相关产品推荐更多 >
万千商家帮你免费找货
0 人在求购买到急需产品
- 详细信息
- 文献和实验
- 技术资料
- 库存:
26
- 英文名:
Phosphatidylethanolamines (egg)
- CAS号:
39382-08-6
- 供应商:
上海莼试
- 保存条件:
Store at -20°C
- 规格:
50mg 100mg
| 产品名称 | Phosphatidylethanolamines (egg) | 产品货号 | CS-01Y76385 |
| 规格 | 50mg 100mg | CAS号 | 39382-08-6 |
| 含量 | >98.00% | 分子式 | C41H78NO8P (for oleoyl) |
| 分子量 | 744 | 用途 | 仅供科研研究使用 |
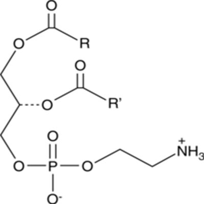
Phosphatidylethanolamine is the most abundant phospholipid in prokaryotes and the second most abundant found in the membrane of mammalian, plant, and yeast cells, comprising approximately 25% of total mammalian phospholipids. In the brain, phosphatidylethanolamine comprises almost half of the total phospholipids. It is synthesized mainly through the cytidine diphosphate-ethanolamine and phosphatidylserine decarboxylation pathways, which occur in the endoplasmic reticulum (ER) and mitochondrial membranes, respectively. It is a precursor in the synthesis of phosphatidylcholine and arachidonoyl ethanolamide and is a source of ethanolamine used in various cellular functions. In E. coli, phosphatidylethanolamine deficiency prevents proper assembly of lactose permease, suggesting a role as a lipid chaperone. It is a cofactor in the propagation of prions in vitro and can convert recombinant mammalian proteins into infectious molecules even in the ance of RNA. Phosphatidylethanolamines (egg) is a mixture of phosphatidylethanolamines isolated from egg with various fatty acyl groups at the sn-1 and sn-2 positions.
化学性质:
规格:50mg 100mg
CAS:39382-08-6
别名:N/A
化学名:N/A
分子式:C41H78NO8P (for oleoyl)
分子量:744
溶解度:Chloroform: soluble
储存条件:Store at -20°C
General tips:For obtaining a higher solubility , please warm the tube at 37 ℃ and shake it in the ultrasonic bath for a while.
Shipping Condition: Evaluation sample solution : ship with blue ice All other available size: ship with RT , or blue ice upon request
使用方法:
1. 常用筛选浓度
注意:用来筛选稳转株的工作浓度需要根据细胞类型,培养基,生长条件和细胞代谢率而变化,推荐使用浓度为50-1000μg/mL。对于第一次使用的实验体系建议通过建立杀灭曲线(kill curve),即剂量反应性曲线,来确定最佳筛选浓度。
一般而言,哺乳动物细胞50-500μg/mL;细菌/植物细胞20-200μg/mL;真菌300-1000μg/mL。
2. 杀灭曲线的建立
注意:为了筛选得到稳定表达目的蛋白的细胞株,需要确定能够杀死未转染宿主细胞的抗生素浓度,可通过建立杀灭曲线(剂量反应曲线)来实现,至少选择5个浓度。
1) 第一天:未转化的细胞按照20-25%的细胞密度铺在合适的培养板上,37℃,CO2培养过夜;注:对于需要更高密度来检测活力的细胞,可增加接种量。
2) 根据细胞类型,设定合适范围内的浓度梯度。以哺乳动物细胞为例,可设定50,100,250,500,750,1000μg/mL。先用去离子水或者PBS buffer按照1:10的比例将母液稀释到5 mg/ml,然后按照下表稀释到相应浓度的工作液。
3) 第二天:替换旧的培养基,换用新鲜配制的含有相应浓度药物的培养基。每个浓度做三个平行孔。
4) 接下来每3-4天更换新的含药物培养基。
5) 按照固定的周期(如每2天)进行活细胞计数来确定阻止未转染细胞生长的恰当浓度。选择在理想的天数(通常是7-10天)内能够杀死绝大多数细胞的浓度为稳定转染细胞筛选用的工作浓度。
3. 稳定转染细胞的筛选
1) 转染48h后,用含有适当浓度的潮霉素B筛选培养基来传代细胞(直接传代或者稀释后传代)。
注意:细胞处于活跃分裂状态时抗生素的杀伤。则当细胞过于稠密,其效率会降低。为了得到较好的筛选效果,最好将细胞稀释至丰度不超过25%
2) 每隔3-4天更换含有药物的筛选培养液。
3) 筛选7天后观察并评估细胞克隆(集落)的形成情况。集落的形成可能还需要一周或者更多的时间,这取决于宿主细胞类型,转染,以及筛选效果。
4) 挑取并转移5-10个抗性克隆于35mm细胞培养板,继续用含药物的筛选培养液维持培养7天。
5) 之后更换正常培养基培养即可。
蛋白酶抑制剂混合物实验步骤:
(1)Phosphatidylethanolamines (egg)实验开始前将RNA提取液于65℃水浴锅中预热,离心管中加入ME(巯基乙醇),(10mL加80ul,50mL中加入300ul)
(2)取约0.8g菌丝体(液体培养获得的菌丝用真空抽滤即可!固体培养就更好说了),在液氮中迅速磨成精细粉末,装入50mL离心管,按1g材料8mL的量加入预热的RNA提取液,颠倒混匀
(3)65℃水浴3-10 min,期间混匀2-3次
(4)加入等体积的酚(注意是酸酚pH4.5)::yi戊醇(25:24:1)抽提(10,000rpm,4℃,5 min)
(5)取上清,等体积的yi戊醇(24:1)抽提(10,000rpm,4℃,5 min)
(6)加入1/4V体积10M LiCl溶液,4℃放置6h以上(或过夜)
(7)10,000rpm,4℃离心20min
(8)弃上清,用500ul SSTE溶解沉淀
(9)酚::yi戊醇(25:24:1)抽提两次,:yi戊醇(24:1)抽提1次(10,000rpm,4℃,5min)
(10)加2V体积的无水乙醇,在-70℃冰箱沉淀30min以上
(11)12,000rpm,4℃离心20 min
(12)弃上清.沉淀用70%酒精漂洗一次,干燥
(13)加200ul的DEPC处理水溶解
(14)用非变性琼脂糖凝胶电泳和紫外分光光度计扫描检测RNA的质量(在抽提过程中,若蛋白质含量或其它的杂质还较多,可以增加抽提次数)
公司正在出售的产品:
| Virstatin | Gimeracil |
| (±)14(15)-EpETE | 抗线粒抗(AMA)检测试剂盒 |
| FH535 | 抗纹状(ST)自身抗试剂盒ELISA |
| 7-Ethoxycoumarin | 抗外切酶复合物成分RRP45(EXOSC9)抗检测试剂盒 |
| KD-3010 | 抗尾状核(CN)自身抗检测试剂盒elisa |
| Estrone-3-Glucuronide (sodium salt hydrate) | 抗外切酶成分10(EXOSC10)抗试剂盒ELISA |
| (+)-5-trans Cloprostenol | 抗突变型瓜氨酸波形蛋白抗(anti-MCV Ab)ELISA检测试剂盒 |
| Dyphylline | Defensin Beta 115(DEFb115)ELISA Kit |
| 13,14-dihydro Prostaglandin F2α | 抗线粒抗M2亚型(AMA-M2)ELISA检测试剂盒 |
| Leelamine (hydrochloride) | 抗小核糖核蛋白/Sm(snRNP/Sm)抗试剂盒ELISA |
| Phosphodiesterase 4 Inhibitor | 抗小脑(CE)自身抗检测试剂盒 |
| EMT inhibitor-2 | 抗抗(HAMA)检测试剂盒elisa |
| IM-93 | Phosphatidylethanolamines (egg)抗心肌β1受(MB1R)自身抗试剂盒ELISA |
| MHY908 | 抗信号识别颗粒54kDa蛋白(SRP54)抗检测试剂盒 |
| 抗血小板抗IgA(PA-IgA)检测试剂盒 | 抗血小板抗(anti-PA Ab)ELISA检测试剂盒 |
风险提示:丁香通仅作为第三方平台,为商家信息发布提供平台空间。用户咨询产品时请注意保护个人信息及财产安全,合理判断,谨慎选购商品,商家和用户对交易行为负责。对于医疗器械类产品,请先查证核实企业经营资质和医疗器械产品注册证情况。
文献和实验亦称为夏卵。是轮虫、水蚤等进行异型有性世代 交替的动物在单轮回时,于春夏比较良好的环境条件下,由雌虫(孤雌生殖雌虫)进行二倍体孤雌生殖时所产的卵,发育后成为雌体。由于仅仅完成了第一次减数分裂,还未进行第二次减数分裂,所以染色体数还未减半,仍为 2n,这与雄卵和冬卵染色体数为 n是不同的。轮虫一次产卵数雌卵为 1-2个(但晶囊轮虫 Asplanchna amphora为 4-8个,水轮虫为 35-45个),雄卵为 10-16个,冬卵仅 1个,卵黄量的总和都大致相等,而从一个卵
卵囊 egg capsule, ootheca, oocyst
〔 1〕一般的卵到产出为止,多被覆各种物质。在这种被覆物中相当于三级卵膜而呈坚实的囊状者,特称之为卵囊。具有代表性的卵囊,多见于软体动物特别是头足类、腹足类的卵。后者的卵囊,有的称为海纺锤(图的 C、 D)。鲨鱼、鳐的卵,也包有卵囊或卵壳。蚯蚓和蛭也具有卵囊,但它的组成成分和其它的卵囊不同,是从环带的输卵管外开部表皮所分泌的。和卵囊原来的涵义是背离的。但仍然属于三级卵膜,具有各种各样的特异的形态,构造。截尾海兔属( Dolubella
复合卵 composite egg, compound egg
扁形动物中,除三肠目外,涡虫纲的大多数种类及吸虫纲和绦虫纲的卵,是由位于中央的生殖细胞(卵细胞)和包裹其外面的发育中供给营养物质的卵黄细胞组成。两者包含于1个卵壳内。这种卵称为复合卵,亦称外黄卵(ectolecithal egg);与此不同的是卵细胞本身内含卵黄的卵,则称为单卵。产单卵的种类,其雌性生殖腺仅为卵巢;产复合卵的种类,则制造生殖细胞的生殖腺和制造卵黄细胞的卵黄腺分开,或这两种构造不同程度地结合。
技术资料暂无技术资料 索取技术资料









