相关产品推荐更多 >
万千商家帮你免费找货
0 人在求购买到急需产品
- 详细信息
- 文献和实验
- 技术资料
- 库存:
1000
- 英文名:
GE11 peptide-Liposome
- CAS号:
N/A
- 保质期:
一个月内为宜
- 供应商:
深圳市魅罗科技有限公司
- 保存条件:
4°保存,避光
- 规格:
100mg
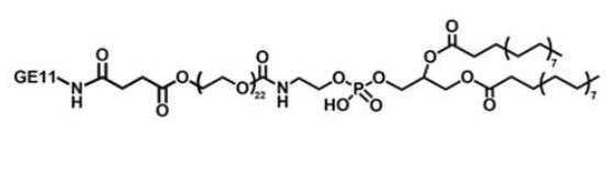
GE11多肽 脂质体包裹脂溶性药物 细胞表皮生长因子
脂质体包裹药物 纳米级药物递送平台
产品简介
中文名称:GE11多肽修饰脂质体包裹脂溶性药物
英文名称:GE11 peptide-Liposome/
浓度:脂质体10mg/ml 浓度可以调节 药物浓度可根据要求
粒径:100-200nm 粒径可以调节
脂质体修饰: GE11 peptide
保存条件: 4°保存,避光
保存时间: 一个月内为宜
产品图片
产品简介
GE11可以结合到过表达EGFR的细胞上,作为靶向的载体,将药物或荧光标记的分子与GE11结合,可以提高药物的靶向性,减少对正常细胞的影响。脂质体是由一层或多层的脂质双分子构成的囊状小球,结构与生物膜类似。其作为中药药物的载药材料,能包埋不同极性的药物,可携带大量药物,有提高疗效、增加药物稳定性、降低药物毒性等优点。脂质体在体内可被巨噬细胞摄取,在骨髓、肝、脾等单核巨噬细胞较为丰富的部位浓集,从而发挥靶向作用。
注意事项
产品仅供科学研究,不可直接作用于人体
相关产品
空白脂质体
荧光标记空白脂质体
多肽修饰空白脂质体
Mannose修饰空白脂质体
蛋白修饰空白脂质体
抗体修饰空白脂质体
复合修饰空白脂质体
脂质体包裹小分子药物
荧光标记脂质体包裹小分子药物
多肽修饰脂质体包裹小分子药物
Mannose修饰脂质体包裹小分子药物
蛋白修饰脂质体包裹小分子药物
抗体修饰脂质体包裹小分子药物
复合修饰脂质体包裹小分子药物
LNP包裹核酸DNA/mRNA/SiRNA
荧光标记LNP包裹核酸DNA/mRNA/SiRNA
多肽修饰LNP包裹核酸DNA/mRNA/SiRNA
Mannose修饰LNP包裹核酸DNA/mRNA/SiRNA
蛋白修饰LNP包裹核酸DNA/mRNA/SiRNA
抗体修饰LNP包裹核酸DNA/mRNA/SiRNA
复合修饰LNP包裹核酸DNA/mRNA/SiRNA
风险提示:丁香通仅作为第三方平台,为商家信息发布提供平台空间。用户咨询产品时请注意保护个人信息及财产安全,合理判断,谨慎选购商品,商家和用户对交易行为负责。对于医疗器械类产品,请先查证核实企业经营资质和医疗器械产品注册证情况。
文献和实验的修饰,膜材接上高分子或氨基酸等可在体内降解的前体,可以分散状态存在,也可以固态存在,二者不可统一而论,我们仅对前一种研究情况综述。脂质体前体的制备方法很多,一种简单方法是将磷脂和脂溶性药物溶于有机溶剂中,加入一种水溶性载体(支持剂),然后在真空下抽干形成流动性较好的粉末,它容易水化再分散形成脂质体,而且具有较高的包裹率。PayneNI等人[3]制备了脂溶性药物两性霉素B脂质体前体,并对其稳定性及再分散后脂质体粒子大小的影响因素进行了考察,指出脂质体前体的粒径及水化温度(假定此温度高于所用磷脂的相
水果也会用纳米技术?因能治疗癌症,还登上 Nature 和 Cell 子刊!
比人造纳米载体更广。同时,细胞实验与体内试验显示,GNVs 的细胞毒性较低。在确定了 GNVs 可以被细胞和器官吸收后,作者用体内与体外试验证明,GNV 能够像脂质体一样,将质粒与蛋白带入细胞内。在该研究的最后,作者使用 GNVs 搭载了一种名为 JSI-123 的 stat3 抑制剂,并成功抑制了不同位置的,多种类型的肿瘤的生长。其中还包括难以治疗的脑部肿瘤。总而言之,这项研究证明了「水果纳米载体」用于搭载药物的可行性,而且这种「纳米载体」非常容易生产。同时,通过控制研磨水果榨汁的压力,科学家可以调节
,腺病毒,腺相关病毒,慢病毒,乙肝病毒等,已被荧光素酶标记,用于观察病毒对机体的侵染过程。 (2)基因治疗 基因治疗包括在体内将一个或多个感兴趣的基因及其产物安全而有效的传递到靶细胞。可应用荧光素酶基因作为报告基因用于载体的构建,观察目的基因是否能够在试验动物体内持续高效和组织特异性表达。这种非侵入方式具有容易准备、低毒性及轻微免疫反应的优点。荧光素酶基因也可以插入脂质体包裹的DNA分子中, 用来观察脂质体为载体的DNA运输和基因治疗情况。 3. 标记细菌 (1)细菌侵染研究
技术资料暂无技术资料 索取技术资料









