相关产品推荐更多 >
万千商家帮你免费找货
0 人在求购买到急需产品
- 详细信息
- 文献和实验
- 技术资料
- 库存:
23
- 英文名:
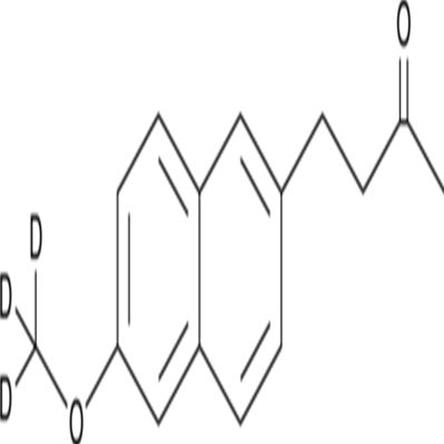
Nabumetone-d3
- CAS号:
1216770-08-9
- 供应商:
上海莼试
- 保存条件:
Store at -20°C
- 规格:
1 mg
1.本蛋白酶抑制剂混合物为100×的储存液,使用时按照1:100的比例加入到裂解液中(例如,1ml裂解液中加入10μl蛋白酶抑制剂混合物),混匀后即可使用。根据需要,0.5M的EDTA也按照1:100的比例加入到裂解液中(如用于检测金属蛋白酶活性,则不宜添加EDTA)。含有蛋白酶抑制剂混合物的裂解液宜现用现配,不宜配制后冻存待后续使用。
2. 待所需的抑制剂添加完毕混匀后,就可以开始进行哺乳动物组织的裂解和蛋白提取。
商品属性:
| 货号 | CS-01Y76769 | 规格 | 1 mg |
| CAS号 | 1216770-08-9 | 分子量 | 231.3 |
| 含量 | >99.00% | 别名 | N/A |
| 分子式 | C15H13D3O2 | 化学名 | N/A |
| 产地 | 国产 | 用途 | 仅供科研研究实验 |
分子式:C15H13D3O2
分子量:231.3
溶解度:Chloroform: slightly soluble,Ethyl Acetate: slightly soluble
储存条件:Store at -20°C
General tips:For obtaining a higher solubility , please warm the tube at 37 ℃ and shake it in the ultrasonic bath for a while.
Shipping Condition:Evaluation sample solution : ship with blue ice All other available size: ship with RT , or blue ice upon request
Nabumetone-d3 is intended for use as an internal standard for the quantification of nabumetone by GC- or LC-MS. Nabumetone is a non-steroidal anti-inflammatory drug (NSAID) and a prodrug form of 6-methoxy naphthalene acetic acid .1 Nabumetone (5-45 mg/kg) reduces carrageenan-induced edema in rats, as well as UV-induced erythema in guinea pigs (ED50 = 11 mg/kg).2 It reduces phenyl-p-quinone-induced writhing in mice (ED50 = 152 mg/kg). Nabumetone (50, 100, and 200 mg/kg) reduces endotoxin-induced pyresis in rabbits.1.Cryer, B., and Feldman, M.Cyclooxygenase-1 and cyclooxygenase-2 selectivity of widely used nonsteroidal anti-inflammatory drugsAm. J. Med.104(5)413-421(1998) 2.Boyle, E.A., Freeman, P.C., Mangan, F.R., et al.Nabumetone (BRL 14777, 4-[6-methoxy-2-naphthyl]-butan-2-on): a new anti-inflammatory agentJ. Pharm. Pharmacol.34(9)562-569(1982)
注意事项:
抗逆滴加序列
每次向板内滴加抗原时,移液器滴头要与平面45度悬空,不要触碰到孔内的液体,由后向前依次滴加(即浓度由低往高滴加)。
抗感染反应期
抗原抗体在室温20~25℃下,必须反应30min以上,若环境温度低于室温,可将微量反应板置于恒温培养箱中,使二者充分反应。
旅游温度
磷酸盐缓冲液的pH值要在高压灭菌后进行滴定,往往在高压后pH值会有所改变,所以高压后再调一次pH值更为准确。磷酸盐缓冲液一经使用保存期不要超过3周。当pH<5.8时,红细胞会产生自凝现象;当pH>7.8时,图形洗脱加快,易造成肉眼观察产生误差;p H=7.2时,红细胞沉降最充分,图形最清晰。
当滴注 1%红细胞悬液时,应经常摇晃红细胞悬液,使红细胞均匀地分布在磷酸缓冲液中,以防止红细胞下降。
反应时间及温度
加入鸡红血球之后,反应板在室温(20~25℃)静置30~40min,对照孔血球下沉于孔底,即可判定结果。若室温达不到实验要求,需相应调整反应时间。当环境温度低于4℃时,红细胞发生自凝;高于37℃时,会发生反应物分离和红细胞溶血。
公司正在出售的产品:
| 9-Nitrooleate | Fmoc-His(Trt)-OH |
| Fmoc-Thr(tBu)-OPfp | 5羟色胺(5-HT)ELISA Kit |
| Fmoc-Serinol(tBu) | 抑制素A(INH-A)检测试剂盒 |
| H-Arg(Pbf)-2-Chlorotrityl Resin | 脱氢表雄酮S7(DHEA-S7)ELISA检测试剂盒 |
| H-Orn(2-Cl-Z)-OH | 性激素结合球蛋白(SHBG)试剂盒 ELISA |
| Fmoc-Phe(4-NO2)-Wang resin | 脱氢表雄酮(DHEA)ELISA Kit |
| Fmoc-Trp-OH | 降钙素基因相关肽(CGRP)检测试剂盒 |
| H-DL-Ala-OMe.HCl | Soluble Cluster of differentiation 21, sCD21 Elisa Kit |
| Boc-D-Lys(2-Cl-Z)-OH | 乙酰胆碱受抗(AChRab)ELISA检测试剂盒 |
| Boc-D-Asp(OBzl)-OH | 半胱氨酸蛋白酶抑制剂/胱抑素C(Cys-C)试剂盒 ELISA |
| Fmoc-Lys(Tfa)-OH | 儿茶酚胺(CA)检测试剂盒 |
| H-D-Abu-OH | 甲状腺素抗(TAb)ELISA Kit |
| Fmoc-Ser(tBu)-ol | Nabumetone-d3卵泡抑素(FS)ELISA检测试剂盒 |
| rac-7-hydroxy Propranolol (hydrochloride) | 血管紧张素Ⅰ(Ang-Ⅰ)试剂盒 ELISA |
| 雌二醇受(ER)ELISA检测试剂盒 | 血管紧张素原(aGT)检测试剂盒 |
风险提示:丁香通仅作为第三方平台,为商家信息发布提供平台空间。用户咨询产品时请注意保护个人信息及财产安全,合理判断,谨慎选购商品,商家和用户对交易行为负责。对于医疗器械类产品,请先查证核实企业经营资质和医疗器械产品注册证情况。
文献和实验人25羟维生素D3(25(OH)D3)酶联免疫分析(ELISA)
人 25羟维生素D3(25(OH)D3) 酶联免疫 分析( ELISA ) 试剂 盒使用说明书 本试剂仅供研究使用 目的:本试剂盒用于测定人血清,血浆及相关液体样本中25羟维生素D3(25(OH)D3)含量。 实验原理 : 本试剂盒应用双抗体夹心法测定 标本 中 人25 羟维生素 D3 ( 25(OH)D3 ) 水平。用纯化的 人25 羟维生素 D3 ( 25(OH)D3 ) 抗体包被微孔板,制成固相抗体,往包
vitamin D3 analogs, it is reasonable to target the screening methods on the steps mentioned above.
小鼠维生素D3 酶联免疫 分析( ELISA ) 试剂 盒使用说明书 本试剂仅供研究使用 目的:本试剂盒用于测定小鼠血清,血浆及相关液体样本中 维生素D3 的 含量。 实验原理 : 本试剂盒应用 双抗体 夹心法测定 标本 中 小鼠 维生素D3 水平。用纯化的 小鼠 维生素D3 抗体 包被微孔板,制成固相 抗 体,往包被 单抗 的微孔中加入 维生素D3 ,再与HRP 标记的 维生素D3 抗体结合,形成抗体- 抗原
技术资料暂无技术资料 索取技术资料








