相关产品推荐更多 >
万千商家帮你免费找货
0 人在求购买到急需产品
- 详细信息
- 文献和实验
- 技术资料
- 库存:
54
- 英文名:
Bacopaside II
- CAS号:
382146-66-9
- 供应商:
帛科
- 保存条件:
2-8°C,避光保存、低温下保存
对照品注意事项:
1、用来做实验的产品的用量应该满足:滴定液为20ml左右,达到对精度的要求;
2、滴定液的判断要求一定要明确严格,并且提供滴定的曲线,如选用指示剂法,应考虑其变色敏锐,并用电位法校准其终点颜色;
3、为排除因加入其它试剂而混入杂质对测定结果的影响,或便于剩余滴定法的计算,可采用“将滴定的结果用空白试验校正”的办法;
4、要给出滴定度(采用四位有效数字)的推导过程。标定结果要根据3个以上实验室各不少于15组测定结果经统计分析,去除离群值和可疑值后的结果,并报告可信限。
商品属性:
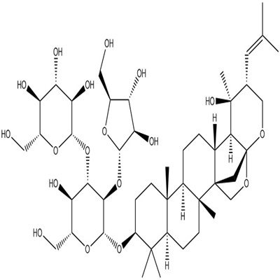
| 产品名称 | 假马齿苋苷 II | CAS号 | 382146-66-9 |
| 货号 | BK-DZ0476 | 分子量 | 929.11 |
| 分子式 | C47H76O18 | 用途 | 仅供科研实验 |

商品介绍:
中文名:假马齿苋苷 II
中文别称:
英文名:Bacopaside II
英文别称:
CAS号:382146-66-9
分子式:C47H76O18
分子量:929.11
对照品的标化:
对照品的质量直接影响到检验样品的结果。因此,对照品的标化十分重要,中国药品生物制品检定所为此制定了严格的标化程序。
首先应根据中国药典或卫生部标准,参考USP,BP,JP等国外 药典,查阅Merk Index等资料 确定对照品的标化项目和检验方法。
1、标化内容包括:
(1)物理常数的测定
1)熔点:依药典方法进行,取三次测定的平均值加温度计的校 正值。熔点现象不易观察的品种加作DSC熔点测定。
2)比旋度:按药典规定的方法测定,空白左右分别测定3次,样 品左右分别测定5次,计算平均值。
3)吸收系数(E: )值:测定时要求平行两份样品,每份样品按两 个浓度(药典浓度±10%)进行测定。
2、纯度考察
重点用薄层色谱法和高效液相色谱法两种方法作“有关物质” 检查:
1)薄层色谱法:要求两个展开系统,显色灵敏度要达到检测量 的0.1% ~0.2%。对照液的点样量为梯度,样品液的点样量为药典量 和药典的加倍量。实验的结果要报出样品的Rf值、杂质的量。当杂 质的量较大时,要用双向展开的方法确定样品是否分解。
2)高效液相色谱法:要求两种流动相或不同型号的两根柱子, 最小检出量要达到检测量的0.1% ,进样量为药典量和药典量的加 倍量,进行二极管阵列检测峰纯度,用归一化法或主成分自身稀释 对照法计算杂质量。
3、含量测定
要求用两种方法测定含量。一般为容量法和色谱法。容量法要 求两人分别测定3~5份。每人的平行实验结果以及两人的实验结 果的相对偏差均应小于0.3%。高效液相色谱法需用3种浓度作校 正因子,精密度要求尼 小于1.5%。若用分光光度法测定含量,必 须用对照品法,E值法只能作参考。含量测定用的化学对照品还要 求作DSC纯度测定。
| 5-甲基吡啶-3-硼suan | FastDigest® MvaI |
| 5-氨基-2-溴嘧啶 | BroMine water |
| 2-苄基丙烯suan | BroMoacetic acid;BroMacetic acid |
| 对甲氧基yi基ben酚 | BroMocresol purple;5,5″-DibroMo-o-cresolsulfonphthalein;BroMocresol red |
| 5-氨基-2-氟ben甲suan | BroMocresol green;BroMocresol green sodiuM salt;3,3′,5,5′-TetrabroMo-M-cresol sulfophthalein |
| 没有中文名 | BroMocyclopentane |
| 3-氟-2-硝基ben胺 | BroMophenol blue |
| (S)-3-羟基丁suanyi酯 | BroMopyruvic acid |
| L-谷氨酰胺 | Brilliant green;DiaMond green G;EMerald green crystal;Malachite green G;C.I. 42040 |
| L-赖氨suan | BOTTLE YEAST EXT GLUCOSE CHLOR 500G |
| 2,4-二lv-5-甲基吡啶 | BOTTLE PHYTONE YEAST EXTRACT AGAR 500G |
| (R)-缩水甘油 | BOTTLE MODIFIED LETHEEN AGAR 500G 4℃ |
| yi氧甲酰基亚yi基三ben基膦 | 假马齿苋苷 II382146-66-9Bottle ColuMbia Agar Base |
| 4-甲ben硼suan | BOTTLE CHROMAGAR ORIENTATION 500G |
| 2-甲氧基ben基硼suan | BOTTLE BUFFERED PEPTONE WATR 500G |
风险提示:丁香通仅作为第三方平台,为商家信息发布提供平台空间。用户咨询产品时请注意保护个人信息及财产安全,合理判断,谨慎选购商品,商家和用户对交易行为负责。对于医疗器械类产品,请先查证核实企业经营资质和医疗器械产品注册证情况。
文献和实验化学名P—羟基—(S)—苯乙醇硝酰—β—D—糖苷。为存在于高梁(Sorghum)中的氰糖苷,可通过酪氨酸生成,贮藏于叶表皮细胞中。分解时可产生氰化氢和P—羟基苯醛。催化此反应的有两种酶,即β—糖苷酶可对(1)水解,羟基苯乙醇硝酰裂解酶可催化(2)分解,主要都含于叶肉细胞中。在叶组织被破坏时,产生氰化氢的机制在于因破坏而由分解酶催化的分解。
1.检品溶液的制备: 取大黄粉末2克,加乙醇20ml,在沸水浴上回流浸提10分钟,过滤供鉴别用。 2.鉴别试验: (1)与碱成盐显色反应(Borntrager反应):取1ml乙醇提取液,加入1ml 10% NaOH溶液,如产生红色反应,加入少量30%过氧化氢液,加热后红色不褪,加酸使呈酸性时,则红色消褪再碱化又出现红色。 注:或取大黄粉末少许,置小试管中,加水1~2ml,加浓H2SO4 2-3滴,置水浴中加热10分钟,冷却,加乙醚1-2ml振摇。用吸管吸取醚液(黄色
1.检品溶液的制备: 取秦皮2克,加入乙醇20ml,在水浴上回流10分钟,趁热过滤,滤液供鉴别用。 2.鉴别试验: (1)内酯化合物的开环与闭环反应:取2ml乙醇浸出液,加1-2ml 1% NaOH,于沸水浴中煮沸3分钟,冷却后加新配制的重氮化试剂1~2滴,显红色。 (2)肟异羟酯酸铁试验:取香豆素少许,加酒精1ml溶解加6滴盐酸羟胺的饱和乙醇液混匀后加入6滴KOH的饱和乙醇液,使其显强碱性再转入试管中加热10分钟左右(有气泡产生),冷却加5%盐
技术资料暂无技术资料 索取技术资料










