相关产品推荐更多 >
万千商家帮你免费找货
0 人在求购买到急需产品
- 详细信息
- 文献和实验
- 技术资料
- 库存:
33
- 英文名:
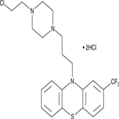
Fluphenazine-N-2-chloroethane (hydrochloride)
- CAS号:
3892-78-2
- 供应商:
上海莼试
- 保存条件:
Store at -20°C
- 规格:
10mg 25mg 50mg 100mg
1.本蛋白酶抑制剂混合物为100×的储存液,使用时按照1:100的比例加入到裂解液中(例如,1ml裂解液中加入10μl蛋白酶抑制剂混合物),混匀后即可使用。根据需要,0.5M的EDTA也按照1:100的比例加入到裂解液中(如用于检测金属蛋白酶活性,则不宜添加EDTA)。含有蛋白酶抑制剂混合物的裂解液宜现用现配,不宜配制后冻存待后续使用。
2. 待所需的抑制剂添加完毕混匀后,就可以开始进行哺乳动物组织的裂解和蛋白提取。
商品属性:
| 货号 | CS-01Y76912 | 规格 | 10mg 25mg 50mg 100mg |
| CAS号 | 3892-78-2 | 分子量 | 528.9 |
| 含量 | >95.00% | 别名 | N/A |
| 分子式 | C22H25ClF3N3S2HCl | 化学名 | N/A |
| 产地 | 国产 | 用途 | 仅供科研研究实验 |
分子式:C22H25ClF3N3S2HCl
分子量:528.9
溶解度:DMF: 10 mg/ml,DMSO: 10 mg/ml,Ethanol: 1 mg/ml
储存条件:Store at -20°C
General tips:For obtaining a higher solubility , please warm the tube at 37 ℃ and shake it in the ultrasonic bath for a while.
Shipping Condition:Evaluation sample solution : ship with blue ice All other available size: ship with RT , or blue ice upon request
Fluphenazine is a traditional antipsychotic compound that tightly binds the dopamine D2 receptor (Ki = 0.55 nM) and also reversibly inhibits calmodulin at micromolar concentrations. Fluphenazine-N-2-chloroethane is a derivative of fluphenazine that contains an alkylating chlorethylamine chain, which produces irreversible protein binding. It is a relatively selective, irreversible antagonist of D2 receptors both in vitro (IC50 = 100 nM) and in vivo, inactivating approximately 90% of D2 receptors in mice within 4 hours of treatment. Through this action, fluphenazine-B-2-chloroethane can be used to induce catalepsy in mice. It irreversibly inhibits calmodulin at higher doses (IC50 = 10 μM), which can sensitize cancer cells to TRAIL-induced apoptosis.
注意事项:
抗逆滴加序列
每次向板内滴加抗原时,移液器滴头要与平面45度悬空,不要触碰到孔内的液体,由后向前依次滴加(即浓度由低往高滴加)。
抗感染反应期
抗原抗体在室温20~25℃下,必须反应30min以上,若环境温度低于室温,可将微量反应板置于恒温培养箱中,使二者充分反应。
旅游温度
磷酸盐缓冲液的pH值要在高压灭菌后进行滴定,往往在高压后pH值会有所改变,所以高压后再调一次pH值更为准确。磷酸盐缓冲液一经使用保存期不要超过3周。当pH<5.8时,红细胞会产生自凝现象;当pH>7.8时,图形洗脱加快,易造成肉眼观察产生误差;p H=7.2时,红细胞沉降最充分,图形最清晰。
当滴注 1%红细胞悬液时,应经常摇晃红细胞悬液,使红细胞均匀地分布在磷酸缓冲液中,以防止红细胞下降。
反应时间及温度
加入鸡红血球之后,反应板在室温(20~25℃)静置30~40min,对照孔血球下沉于孔底,即可判定结果。若室温达不到实验要求,需相应调整反应时间。当环境温度低于4℃时,红细胞发生自凝;高于37℃时,会发生反应物分离和红细胞溶血。
公司正在出售的产品:
| Angiotensin (1-12) (human) | Lornoxicam-d4 |
| Losartan Carboxaldehyde | 多肽-N-乙酰氨基半乳糖转移酶7检测试剂盒 |
| Losmapimod | 成纤维细胞生长因子6检测试剂盒 |
| Loteprednol etabonate | 泛素蛋白检测试剂盒 |
| Loureirin A | 融合蛋白检测试剂盒 |
| Loureirin B | 苹果酸脱氢酶2检测试剂盒 |
| Lovastatin | 果糖胺检测试剂盒 |
| Loviride (R 89439) | Four And A Half LIM Domains Protein 1 ELISA Kit,Four And A Half LIM Domains Protein 1,FHL1 |
| Loxapine | 活化蛋白C抵抗素检测试剂盒 |
| Loxapine Succinate | 防御素α3检测试剂盒 |
| Loxapine-d8 | 网状蛋白4检测试剂盒 |
| Loxiglumide (CR-1505) | 防御素α1检测试剂盒 |
| LOX-IN-3 | Fluphenazine-N-2-chloroethane (hydrochloride)天冬酰胺內肽酶检测试剂盒 |
| Epristeride (ONO-9302) | 脂肪酸转运蛋白5检测试剂盒 |
| 双肾上腺皮质激素检测试剂盒 | 胸腺肽检测试剂盒 |
风险提示:丁香通仅作为第三方平台,为商家信息发布提供平台空间。用户咨询产品时请注意保护个人信息及财产安全,合理判断,谨慎选购商品,商家和用户对交易行为负责。对于医疗器械类产品,请先查证核实企业经营资质和医疗器械产品注册证情况。
文献和实验Guanidine Hydrochloride Purification of Proteins From SDS
Pepstatin A (2.0 mg/ml)10 ml Leupeptin (1.0 mg/ml)10 ml Aprotinin (5.0 mg/ml)(Protease Inhibitor Cocktail Sigma #P8340)Denaturation Buffer6 M guanidine hydrochloride 57.3 g G-HCl20 mM Hepes 7.9 2 ml 1M Hepes pH 7.910 mM KCl 0.074 g KCl0.5 mM DTT 100 ml 0.5 M
Guanidine Hydrochloride Purification of Proteins From SDS PAGE
(Sigma #P7626) 10 ml Pepstatin A (2.0 mg/ml) 10 ml Leupeptin (1.0 mg/ml) 10 ml Aprotinin (5.0 mg/ml) (Protease Inhibitor Cocktail Sigma #P8340) Denaturation Buffer 6 M guanidine hydrochloride 57.3 g G-HCl 20 mM Hepes 7.9 2 ml 1M Hepes pH 7.9 10 mM
Packed column subcritical and/or supercritical fluid chromatography (p-sub or pSFC) has been used as a powerful chiral separation technique, whereby a mobile phase produces low viscosity, a high diffusion coefficient, and a solvating power. P
技术资料暂无技术资料 索取技术资料









