相关产品推荐更多 >
万千商家帮你免费找货
0 人在求购买到急需产品
- 详细信息
- 文献和实验
- 技术资料
- 库存:
22
- 英文名:
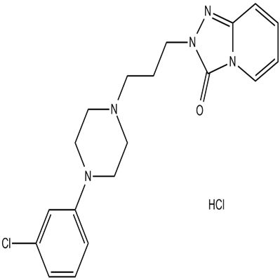
Trazodone HCl
- CAS号:
25332-39-2
- 供应商:
上海莼试
- 保存条件:
Store at -20°C
- 规格:
10mM (in 1mL DMSO) 50mg
1.本蛋白酶抑制剂混合物为100×的储存液,使用时按照1:100的比例加入到裂解液中(例如,1ml裂解液中加入10μl蛋白酶抑制剂混合物),混匀后即可使用。根据需要,0.5M的EDTA也按照1:100的比例加入到裂解液中(如用于检测金属蛋白酶活性,则不宜添加EDTA)。含有蛋白酶抑制剂混合物的裂解液宜现用现配,不宜配制后冻存待后续使用。
2. 待所需的抑制剂添加完毕混匀后,就可以开始进行哺乳动物组织的裂解和蛋白提取。
商品属性:
| 货号 | CS-01Y77250 | 规格 | 10mM (in 1mL DMSO) 50mg |
| CAS号 | 25332-39-2 | 分子量 | 408.32 |
| 含量 | >99.50% | 别名 | |
| 分子式 | C19H22ClN5O.HCl | 化学名 | 2-[3-[4-(3-chlorophenyl)piperazin-1-yl]propyl]-[1,2,4]triazolo[4,3-a]pyridin-3-one;hydrochloride |
| 产地 | 国产 | 用途 | 仅供科研研究实验 |
分子式:C19H22ClN5O.HCl
分子量:408.32
溶解度:≥ 20.416mg/mL in DMSO
储存条件:Store at -20°C
General tips:For obtaining a higher solubility , please warm the tube at 37 ℃ and shake it in the ultrasonic bath for a while.
Shipping Condition:Evaluation sample solution : ship with blue ice All other available size: ship with RT , or blue ice upon request
Trazodone (hydrochloride) (AF-1161) is an antidepressant belonging to the class of serotonin receptor antagonists and reuptake inhibitors for treatment of anxiety disorders.
注意事项:
抗逆滴加序列
每次向板内滴加抗原时,移液器滴头要与平面45度悬空,不要触碰到孔内的液体,由后向前依次滴加(即浓度由低往高滴加)。
抗感染反应期
抗原抗体在室温20~25℃下,必须反应30min以上,若环境温度低于室温,可将微量反应板置于恒温培养箱中,使二者充分反应。
旅游温度
磷酸盐缓冲液的pH值要在高压灭菌后进行滴定,往往在高压后pH值会有所改变,所以高压后再调一次pH值更为准确。磷酸盐缓冲液一经使用保存期不要超过3周。当pH<5.8时,红细胞会产生自凝现象;当pH>7.8时,图形洗脱加快,易造成肉眼观察产生误差;p H=7.2时,红细胞沉降最充分,图形最清晰。
当滴注 1%红细胞悬液时,应经常摇晃红细胞悬液,使红细胞均匀地分布在磷酸缓冲液中,以防止红细胞下降。
反应时间及温度
加入鸡红血球之后,反应板在室温(20~25℃)静置30~40min,对照孔血球下沉于孔底,即可判定结果。若室温达不到实验要求,需相应调整反应时间。当环境温度低于4℃时,红细胞发生自凝;高于37℃时,会发生反应物分离和红细胞溶血。
公司正在出售的产品:
| Boc-p-amino-Phe(Z)-OH | Taurochenodeoxycholic acid (12-Deoxycholyltaurine) |
| Taurochenodeoxycholic Acid (sodium salt) | 停靠蛋白2检测试剂盒 DOK2 ELISA Kit |
| Taurochenodeoxycholic Acid-d4 (sodium salt) | 停靠蛋白1检测试剂盒 DOK1 ELISA Kit |
| Taurocholic Acid (sodium salt) | 铁氧还蛋白1检测试剂盒 FDX1 ELISA Kit |
| Taurocholic Acid 3-sulfate (sodium salt) | 铁氧还蛋白还原酶检测试剂盒 FDXR ELISA Kit |
| Taurocholic Acid-d4 (sodium salt) | 天青杀素1检测试剂盒 AZU1 ELISA Kit |
| Taurodeoxychloic Acid sodium hydrate | 天冬酰胺酶检测试剂盒 ASPG ELISA Kit |
| Taurodeoxycholic Acid (sodium salt hydrate) | FDP ELISA Kit |
| Taurohyocholic Acid (sodium salt) | 停靠蛋白3检测试剂盒 DOK3 ELISA Kit |
| Taurohyocholic Acid-d4 (sodium salt) | 停靠蛋白4检测试剂盒 DOK4 ELISA Kit |
| Taurolidine | 停靠蛋白5检测试剂盒 DOK5 ELISA Kit |
| Taurolithocholic Acid (sodium salt) | 停靠蛋白6检测试剂盒 DOK6 ELISA Kit |
| Taurolithocholic Acid 3-sulfate (sodium salt) | Trazodone HCl停靠蛋白7检测试剂盒 DOK7 ELISA Kit |
| Oleoyl Ethyl Amide | 通用转录因子ⅡA肽1检测试剂盒 GTF2A1 ELISA Kit |
| 通用转录因子ⅡF肽1检测试剂盒 GTF2F1 ELISA Kit | 通用转录因子ⅡB检测试剂盒 GTF2B ELISA Kit |
风险提示:丁香通仅作为第三方平台,为商家信息发布提供平台空间。用户咨询产品时请注意保护个人信息及财产安全,合理判断,谨慎选购商品,商家和用户对交易行为负责。对于医疗器械类产品,请先查证核实企业经营资质和医疗器械产品注册证情况。
文献和实验4℃ 25℃ 37℃ 8.1 7.5 7.2 8.
0.05mol/L Tris-HCl缓冲液(pH7.19~9.10)
pH 0.2mol/L Tris(ml) 0.2mol/L HCl(ml) H2 O
【求助】着急,不知道10mmol/L的Tris-HCl(pH8.0)如何配制?
ilovelc999 很着急,不知道10mmol/L的Tris-HCl(pH8.0)如何配制?有哪位知道吗?麻烦告诉我一下好吗。 mybbff 先配成10mM的,水先不要加足,调节pH到8.0后再定容到预定体积。 ilovelc999 恩,知道啦,多谢版主! wangbingying66 1.称取1.211g Tris 2.加800ml去离子
技术资料暂无技术资料 索取技术资料









