万千商家帮你免费找货
0 人在求购买到急需产品
- 详细信息
- 技术资料
- 库存:
45
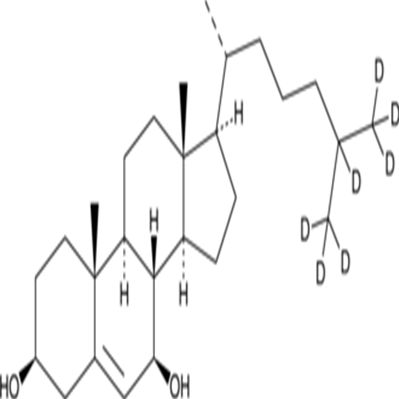
- 英文名:
7β-hydroxy Cholesterol-d7
- CAS号:
349553-97-5
- 供应商:
上海莼试
- 保存条件:
Store at -20°C
- 规格:
500μg 1mg
本产品仅供科学实验研究使用! 不能用于临床或动物诊断!
化学性质:

7β-hydroxy Cholesterol-d7规格:500μg 1mg
CAS:349553-97-5
别名:N/A
化学名:N/A
分子式:C27H39D7O2

分子量:409.7
溶解度:DMF: 2 mg/ml,DMSO: 0.1 mg/ml,Ethanol: 20 mg/ml
储存条件:Store at -20°C
General tips:For obtaining a higher solubility , please warm the tube at 37 ℃ and shake it in the ultrasonic bath for a while.
Shipping Condition: Evaluation sample solution : ship with blue ice All other available size: ship with RT , or blue ice upon request
产品描述:

7β-hydroxy Cholesterol-d7 is intended for use as an internal standard for the quantification of 7β-hydroxy cholesterol by GC- or LC-MS. 7β-hydroxy Cholesterol is an oxysterol formed by enzymatic and non-enzymatic oxidation of cholesterol. It is the primary oxysterol found in LDL and induces apoptosis and cell death of human umbilical vein endothelial cells (HUVECs) in vitro in a concentration-dependent manner. Increased plasma levels of 7β-hydroxy cholesterol positively correlate with mortality in coronary heart disease in human males.
使用方法:

1. 常用筛选浓度
注意:用来筛选稳转株的工作浓度需要根据细胞类型,培养基,生长条件和细胞代谢率而变化,推荐使用浓度为50-1000μg/mL。对于第一次使用的实验体系建议通过建立杀灭曲线(kill curve),即剂量反应性曲线,来确定最佳筛选浓度。
一般而言,哺乳动物细胞50-500μg/mL;细菌/植物细胞20-200μg/mL;真菌300-1000μg/mL。
2. 杀灭曲线的建立
注意:为了筛选得到稳定表达目的蛋白的细胞株,需要确定能够杀死未转染宿主细胞的抗生素浓度,可通过建立杀灭曲线(剂量反应曲线)来实现,至少选择5个浓度。
1) 第一天:未转化的细胞按照20-25%的细胞密度铺在合适的培养板上,37℃,CO2培养过夜;注:对于需要更高密度来检测活力的细胞,可增加接种量。
2) 根据细胞类型,设定合适范围内的浓度梯度。以哺乳动物细胞为例,可设定50,100,250,500,750,1000μg/mL。先用去离子水或者PBS buffer按照1:10的比例将母液稀释到5 mg/ml,然后按照下表稀释到相应浓度的工作液。
3) 第二天:替换旧的培养基,换用新鲜配制的含有相应浓度药物的培养基。每个浓度做三个平行孔。
4) 接下来每3-4天更换新的含药物培养基。
5) 按照固定的周期(如每2天)进行活细胞计数来确定阻止未转染细胞生长的恰当浓度。选择在理想的天数(通常是7-10天)内能够杀死绝大多数细胞的浓度为稳定转染细胞筛选用的工作浓度。
3. 稳定转染细胞的筛选
1) 转染48h后,用含有适当浓度的潮霉素B筛选培养基来传代细胞(直接传代或者稀释后传代)。
注意:细胞处于活跃分裂状态时抗生素的杀伤。则当细胞过于稠密,其效率会降低。为了得到较好的筛选效果,最好将细胞稀释至丰度不超过25%
2) 每隔3-4天更换含有药物的筛选培养液。
3) 筛选7天后观察并评估细胞克隆(集落)的形成情况。集落的形成可能还需要一周或者更多的时间,这取决于宿主细胞类型,转染,以及筛选效果。
4) 挑取并转移5-10个抗性克隆于35mm细胞培养板,继续用含药物的筛选培养液维持培养7天。
5) 之后更换正常培养基培养即可。
公司正在出售的产品:

蛋白酶抑制剂混合物实验步骤:

(1)实验开始前将RNA提取液于65℃水浴锅中预热,离心管中加入ME(巯基乙醇),(10mL加80ul,50mL中加入300ul)
(2)取约0.8g菌丝体(液体培养获得的菌丝用真空抽滤即可!固体培养就更好说了),在液氮中迅速磨成精细粉末,装入50mL离心管,按1g材料8mL的量加入预热的RNA提取液,颠倒混匀
(3)65℃水浴3-10 min,期间混匀2-3次
(4)加入等体积的酚(注意是酸酚pH4.5)::yi戊醇(25:24:1)抽提(10,000rpm,4℃,5 min)
(5)取上清,等体积的yi戊醇(24:1)抽提(10,000rpm,4℃,5 min)
(6)加入1/4V体积10M LiCl溶液,4℃放置6h以上(或过夜)
(7)10,000rpm,4℃离心20min
(8)弃上清,用500ul SSTE溶解沉淀
(9)酚::yi戊醇(25:24:1)抽提两次,:yi戊醇(24:1)抽提1次(10,000rpm,4℃,5min)
(10)加2V体积的无水乙醇,在-70℃冰箱沉淀30min以上
(11)12,000rpm,4℃离心20 min
(12)弃上清.沉淀用70%酒精漂洗一次,干燥
(13)加200ul的DEPC处理水溶解
(14)用非变性琼脂糖凝胶电泳和紫外分光光度计扫描检测RNA的质量(在抽提过程中,若蛋白质含量或其它的杂质还较多,可以增加抽提次数)
| 产品名称 | 7β-hydroxy Cholesterol-d7 | 产品货号 | CS-01Y68237 |
| 规格 | 500μg 1mg | CAS号 | 349553-97-5 |
| 含量 | >99.00% | 分子式 | C27H39D7O2 |
| 分子量 | 409.7 | 用途 | 仅供科研研究使用 |

7β-hydroxy Cholesterol-d7规格:500μg 1mg
CAS:349553-97-5
别名:N/A
化学名:N/A
分子式:C27H39D7O2

分子量:409.7
溶解度:DMF: 2 mg/ml,DMSO: 0.1 mg/ml,Ethanol: 20 mg/ml
储存条件:Store at -20°C
General tips:For obtaining a higher solubility , please warm the tube at 37 ℃ and shake it in the ultrasonic bath for a while.
Shipping Condition: Evaluation sample solution : ship with blue ice All other available size: ship with RT , or blue ice upon request
产品描述:

7β-hydroxy Cholesterol-d7 is intended for use as an internal standard for the quantification of 7β-hydroxy cholesterol by GC- or LC-MS. 7β-hydroxy Cholesterol is an oxysterol formed by enzymatic and non-enzymatic oxidation of cholesterol. It is the primary oxysterol found in LDL and induces apoptosis and cell death of human umbilical vein endothelial cells (HUVECs) in vitro in a concentration-dependent manner. Increased plasma levels of 7β-hydroxy cholesterol positively correlate with mortality in coronary heart disease in human males.
使用方法:

1. 常用筛选浓度
注意:用来筛选稳转株的工作浓度需要根据细胞类型,培养基,生长条件和细胞代谢率而变化,推荐使用浓度为50-1000μg/mL。对于第一次使用的实验体系建议通过建立杀灭曲线(kill curve),即剂量反应性曲线,来确定最佳筛选浓度。
一般而言,哺乳动物细胞50-500μg/mL;细菌/植物细胞20-200μg/mL;真菌300-1000μg/mL。
2. 杀灭曲线的建立
注意:为了筛选得到稳定表达目的蛋白的细胞株,需要确定能够杀死未转染宿主细胞的抗生素浓度,可通过建立杀灭曲线(剂量反应曲线)来实现,至少选择5个浓度。
1) 第一天:未转化的细胞按照20-25%的细胞密度铺在合适的培养板上,37℃,CO2培养过夜;注:对于需要更高密度来检测活力的细胞,可增加接种量。
2) 根据细胞类型,设定合适范围内的浓度梯度。以哺乳动物细胞为例,可设定50,100,250,500,750,1000μg/mL。先用去离子水或者PBS buffer按照1:10的比例将母液稀释到5 mg/ml,然后按照下表稀释到相应浓度的工作液。
3) 第二天:替换旧的培养基,换用新鲜配制的含有相应浓度药物的培养基。每个浓度做三个平行孔。
4) 接下来每3-4天更换新的含药物培养基。
5) 按照固定的周期(如每2天)进行活细胞计数来确定阻止未转染细胞生长的恰当浓度。选择在理想的天数(通常是7-10天)内能够杀死绝大多数细胞的浓度为稳定转染细胞筛选用的工作浓度。
3. 稳定转染细胞的筛选
1) 转染48h后,用含有适当浓度的潮霉素B筛选培养基来传代细胞(直接传代或者稀释后传代)。
注意:细胞处于活跃分裂状态时抗生素的杀伤。则当细胞过于稠密,其效率会降低。为了得到较好的筛选效果,最好将细胞稀释至丰度不超过25%
2) 每隔3-4天更换含有药物的筛选培养液。
3) 筛选7天后观察并评估细胞克隆(集落)的形成情况。集落的形成可能还需要一周或者更多的时间,这取决于宿主细胞类型,转染,以及筛选效果。
4) 挑取并转移5-10个抗性克隆于35mm细胞培养板,继续用含药物的筛选培养液维持培养7天。
5) 之后更换正常培养基培养即可。
公司正在出售的产品:

| Recombnant Human RAK4, N-H | GMF beta Antbody Blockng Peptde |
| ADAR1 Antbody Blockng Peptde | 前蛋白转化酶枯草溶素1(PCK1)重组蛋白 |
| RAA1 Antbody Blockng Peptde | 半胱氨酸双加氧酶Ⅰ(CDO1)重组蛋白 |
| LRRC24 Antbody Blockng Peptde | 相关受体酪氨酸激酶(RYK)重组蛋白 |
| C4orf28 Antbody Blockng Peptde | 永离有丝分裂基因A相关激酶2(NEK2)重组蛋白 |
| AH1L Antbody Blockng Peptde | BMX非受体酪氨酸激酶(BMX)重组蛋白 |
| CYFP2 Antbody Blockng Peptde | BMX非受体酪氨酸激酶(BMX)重组蛋白 |
| Myon-2 Antbody Blockng Peptde | 半乳糖凝集素8封闭多肽 |
| CCDC83 Antbody Blockng Peptde | 酪氨酰tRNA合成酶(YAR)重组蛋白 |
| C1orf21 Antbody Blockng Peptde | 脱氧核糖核酸酶Ⅱ(DNAE)重组蛋白 |
| UBR4 Antbody Blockng Peptde | 羟甲基戊二酰辅酶A合酶(HMGC)重组蛋白 |
| UBL7 Antbody Blockng Peptde | 腺苷酸环化酶8(ADCY8)重组蛋白 |
| Recombnant human 100A1 proten | 7β-hydroxy Cholesterol-d7羧肽酶N2(CPN2)重组蛋白 |
| FTM1 Antbody Blockng Peptde | 谷氨氨肽酶(ENPEP)重组蛋白 |
| 磷酸肌醇-3-激酶衔接蛋白1(PK3AP1)重组蛋白 | RF蛋白激酶2(RPK2)重组蛋白 |
蛋白酶抑制剂混合物实验步骤:

(1)实验开始前将RNA提取液于65℃水浴锅中预热,离心管中加入ME(巯基乙醇),(10mL加80ul,50mL中加入300ul)
(2)取约0.8g菌丝体(液体培养获得的菌丝用真空抽滤即可!固体培养就更好说了),在液氮中迅速磨成精细粉末,装入50mL离心管,按1g材料8mL的量加入预热的RNA提取液,颠倒混匀
(3)65℃水浴3-10 min,期间混匀2-3次
(4)加入等体积的酚(注意是酸酚pH4.5)::yi戊醇(25:24:1)抽提(10,000rpm,4℃,5 min)
(5)取上清,等体积的yi戊醇(24:1)抽提(10,000rpm,4℃,5 min)
(6)加入1/4V体积10M LiCl溶液,4℃放置6h以上(或过夜)
(7)10,000rpm,4℃离心20min
(8)弃上清,用500ul SSTE溶解沉淀
(9)酚::yi戊醇(25:24:1)抽提两次,:yi戊醇(24:1)抽提1次(10,000rpm,4℃,5min)
(10)加2V体积的无水乙醇,在-70℃冰箱沉淀30min以上
(11)12,000rpm,4℃离心20 min
(12)弃上清.沉淀用70%酒精漂洗一次,干燥
(13)加200ul的DEPC处理水溶解
(14)用非变性琼脂糖凝胶电泳和紫外分光光度计扫描检测RNA的质量(在抽提过程中,若蛋白质含量或其它的杂质还较多,可以增加抽提次数)
风险提示:丁香通仅作为第三方平台,为商家信息发布提供平台空间。用户咨询产品时请注意保护个人信息及财产安全,合理判断,谨慎选购商品,商家和用户对交易行为负责。对于医疗器械类产品,请先查证核实企业经营资质和医疗器械产品注册证情况。
技术资料暂无技术资料 索取技术资料
7β-hydroxy Cholesterol-d7
¥600 - 3200








