the concentration of EtBr to 2.Add 1 volume of 0.5 M KMnO4. Mix, add 1 volume of 2.5 N HCl
技术资料暂无技术资料 索取技术资料








