相关产品推荐更多 >
万千商家帮你免费找货
0 人在求购买到急需产品
- 详细信息
- 文献和实验
- 技术资料
- 库存:
37
- 英文名:
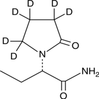
Levetiracetam-d6
- CAS号:
1133229-30-7
- 供应商:
上海莼试
- 保存条件:
Store at -20°C
- 规格:
500μg 1mg
| 货号 | CS-01Y76790 | 规格 | 500μg 1mg |
| CAS号 | 1133229-30-7 | 分子量 | 176.2 |
| 含量 | >99.00% | 别名 | N/A |
| 分子式 | C8H8D6N2O2 | 化学名 | N/A |
| 产地 | 国产 | 用途 | 仅供科研研究实验 |
分子式:C8H8D6N2O2
分子量:176.2
溶解度: slightly soluble, sonicated,Chloroform: slightly soluble
储存条件:Store at -20°C
General tips:For obtaining a higher solubility , please warm the tube at 37 ℃ and shake it in the ultrasonic bath for a while.
Shipping Condition:Evaluation sample solution : ship with blue ice All other available size: ship with RT , or blue ice upon request
Levetiracetam-d6 is intended for use as an internal standard for the quantification of levetiracetam by GC- or LC-MS. Levetiracetam is an antiepileptic agent that binds to the synaptic vesicle protein SV2A (IC50 = 1.99 μM). In vivo, levetiracetam suppresses seizures in fully kindled rats.
注意事项:
抗逆滴加序列
每次向板内滴加抗原时,移液器滴头要与平面45度悬空,不要触碰到孔内的液体,由后向前依次滴加(即浓度由低往高滴加)。
抗感染反应期
抗原抗体在室温20~25℃下,必须反应30min以上,若环境温度低于室温,可将微量反应板置于恒温培养箱中,使二者充分反应。
旅游温度
磷酸盐缓冲液的pH值要在高压灭菌后进行滴定,往往在高压后pH值会有所改变,所以高压后再调一次pH值更为准确。磷酸盐缓冲液一经使用保存期不要超过3周。当pH<5.8时,红细胞会产生自凝现象;当pH>7.8时,图形洗脱加快,易造成肉眼观察产生误差;p H=7.2时,红细胞沉降最充分,图形最清晰。
当滴注 1%红细胞悬液时,应经常摇晃红细胞悬液,使红细胞均匀地分布在磷酸缓冲液中,以防止红细胞下降。
反应时间及温度
加入鸡红血球之后,反应板在室温(20~25℃)静置30~40min,对照孔血球下沉于孔底,即可判定结果。若室温达不到实验要求,需相应调整反应时间。当环境温度低于4℃时,红细胞发生自凝;高于37℃时,会发生反应物分离和红细胞溶血。
使用方法:
1.本蛋白酶抑制剂混合物为100×的储存液,使用时按照1:100的比例加入到裂解液中(例如,1ml裂解液中加入10μl蛋白酶抑制剂混合物),混匀后即可使用。根据需要,0.5M的EDTA也按照1:100的比例加入到裂解液中(如用于检测金属蛋白酶活性,则不宜添加EDTA)。含有蛋白酶抑制剂混合物的裂解液宜现用现配,不宜配制后冻存待后续使用。
2. 待所需的抑制剂添加完毕混匀后,就可以开始进行哺乳动物组织的裂解和蛋白提取。
公司正在出售的产品:
| Z-Lys(Z)-OH | C646 |
| S55746 hydrochloride (BLC201 (hydrochloride)) | 可溶性CD14(sCD14)检测试剂盒 |
| Nutlin-3 | 可溶性CD105(sCD105)检测试剂盒 |
| LEESGGGLVQPGGSMK acetate | 可的松检测试剂盒 |
| Neoaureothin | 可溶性CD100(sCD100)检测试剂盒 |
| Cinchonine hydrochloride | 颗粒蛋白(GRN)检测试剂盒 |
| Topotecan HCl | 颗粒溶素(GNLY)检测试剂盒 |
| Penicolinate A | Mouse Interferon β, IFN-β/IFNB Elisa Kit |
| R406(free base)9 | 可溶性CD146分子(sCD146)检测试剂盒 |
| Meloxicam-d3 | 可溶性CD163分子(sCD163)检测试剂盒 |
| PK11007 | 可溶性CD21(CR2/sCD21)检测试剂盒 |
| Piliformic Acid | 可溶性CD276分子(sCD276/sB7-H3)检测试剂盒 |
| Resveratrol-3-O-Sulfate (sodium salt) | Levetiracetam-d6可溶性CD28(sCD28)检测试剂盒 |
| 7ACC1 | 可溶性CD30配(sCD30L)检测试剂盒 |
| 可溶性CD40配(sCD40L)检测试剂盒 | 可溶性CD38(sCD38)检测试剂盒 |
风险提示:丁香通仅作为第三方平台,为商家信息发布提供平台空间。用户咨询产品时请注意保护个人信息及财产安全,合理判断,谨慎选购商品,商家和用户对交易行为负责。对于医疗器械类产品,请先查证核实企业经营资质和医疗器械产品注册证情况。
文献和实验人CYP2D6 酶联免疫分析 试剂盒使用说明书 本试剂仅供研究使用 目的:本试剂盒用于测定人血清,血浆及相关液体样本中 CYP2D6 的含量。 实验原理: 本试剂盒应用双抗体夹心法测定标本中人 CYP2D6 水平。用纯化的人 CYP2D6 抗体包被微孔板,制成固相抗体,往包被单抗的微孔中依次加入 CYP2D6 ,再与 HRP 标记的 CYP2D6 抗体结合,形成抗体 - 抗原 - 酶标抗体复合物,经过彻底洗涤
Genotyping for Functionally Important Human CYP2D6*4 (B) Mutation Using TaqMan Probes
The microsomal enzyme cytochrome P450 2D6 (CYP2D6), also known as debrisoquine 4-hydroxylase, is involved in the oxidative metabolism of many widely used drugs, including neuroleptics, tricyclic antidepressants, antiarrhythmics, and β
A reverse-phase, high-performance liquid chromatography method is described for the quantification of 1′-hydroxybufuralol formed enzymatically by the incubation of bufuralol with cDNA-expressed CYP2D6 or human liver microsomes. Analytical
技术资料暂无技术资料 索取技术资料









