相关产品推荐更多 >
万千商家帮你免费找货
0 人在求购买到急需产品
- 详细信息
- 文献和实验
- 技术资料
- 库存:
23
- 英文名:
(±)-Ibuprofen-d3
- CAS号:
121662-14-4
- 供应商:
上海莼试
- 保存条件:
Store at -20°C
- 规格:
1 mg 5 mg 10 mg 50 mg
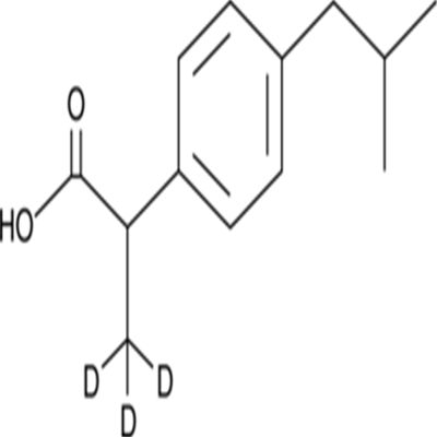
| 产品名称 | (±)-Ibuprofen-d3 | 产品货号 | CS-01Y75666 |
| 规格 | 1 mg 5 mg 10 mg 50 mg | CAS号 | 121662-14-4 |
| 含量 | >99.00% | 分子式 | C13H15D3O2 |
| 分子量 | 209.3 | 用途 | 仅供科研研究使用 |
(±)-Ibuprofen-d3规格:1 mg 5 mg 10 mg 50 mg
CAS:121662-14-4
别名:N/A
化学名:N/A
分子式:C13H15D3O2
分子量:209.3
溶解度:DMF: >45 mg/ml,DMSO: >50 mg/ml,Ethanol: >60 mg/ml,PBS (pH 7.2): >2 mg/ml
储存条件:Store at -20°C
General tips:For obtaining a higher solubility , please warm the tube at 37 ℃ and shake it in the ultrasonic bath for a while.
Shipping Condition: Evaluation sample solution : ship with blue ice All other available size: ship with RT , or blue ice upon request
产品描述:
Ibuprofen-d3 contains three deuterium atoms. It is intended for use as an internal standard for the quantification of ibuprofen by GC- or LC-mass spectrometry. Ibuprofen is a non-selective, reversible COX inhibitor. The IC50 values for human recombinant COX-1 and -2 are 2.6 and 1.53 μM, respectively.1 The Ki value for ovine COX-1 and -2 is 9 μM.21.Barnett, J., Chow, J., Ives, D., et al.Purification, characterization and selective inhibition of human prostaglandin G/H synthase 1 and 2 expressed in the baculovirus systemBiochim Biophys. Acta.1209(1)130-139(1994) 2.Johnson, J.L., Wimsatt, J., Buckel, S.D., et al.Purification and characterization of prostaglandin H synthase-2 from sheep placental cotyledonsArch. Biochem. Biophys.324(1)26-34(1995)
使用方法:
1. 常用筛选浓度
注意:用来筛选稳转株的工作浓度需要根据细胞类型,培养基,生长条件和细胞代谢率而变化,推荐使用浓度为50-1000μg/mL。对于第一次使用的实验体系建议通过建立杀灭曲线(kill curve),即剂量反应性曲线,来确定最佳筛选浓度。
一般而言,哺乳动物细胞50-500μg/mL;细菌/植物细胞20-200μg/mL;真菌300-1000μg/mL。
2. 杀灭曲线的建立
注意:为了筛选得到稳定表达目的蛋白的细胞株,需要确定能够杀死未转染宿主细胞的抗生素浓度,可通过建立杀灭曲线(剂量反应曲线)来实现,至少选择5个浓度。
1) 第一天:未转化的细胞按照20-25%的细胞密度铺在合适的培养板上,37℃,CO2培养过夜;注:对于需要更高密度来检测活力的细胞,可增加接种量。
2) 根据细胞类型,设定合适范围内的浓度梯度。以哺乳动物细胞为例,可设定50,100,250,500,750,1000μg/mL。先用去离子水或者PBS buffer按照1:10的比例将母液稀释到5 mg/ml,然后按照下表稀释到相应浓度的工作液。
3) 第二天:替换旧的培养基,换用新鲜配制的含有相应浓度药物的培养基。每个浓度做三个平行孔。
4) 接下来每3-4天更换新的含药物培养基。
5) 按照固定的周期(如每2天)进行活细胞计数来确定阻止未转染细胞生长的恰当浓度。选择在理想的天数(通常是7-10天)内能够杀死绝大多数细胞的浓度为稳定转染细胞筛选用的工作浓度。
3. 稳定转染细胞的筛选
1) 转染48h后,用含有适当浓度的潮霉素B筛选培养基来传代细胞(直接传代或者稀释后传代)。
注意:细胞处于活跃分裂状态时抗生素的杀伤。则当细胞过于稠密,其效率会降低。为了得到较好的筛选效果,最好将细胞稀释至丰度不超过25%
2) 每隔3-4天更换含有药物的筛选培养液。
3) 筛选7天后观察并评估细胞克隆(集落)的形成情况。集落的形成可能还需要一周或者更多的时间,这取决于宿主细胞类型,转染,以及筛选效果。
4) 挑取并转移5-10个抗性克隆于35mm细胞培养板,继续用含药物的筛选培养液维持培养7天。
5) 之后更换正常培养基培养即可。
公司正在出售的产品:
| R8-T198wt | MMP-3 Inhibitor |
| 7-hydroxy Pestalotin | Flt3 FMS样酪氨酸激酶3ELISA检测试剂盒 |
| IPA-3 | FK 趋化因子ELISA检测试剂盒 |
| Paprotrain | GM-CSF 粒细胞巨噬细胞集落刺激因子ELISA检测试剂盒 |
| Phenylbutazone-d9 | G-CSF 粒细胞集落刺激因子ELISA检测试剂盒 |
| Gly-Arg-AMC (hydrochloride) | gp130 糖蛋白130ELISA检测试剂盒 |
| Dolastatin 10 trifluoroacetate | ICAM-1/CD54 细胞间粘附分子1ELISA检测试剂盒 |
| PtdIns-(3,4,5)-P3 (1,2-dihexanoyl) (ammonium salt) | Rat Interleukin 10, IL-10 Elisa Kit |
| Umbelliprenin | FAS/CD95 凋亡相关因子ELISA检测试剂盒 |
| CW069 | E-Selectin/CD62E E选择素ELISA检测试剂盒 |
| BODIPY 505/515 | sEPCR 可溶性血管内皮细胞蛋白C受ELISA检测试剂盒 |
| 7-Epi-10-oxo-docetaxel | CD30 白细胞分化抗原30ELISA检测试剂盒 |
| Vinblastine sulfate | (±)-Ibuprofen-d3BMP-4 骨成型蛋白4ELISA检测试剂盒 |
| S-Methyl-L-Cysteine-S-oxide | BMP-2 骨成型蛋白2ELISA检测试剂盒 |
| AR 角化细胞内分泌因子ELISA检测试剂盒 | BDNF 脑源性神经营养因子ELISA检测试剂盒 |
蛋白酶抑制剂混合物实验步骤:
(1)实验开始前将RNA提取液于65℃水浴锅中预热,离心管中加入ME(巯基乙醇),(10mL加80ul,50mL中加入300ul)
(2)取约0.8g菌丝体(液体培养获得的菌丝用真空抽滤即可!固体培养就更好说了),在液氮中迅速磨成精细粉末,装入50mL离心管,按1g材料8mL的量加入预热的RNA提取液,颠倒混匀
(3)65℃水浴3-10 min,期间混匀2-3次
(4)加入等体积的酚(注意是酸酚pH4.5)::yi戊醇(25:24:1)抽提(10,000rpm,4℃,5 min)
(5)取上清,等体积的yi戊醇(24:1)抽提(10,000rpm,4℃,5 min)
(6)加入1/4V体积10M LiCl溶液,4℃放置6h以上(或过夜)
(7)10,000rpm,4℃离心20min
(8)弃上清,用500ul SSTE溶解沉淀
(9)酚::yi戊醇(25:24:1)抽提两次,:yi戊醇(24:1)抽提1次(10,000rpm,4℃,5min)
(10)加2V体积的无水乙醇,在-70℃冰箱沉淀30min以上
(11)12,000rpm,4℃离心20 min
(12)弃上清.沉淀用70%酒精漂洗一次,干燥
(13)加200ul的DEPC处理水溶解
(14)用非变性琼脂糖凝胶电泳和紫外分光光度计扫描检测RNA的质量(在抽提过程中,若蛋白质含量或其它的杂质还较多,可以增加抽提次数)
风险提示:丁香通仅作为第三方平台,为商家信息发布提供平台空间。用户咨询产品时请注意保护个人信息及财产安全,合理判断,谨慎选购商品,商家和用户对交易行为负责。对于医疗器械类产品,请先查证核实企业经营资质和医疗器械产品注册证情况。
文献和实验麻醉家兔、大鼠左室内压(LVP)与左室内压变化速率(±dp/dtmax)的测定
心脏左心室内压(left ventricular pressure LVP)及其变化速率,是反映和评价左心室收缩功能与舒张功能的重要指标,不论是在临床的心导管检测,还是在基础医学的实验教学与科研中经常要用到这一测量方法。一般情况下,家兔、大鼠均采用通过颈总动脉插管到达心脏左心室的方法,即可获得反映左心室收缩功能与舒张功能的指标,而且操作简便、易行。另外大鼠还可以采用经左心室心尖部插管到达左心室,测量反映左心室收缩功能与舒张功能指标的方法。这一测量方法,可以在测量左心
运动使人年轻又添实锤!研究表明:坚持锻炼可保护肌肉中的干细胞
) 研究中找了 46 名健康男性进行了对比研究,分为 3 组:一组为至少 10 年以上不规律参加锻炼的年轻人(26 ± 5 岁,n = 15);一组为长期保持业余锻炼的老年人(73 ± 4 岁,n = 16);第三组为不规律参加锻炼的老年人(73 ± 4 岁,n = 15)。其中,运动主要是生活中的休闲锻炼,包括抗阻运动、球类运动、拍类运动、游泳、骑自行车、跑步或者划船等。 通过让他们坐在一张机械椅上进行膝盖伸展运动,测量产生的力的大小,以评估肌肉功能。同时记录了体脂率,采集了血样,并对双腿的肌肉
刺激无关、且不随机体特异性免疫建立与增强而升高等特性有关。为此,本实验旨在观察补体对于有氧运动的应答与适应。补体系统由20余种成分组成,我们选取了其中生物作用最突出、在补体两条激活途径中起关键作用且在血清中含量最高的最重要成分C3和C4作为补体系统的代表性指标。二、实验设计和方法1、受试者 西北大学经济管理学院二年级女生16名。平均年龄21.2±0.9yr,平均身高163.4±3.2cm,平均体重54.5±4.8kg。2、实验仪器与材料(1)Quinton5500型活动跑台(美国);(2)Monark
技术资料暂无技术资料 索取技术资料








