相关产品推荐更多 >
万千商家帮你免费找货
0 人在求购买到急需产品
- 详细信息
- 文献和实验
- 技术资料
- 库存:
52
- 英文名:
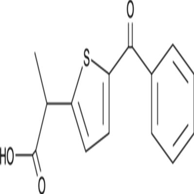
Tiaprofenic Acid
- CAS号:
33005-95-7
- 供应商:
上海莼试
- 保存条件:
Store at -20°C
- 规格:
5mg 10mg 50mg 100mg
| 货号 | CS-01Y77394 | 规格 | 5mg 10mg 50mg 100mg |
| CAS号 | 33005-95-7 | 分子量 | 260.3 |
| 含量 | >99.50% | 别名 | N/A |
| 分子式 | C14H12O3S | 化学名 | N/A |
| 产地 | 国产 | 用途 | 仅供科研研究实验 |
分子式:C14H12O3S
分子量:260.3
溶解度:DMF: 15mg/mL,DMSO: 20mg/mL,Ethanol: 20mg/mL,Ethanol:PBS (pH 7.2) (1:10): 0.09mg/mL
储存条件:Store at -20°C
General tips:For obtaining a higher solubility , please warm the tube at 37 ℃ and shake it in the ultrasonic bath for a while.
Shipping Condition:Evaluation sample solution : ship with blue ice All other available size: ship with RT , or blue ice upon request
Tiaprofenic acid is a COX inhibitor and a non-steroidal anti-inflammatory drug (NSAID) with anti-inflammatory and analgesic activities.1 It inhibits synthesis of prostaglandin E2 and PGF2α from arachidonic acid in bovine seminal vesicle microsomes and inhibits thromboxane B2 formation in human umbilical cord arteries bathed in clotting human blood (IC50 = 0.71 μM).2,1 Tiaprofenic acid has anti-inflammatory activity in rat models of carrageenan-induced edema and adjuvant-induced arthritis and has analgesic activity in acetic acid- or phenylquinone-induced writhing tests in rodents.1
注意事项:
抗逆滴加序列
每次向板内滴加抗原时,移液器滴头要与平面45度悬空,不要触碰到孔内的液体,由后向前依次滴加(即浓度由低往高滴加)。
抗感染反应期
抗原抗体在室温20~25℃下,必须反应30min以上,若环境温度低于室温,可将微量反应板置于恒温培养箱中,使二者充分反应。
旅游温度
磷酸盐缓冲液的pH值要在高压灭菌后进行滴定,往往在高压后pH值会有所改变,所以高压后再调一次pH值更为准确。磷酸盐缓冲液一经使用保存期不要超过3周。当pH<5.8时,红细胞会产生自凝现象;当pH>7.8时,图形洗脱加快,易造成肉眼观察产生误差;p H=7.2时,红细胞沉降最充分,图形最清晰。
当滴注 1%红细胞悬液时,应经常摇晃红细胞悬液,使红细胞均匀地分布在磷酸缓冲液中,以防止红细胞下降。
反应时间及温度
加入鸡红血球之后,反应板在室温(20~25℃)静置30~40min,对照孔血球下沉于孔底,即可判定结果。若室温达不到实验要求,需相应调整反应时间。当环境温度低于4℃时,红细胞发生自凝;高于37℃时,会发生反应物分离和红细胞溶血。
使用方法:
1.本蛋白酶抑制剂混合物为100×的储存液,使用时按照1:100的比例加入到裂解液中(例如,1ml裂解液中加入10μl蛋白酶抑制剂混合物),混匀后即可使用。根据需要,0.5M的EDTA也按照1:100的比例加入到裂解液中(如用于检测金属蛋白酶活性,则不宜添加EDTA)。含有蛋白酶抑制剂混合物的裂解液宜现用现配,不宜配制后冻存待后续使用。
2. 待所需的抑制剂添加完毕混匀后,就可以开始进行哺乳动物组织的裂解和蛋白提取。
公司正在出售的产品:
| 1,2-O-Dihexadecyl-sn-glycerol | Cladribine |
| Cl-amidine | 吻素受(KISS1R)ELISA试剂盒 |
| Cl-Amidine (hydrochloride) | 吻素1(KISS1)ELISA试剂盒 |
| Clarithromycin | 纹蛋白(STRN)ELISA试剂盒 |
| Clasto-Lactacystin β-lactone | 纹蛋白3(STRN3)ELISA试剂盒 |
| Clavulanate lithium | 胃脂酶(LIPF)ELISA试剂盒 |
| Clebopride malate | 胃泌酸调节素(OXM)ELISA试剂盒 |
| Clemizole hydrochloride | 胃泌素抑制肽(GIP)ELISA试剂盒 |
| Cletoquine oxalate | 稳定素1(STAB1)ELISA试剂盒 |
| Clevidipine Butyrate | 稳定素2(STAB2)ELISA试剂盒 |
| Clevudine | 蜗管蛋白(COIL)ELISA试剂盒 |
| Cl-HIBO | 无孢蛋白(ASPN)ELISA试剂盒 |
| Cl-HOBt | Tiaprofenic Acid无翅型MMTV整合位点家族成员1(WNT1)ELISA试剂盒 |
| dmDNA31 | 无翅型MMTV整合位点家族成员10A(WNT10A)ELISA试剂盒 |
| 人白细胞弹性蛋白酶抑制因子ELISA试剂盒 | 无翅型MMTV整合位点家族成员10B(WNT10B)ELISA试剂盒 |
风险提示:丁香通仅作为第三方平台,为商家信息发布提供平台空间。用户咨询产品时请注意保护个人信息及财产安全,合理判断,谨慎选购商品,商家和用户对交易行为负责。对于医疗器械类产品,请先查证核实企业经营资质和医疗器械产品注册证情况。
文献和实验β-咪唑丙烯酸。给予狗大量的组氨酸后可从尿中得到,还有细菌作用于组氨酸也能生成尿刊酸。在哺乳类的肝脏或细菌中作为从组氨酸到谷氨酸的代谢途径的中间体,在组氨酸酶的作用下进行分子内的无氧脱氨基而生成。通常尿刊酸在肝脏酶(尿刊酸酶)的作用下进一步分解转变成谷氨酸。
C24 H40 O5 3α, 7α, 12α三羟基 -5 β胆烷酸,是广泛分布于以人为首的脊椎动物中的最主要的胆汁酸。在胆汁中,以与甘氨酸或牛磺酸结合成甘胆酸( glycocholic acid)或牛磺胆酸的形态存在。
α -羟基丙酸。 L型(见图)为厌氧糖酵解的最终产物,是由乳酸脱氧酶的作用使丙酮酸还原而生成的。在激烈的肌肉运动时,乳酸在肌肉中积累,其一部分随血液流到肝脏,再合成为葡萄糖(糖的产生)。在乳酸菌的乳酸发酵和大肠杆菌、梭状芽胞杆菌属的混合有机酸发酵过程中也能大量形成乳酸,为酸乳酪( yoghurt)和咸菜的酸味的主要成分。这里因生物种类不同,有时可产生 L型、 D型和外消旋体。在动物和微生物中是作为碳源而被利用的物质之一。
技术资料暂无技术资料 索取技术资料








