- 详细信息
- 文献和实验
- 技术资料
- 提供商:
麦特绘谱
- 服务名称:
儿茶酚胺类检测
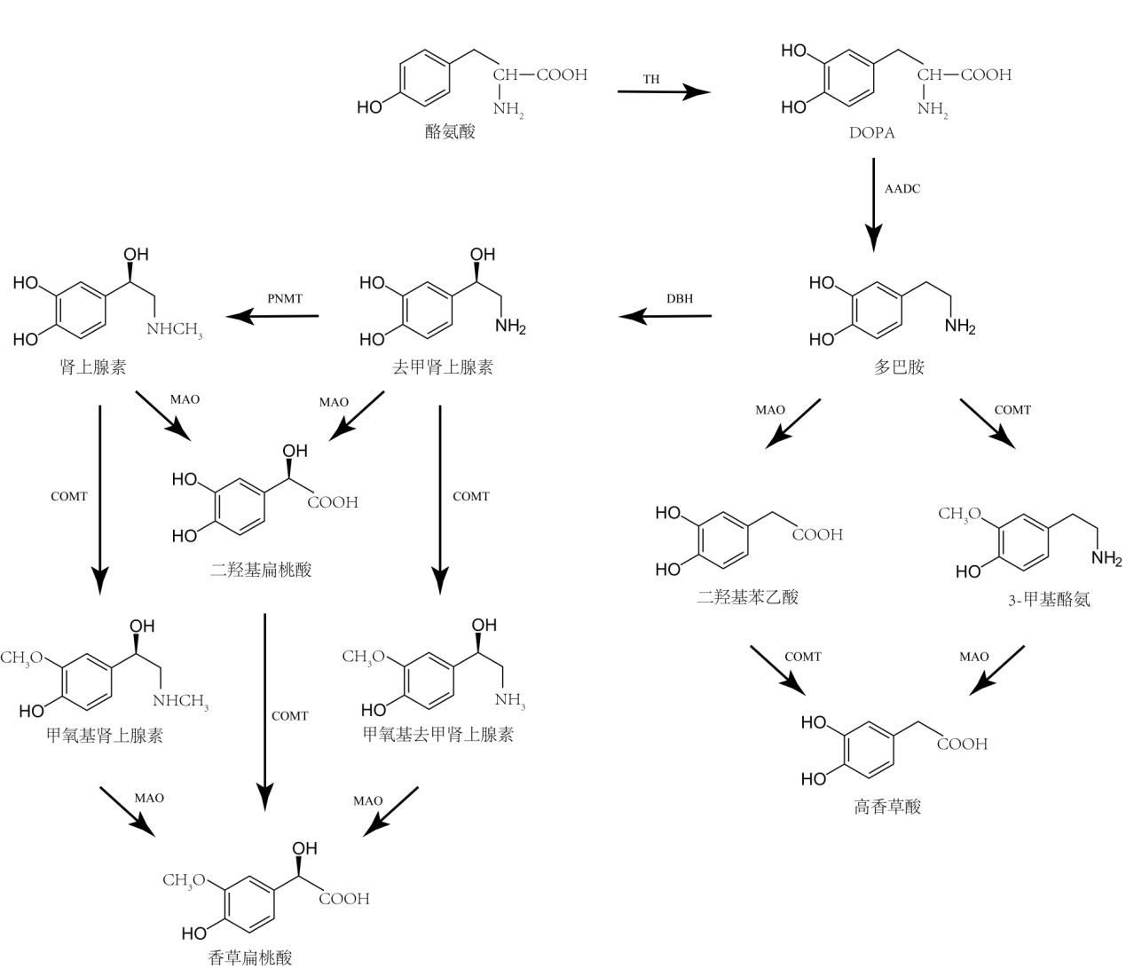
儿茶酚胺是一类含有邻苯二酚的胺类化合物,儿茶酚胺类物质在体内调节基本生理功能,传递生理信号,是正常生理过程中重要的信号介质。比如,多巴胺可调控中枢神经系统的多种生理功能,包括认知、运动控制、学习记忆、上瘾行为等。临床上儿茶酚胺类分析可以用于辅助诊断高血压、甲亢、嗜铬细胞瘤和神经母细胞瘤等内分泌相关疾病。

技术亮点:
样本类型:尿液,易获取
通量高:同时检测样本中各种儿茶酚胺及其代谢物;
定量准确:每个代谢物都有对应内标;
特异性强:分离性能好,减少相似化合物干扰,避免各种交叉反应。

检测流程:


风险提示:丁香通仅作为第三方平台,为商家信息发布提供平台空间。用户咨询产品时请注意保护个人信息及财产安全,合理判断,谨慎选购商品,商家和用户对交易行为负责。对于医疗器械类产品,请先查证核实企业经营资质和医疗器械产品注册证情况。
文献和实验佚名 儿茶酚胺类(Catecholamines)是指含有邻苯二酚基本结构的胺类。体内具有生物活性的儿茶酚胺包括多巴胺(dopamine,DA)、去甲肾上腺素(norepinephrine,noradrenaline,NE)和肾上腺素(epinephrine,adrenalin,E)。它们的结构如下。 去甲肾上腺素和肾上腺素既是肾上腺髓质所分泌的激素,又是交感
【信息】【新年促销】德国IBL儿茶酚胺类ELISA试剂盒优惠大促销 5.5~7.5折优惠
德国IBL国际有限公司是一家有着近30年经验的专业医疗诊断试剂研发制造商,其产品均已经通过ISO9001、ISO13485和欧洲CE认证,并且通过了美国FDA的认证。公司产品系列包括生物胺系列、传染病系列、新生儿筛查系列及不孕系列等ELISA产品及放免产品。深圳市科润达生物工程有限公司,为德国IBL公司中国(含港澳地区)独家代理商!现我公司推出德国IBL儿茶酚胺/生物胺类检测试剂优惠大促销活动,即日起,通过深圳科润达生物购买德国IBL儿茶酚胺/生物胺类产品,即可获得5~7.5折优惠! 活动时间
犬 儿茶酚胺 (CA) 酶联免疫 分析( ELISA ) 试剂 盒使用说明书 本试剂仅供研究使用 目的:本试剂盒用于测定犬血清,精液及相关液体样本中 儿茶酚胺 (CA) 的含量。 实验原理 : 本试剂盒应用 双抗体 夹心法测定 标本 中 犬 儿茶酚胺 (CA) 水 平。用纯化的 犬 儿茶酚胺 (CA) 抗体 包被微孔板,制成固相 抗 体,往包被 单抗 的微孔中加入 儿茶酚胺 (CA) ,再与HRP标记的 儿茶酚胺
技术资料暂无技术资料 索取技术资料









