万千商家帮你免费找货
0 人在求购买到急需产品
- 详细信息
- 文献和实验
- 技术资料
- 库存:
44
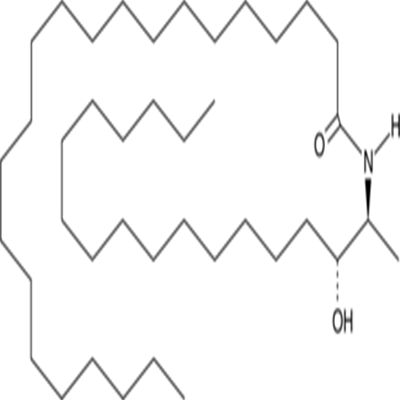
- 英文名:
C22 dihydro 1-Deoxyceramide (m18:0/22:0)
- 供应商:
上海莼试
- 保存条件:
Store at -20°C
- 规格:
1mg 5mg 10mg
分子式:C40H81NO2
分子量:608.1
溶解度:DMF: > 20mg/ml,DMSO: >20 mg/ml,Ethanol: >30 mg/ml,Ethanol:PBS (pH 7.2) (1:1): 0.5 mg/ml
储存条件:Store at -20°C
General tips:For obtaining a higher solubility , please warm the tube at 37 ℃ and shake it in the ultrasonic bath for a while.
Shipping Condition:Evaluation sample solution : ship with blue ice All other available size: ship with RT , or blue ice upon request
C22 dihydro 1-Deoxyceramide (m18:0/22:0) is a very long-chain atypical ceramide containing a 1-deoxysphinganine backbone. 1-Deoxysphingolipids are formed when serine palmitoyltransferase condenses palmitoyl-CoA with alanine instead of serine during sphingolipid synthesis.1,2 C22 dihydro 1-Deoxyceramide (m18:0/22:0) has been found in mouse embryonic fibroblasts (MEFs) following application of 1-deoxysphinganine alkyne or 1-deoxysphinganine-d3.3 It has also been found as the most prevalent dihydro deoxyceramide species in mouse brain, spinal cord, and sciatic nerve at one, three, and six months of age.4|1. Steiner, R., Saied, E.M., Othman, A., et al. Elucidating the chemical structure of native 1-deoxysphingosine. J. Lipid Res. 57(7), 1194-1203 (2016).|2. Alecu, I., Othman, A., Penno, A., et al. Cytotoxic 1-deoxysphingolipids are metabolized by a cytochrome P450-dependent pathway. J. Lipid Res. 58(1), 60-71 (2017).|3. Alecu, I., Tedeschi, A., Behler, N., et al. Localization of 1-deoxysphingolipids to mitochondria induces mitochondrial dysfunction. J. Lipid. Res. 58(1), 42-59 (2017).|4. Schwartz, N.U., Mileva, I., Gurevich, M., et al. Quantifying 1-deoxydihydroceramides and 1-deoxyceramides in mouse nervous system tissue. Prostaglandins Other Lipid Mediat. 141, 40-48 (2019).
商品属性:
| 货号 | CS-01Y76030 | 规格 | 1mg 5mg 10mg |
| CAS号 | N/A | 分子量 | 608.1 |
| 含量 | >95.00% | 别名 | N/A |
| 分子式 | C40H81NO2 | 化学名 | N/A |
| 产地 | 国产 | 用途 | 仅供科研研究实验 |
抗逆滴加序列
每次向板内滴加抗原时,移液器滴头要与平面45度悬空,不要触碰到孔内的液体,由后向前依次滴加(即浓度由低往高滴加)。
抗感染反应期
抗原抗体在室温20~25℃下,必须反应30min以上,若环境温度低于室温,可将微量反应板置于恒温培养箱中,使二者充分反应。
旅游温度
磷酸盐缓冲液的pH值要在高压灭菌后进行滴定,往往在高压后pH值会有所改变,所以高压后再调一次pH值更为准确。磷酸盐缓冲液一经使用保存期不要超过3周。当pH<5.8时,红细胞会产生自凝现象;当pH>7.8时,图形洗脱加快,易造成肉眼观察产生误差;p H=7.2时,红细胞沉降最充分,图形最清晰。
当滴注 1%红细胞悬液时,应经常摇晃红细胞悬液,使红细胞均匀地分布在磷酸缓冲液中,以防止红细胞下降。
反应时间及温度
加入鸡红血球之后,反应板在室温(20~25℃)静置30~40min,对照孔血球下沉于孔底,即可判定结果。若室温达不到实验要求,需相应调整反应时间。当环境温度低于4℃时,红细胞发生自凝;高于37℃时,会发生反应物分离和红细胞溶血。
公司正在出售的产品:
| CK 666 | Fmoc-D-allo-threoninol |
| Fmoc-D-Asp-ODmb | CH50 血清总补ELISA检测试剂盒 |
| Fmoc-D-His(Fmoc)-OH | PDH E1 酸脱氢酶E1ELISA检测试剂盒 |
| Fmoc-D-Pen(Acm)-OH | visfatin 内脂素/内脏脂肪素ELISA检测试剂盒 |
| Fmoc-Gln(Trt)-SASRIN™ resin (200-400 mesh, 0.3-0.6 mmol/g) | CNP C型钠尿肽ELISA检测试剂盒 |
| 2,3-Dimethoxy-5-methyl-p-benzoquinone | Secretin 促胰液素/胰泌素ELISA检测试剂盒 |
| 2-HBA | SR 促胰液素/分泌素受ELISA检测试剂盒 |
| Carbofuran | Ubiquitin-conjugating enzyme E2 D2,UBE2D2 ELISA kit |
| Lurasidone metabolite 14326 | LTC4 白三烯C4ELISA检测试剂盒 |
| Citraconic acid | DPPⅣ 二肽基肽酶ⅣELISA检测试剂盒 |
| AAPK-25 | HIS 组胺ELISA检测试剂盒 |
| Acetyl-Calpastatin (184-210) (human) | FE3 游离雌三醇ELISA检测试剂盒 |
| 2-Deoxy-D-glucose | C22 dihydro 1-Deoxyceramide (m18:0/22:0)ALD 醛固酮ELISA检测试剂盒 |
| Reduced Haloperidol | PGF 前列腺素FELISA检测试剂盒 |
| ATGA/TGAB 抗甲状腺球蛋白抗ELISA检测试剂盒 | ET-1 内皮素1ELISA检测试剂盒 |
1.本蛋白酶抑制剂混合物为100×的储存液,使用时按照1:100的比例加入到裂解液中(例如,1ml裂解液中加入10μl蛋白酶抑制剂混合物),混匀后即可使用。根据需要,0.5M的EDTA也按照1:100的比例加入到裂解液中(如用于检测金属蛋白酶活性,则不宜添加EDTA)。含有蛋白酶抑制剂混合物的裂解液宜现用现配,不宜配制后冻存待后续使用。
2. 待所需的抑制剂添加完毕混匀后,就可以开始进行哺乳动物组织的裂解和蛋白提取。
风险提示:丁香通仅作为第三方平台,为商家信息发布提供平台空间。用户咨询产品时请注意保护个人信息及财产安全,合理判断,谨慎选购商品,商家和用户对交易行为负责。对于医疗器械类产品,请先查证核实企业经营资质和医疗器械产品注册证情况。
文献和实验。 3.诱发植物多倍体的方法及原理 物理方法:温度剧变(高温、低温),机械损伤(嫁接、反复的切断产生愈伤),各种射线照射。 化学方法:秋水仙素、萘嵌戊烷、异生长素、富民农等,其中以秋水仙素效果最好。 秋水仙素是以百合科植物秋水仙(Colchicum autumnale)的种子及器官中提炼出来的生物碱。分子 式为 (C22H25NO6+1/2H2O),白色黄白色结晶,有剧毒,使用时应避免接触皮肤及溅射入口、眼。秋水仙素诱发多倍体的作用机制是抑制纺锤丝微管
。 1965.6 将Mamiya Press标准型的镜头可交换功能加入到Press S型号中。 Mamiya Flex C22 1966.3 (带105mm镜头
Characterization of Whole Body Cholesterol Fluxes in the Mouse
) Standards: 5α‐cholestane, coprostanol, epi‐coprostanol, cholesterol, dihydro‐cholesterol, coprostan‐3‐one and 3‐keto‐cholesterol (Sigma) Absolute ethanol
技术资料暂无技术资料 索取技术资料









