相关产品推荐更多 >
万千商家帮你免费找货
0 人在求购买到急需产品
- 详细信息
- 技术资料
- 库存:
50
- 英文名:
Prucalopride Succinat
- CAS号:
179474-85-2
- 供应商:
上海莼试
- 保存条件:
Store at -20°C
- 规格:
50mg
产品描述:
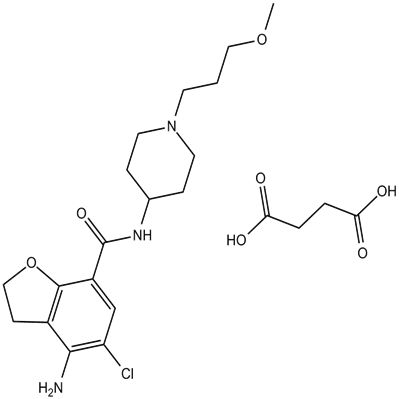
分子式:C18H26ClN3O3.C4H6O4
分子量:485.96
溶解度:Soluble in DMSO
储存条件:Store at -20°C
General tips:For obtaining a higher solubility , please warm the tube at 37 ℃ and shake it in the ultrasonic bath for a while.
Shipping Condition:Evaluation sample solution : ship with blue ice All other available size: ship with RT , or blue ice upon request
Prucalopride succinate is a selective, high affinity 5-HT4 receptor agonist with pKi of 8.6/8.1 for 5-HT4a/4b.IC50 value:Target: 5-HT4 agonistin vitro: Prucalopride was a 5-HT(4) receptor agonist in the guinea-pig colon, as it induced contractions (pEC(50)=7.48+/-0.06; insensitive to a 5-HT(2A) or 5-HT(3) receptor antagonist, but inhibited by a 5-HT(4) receptor antagonist) as well as the facilitation of electrical stimulation-induced noncholinergic contractions (blocked by a 5-HT(4) receptor antagonist). Prucalopride did not cause relevant inhibition of 5-HT(2A), 5-HT(2B), or 5-HT(3), motilin or cholecystokinin (CCK(1)) receptor-mediated contractions, nor nicotinic or muscarinic acetylcholine receptor-mediated contractions, up to 10 microM [1].in vivo: Rat microdialysis studies revealed that prucalopride maximally increased ACh and histamine levels in the prefrontal cortex at 5 and 10 mg/kg, whereas PRX-03140 significantly increased cortical histamine levels at 50 mg/kg, failing to affect ACh release at doses lower than 150 mg/kg [2].
商品属性:
注意事项:
抗逆滴加序列
每次向板内滴加抗原时,移液器滴头要与平面45度悬空,不要触碰到孔内的液体,由后向前依次滴加(即浓度由低往高滴加)。
抗感染反应期
抗原抗体在室温20~25℃下,必须反应30min以上,若环境温度低于室温,可将微量反应板置于恒温培养箱中,使二者充分反应。
旅游温度
磷酸盐缓冲液的pH值要在高压灭菌后进行滴定,往往在高压后pH值会有所改变,所以高压后再调一次pH值更为准确。磷酸盐缓冲液一经使用保存期不要超过3周。当pH<5.8时,红细胞会产生自凝现象;当pH>7.8时,图形洗脱加快,易造成肉眼观察产生误差;p H=7.2时,红细胞沉降最充分,图形最清晰。
当滴注 1%红细胞悬液时,应经常摇晃红细胞悬液,使红细胞均匀地分布在磷酸缓冲液中,以防止红细胞下降。
反应时间及温度
加入鸡红血球之后,反应板在室温(20~25℃)静置30~40min,对照孔血球下沉于孔底,即可判定结果。若室温达不到实验要求,需相应调整反应时间。当环境温度低于4℃时,红细胞发生自凝;高于37℃时,会发生反应物分离和红细胞溶血。
公司正在出售的产品:
使用方法:
1.本蛋白酶抑制剂混合物为100×的储存液,使用时按照1:100的比例加入到裂解液中(例如,1ml裂解液中加入10μl蛋白酶抑制剂混合物),混匀后即可使用。根据需要,0.5M的EDTA也按照1:100的比例加入到裂解液中(如用于检测金属蛋白酶活性,则不宜添加EDTA)。含有蛋白酶抑制剂混合物的裂解液宜现用现配,不宜配制后冻存待后续使用。
2. 待所需的抑制剂添加完毕混匀后,就可以开始进行哺乳动物组织的裂解和蛋白提取。
分子式:C18H26ClN3O3.C4H6O4
分子量:485.96
溶解度:Soluble in DMSO
储存条件:Store at -20°C
General tips:For obtaining a higher solubility , please warm the tube at 37 ℃ and shake it in the ultrasonic bath for a while.
Shipping Condition:Evaluation sample solution : ship with blue ice All other available size: ship with RT , or blue ice upon request
Prucalopride succinate is a selective, high affinity 5-HT4 receptor agonist with pKi of 8.6/8.1 for 5-HT4a/4b.IC50 value:Target: 5-HT4 agonistin vitro: Prucalopride was a 5-HT(4) receptor agonist in the guinea-pig colon, as it induced contractions (pEC(50)=7.48+/-0.06; insensitive to a 5-HT(2A) or 5-HT(3) receptor antagonist, but inhibited by a 5-HT(4) receptor antagonist) as well as the facilitation of electrical stimulation-induced noncholinergic contractions (blocked by a 5-HT(4) receptor antagonist). Prucalopride did not cause relevant inhibition of 5-HT(2A), 5-HT(2B), or 5-HT(3), motilin or cholecystokinin (CCK(1)) receptor-mediated contractions, nor nicotinic or muscarinic acetylcholine receptor-mediated contractions, up to 10 microM [1].in vivo: Rat microdialysis studies revealed that prucalopride maximally increased ACh and histamine levels in the prefrontal cortex at 5 and 10 mg/kg, whereas PRX-03140 significantly increased cortical histamine levels at 50 mg/kg, failing to affect ACh release at doses lower than 150 mg/kg [2].
商品属性:
| 货号 | CS-01Y77222 | 规格 | 50mg |
| CAS号 | 179474-85-2 | 分子量 | 485.96 |
| 含量 | >99.50% | 别名 | |
| 分子式 | C18H26ClN3O3.C4H6O4 | 化学名 | 4-amino-5-chloro-N-[1-(3-methoxypropyl)piperidin-4-yl]-2,3-dihydro-1-benzofuran-7-carboxamide;butanedioic acid |
| 产地 | 国产 | 用途 | 仅供科研研究实验 |
抗逆滴加序列
每次向板内滴加抗原时,移液器滴头要与平面45度悬空,不要触碰到孔内的液体,由后向前依次滴加(即浓度由低往高滴加)。
抗感染反应期
抗原抗体在室温20~25℃下,必须反应30min以上,若环境温度低于室温,可将微量反应板置于恒温培养箱中,使二者充分反应。
旅游温度
磷酸盐缓冲液的pH值要在高压灭菌后进行滴定,往往在高压后pH值会有所改变,所以高压后再调一次pH值更为准确。磷酸盐缓冲液一经使用保存期不要超过3周。当pH<5.8时,红细胞会产生自凝现象;当pH>7.8时,图形洗脱加快,易造成肉眼观察产生误差;p H=7.2时,红细胞沉降最充分,图形最清晰。
当滴注 1%红细胞悬液时,应经常摇晃红细胞悬液,使红细胞均匀地分布在磷酸缓冲液中,以防止红细胞下降。
反应时间及温度
加入鸡红血球之后,反应板在室温(20~25℃)静置30~40min,对照孔血球下沉于孔底,即可判定结果。若室温达不到实验要求,需相应调整反应时间。当环境温度低于4℃时,红细胞发生自凝;高于37℃时,会发生反应物分离和红细胞溶血。
公司正在出售的产品:
| Dendroaspis Natriuretic Peptide | Ilginatinib (NS-018) |
| Girard’s Reagent P-d5 | 可溶性CD38(sCD38)检测试剂盒 |
| GSK J2 | 可溶性CD21(CR2/sCD21)试剂盒ELISA |
| JAK1-IN-4 | Toll样受9(TLR-9/CD289)检测试剂盒 |
| TSI-01 | 可溶性瘦素受(sLR)ELISA检测试剂盒 |
| Naphthol AS-E | 转化生长因子β2(TGFβ2)试剂盒elisa |
| HIF-2α-IN-1 | 单核细胞趋化蛋白4(MCP-4/CCL13)检测试剂盒elisa |
| IWP 12 | Herpes simplex Ⅱ IgM antibody,HSVⅡ-Ab ELISA Kit |
| LLY-283 | β干扰素(IFN-β/IFNB)检测试剂盒elisa |
| Desidustat | 黏膜素细胞黏附分子(MAdCAM-1)试剂盒elisa |
| Upadacitinib | 肺部活化调节趋化因子(PARC/CCL18)检测试剂盒 |
| LMK 235 | CX3C趋化因子受1(CX3CR1)ELISA检测试剂盒 |
| UNC1999 | Prucalopride SuccinatCC趋化因子受1(CCR1)试剂盒ELISA |
| GGsTop | 淋巴毒素α(LTA)检测试剂盒 |
| 糖基化依赖的细胞黏附分子(GlyCAM-1)检测试剂盒 | 淋巴毒素β(LTB)检测试剂盒elisa |
1.本蛋白酶抑制剂混合物为100×的储存液,使用时按照1:100的比例加入到裂解液中(例如,1ml裂解液中加入10μl蛋白酶抑制剂混合物),混匀后即可使用。根据需要,0.5M的EDTA也按照1:100的比例加入到裂解液中(如用于检测金属蛋白酶活性,则不宜添加EDTA)。含有蛋白酶抑制剂混合物的裂解液宜现用现配,不宜配制后冻存待后续使用。
2. 待所需的抑制剂添加完毕混匀后,就可以开始进行哺乳动物组织的裂解和蛋白提取。
风险提示:丁香通仅作为第三方平台,为商家信息发布提供平台空间。用户咨询产品时请注意保护个人信息及财产安全,合理判断,谨慎选购商品,商家和用户对交易行为负责。对于医疗器械类产品,请先查证核实企业经营资质和医疗器械产品注册证情况。
技术资料暂无技术资料 索取技术资料
Prucalopride Succinat
¥600 - 3200









