相关产品推荐更多 >
万千商家帮你免费找货
0 人在求购买到急需产品
- 详细信息
- 文献和实验
- 技术资料
- 库存:
999
- 英文名:
Heparin-PLGA
- 保质期:
一年
- 供应商:
深圳市魅罗科技有限公司
- 保存条件:
-20°保存
- 规格:
50mg
关键产品信息
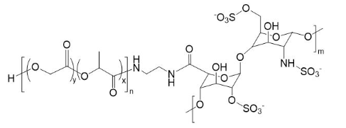
中文名称:肝素-聚乳酸-羟基乙酸共聚物
简称 : Heparin-PLGA
品牌: 魅罗科技(MeloPEG)
结构

纯度:95%
注意事项
保持干燥
存储条件
-20℃以下冰冻、干燥
应用
Heparin-PLGA(肝素-聚乳酸-羟基乙酸共聚物)是一种将肝素与PLGA (聚乳酸-羟基乙酸共聚物) 结合的复合材料,这种结合利用了肝素的生物活性和PLGA的生物降解性。肝素是一种天然抗凝血剂,具有多种生物学功能,而PLGA是一种广泛使用的生物医学材料,因其良好的生物降解性和生物相容性而被广泛应用于药物递送和组织工程领域。
PLGA在Heparin-PLGA中的作用
生物降解性基质:PLGA 是一种生物可降解的聚合物,其降解速率可以通过改变乳酸与羟基乙酸的比例以及分子量来调节。这一特性使得PLGA成为制备临时生物医学装置的理想材料,因为它可以在完成其功能后逐渐在体内分解,减少了需要手术移除植入物的必要。
药物递送载体:PLGA 可以封装各种药物,包括水溶性和脂溶性药物,并通过其降解控制药物的释放。这种控制释放能力对于治疗需要长期药物维持的疾病来说极为重要。
结构支持:在组织工程中,PLGA 可以被用来制造具有特定机械和物理性质的支架,以支持细胞生长和组织再生。支架的孔隙结构和表面特性可以被优化,以促进细胞附着和增殖。
相关目录:
Heparin-PLGA 肝素-羟基乙酸共聚物
Heparin-PCL 肝素-聚己内酯
Heparin-PLA 肝素-聚乳酸
Heparin-PEG-PCL 肝素-聚乙二醇-聚己内酯
Heparin-PEG-PLGA 肝素-聚乙二醇-羟基乙酸共聚物
Heparin-PEG-PLA 肝素-聚乙二醇-聚乳酸
风险提示:丁香通仅作为第三方平台,为商家信息发布提供平台空间。用户咨询产品时请注意保护个人信息及财产安全,合理判断,谨慎选购商品,商家和用户对交易行为负责。对于医疗器械类产品,请先查证核实企业经营资质和医疗器械产品注册证情况。
文献和实验动物的肥大细胞合成的粘多糖的一种。原来是从肝中得到的抗凝血的物质。作为医药是由肠粘膜等加工而得到的不含蛋白的制剂,已知在生物体内是和其他粘多糖一样,是以与蛋白结合的蛋白聚糖形态而存在,但不象硫酸软骨素那样的细胞外间质成分,似乎可以说它是细胞内成分。肝素的抑制作用必须有辅助因子(co-factor),但它是靠与蛋白质或其他带正电荷的高分子电解质的结合性而实现的,例如凝血酶和肝素辅因子结合成复合体则起抑制凝固作用。多糖链是由L-艾杜糖醛酸、D-葡萄糖醛酸、D-葡萄糖胺组成,硫酸
Heparin-Induced Thrombocytopenia
Heparin-induced thrombocytopenia (HIT) is caused by platelet-activating immunoglobulin (Ig) G antibodies that recognize multimolecular complexes of platelet factor 4 (PF4) bound to heparin or other polyanions. Most laboratory assays for HIT
2 variants are further subtyped into three categories depending on whether the mutation has its effect on the reactive site (RS), the heparin binding site (HBS) or has multiple or pleiotropic effects (PE). Thus, the last update of the antithrombin database
技术资料暂无技术资料 索取技术资料










