相关产品推荐更多 >

4-(氮杂环丁-3-基)吗啉 CAS号 302355-79-9
¥11628
6-羟基-4-(三氟甲基)烟酸 CAS号:849020-87-7
¥783![1,3-Diethyl-2-oxo-2,3-dihydro-1H-benzo[d]imidazole-5-carbaldehyde CAS号 14624-85-2](https://img1.dxycdn.com/p/s14/2025/1127/481/0040706382211293991.png!wh200)
1,3-Diethyl-2-oxo-2,3-dihydro-1H-benzo[d]imidazole-5-carbaldehyde CAS号 14624-85-2
¥17289
2-Hydroxy-4-methoxy-5-(tetrahydro-3,4-dihydroxy-4-methyl-5-oxo-2-furanyl)benzenepropanoic acid CAS号:1212148-58-7
¥7985
(R)-4-苄基-2-(2-(二苯基膦基)苄基)-4,5-二氢恶唑 CAS号 2901043-37-4
¥3052
万千商家帮你免费找货
0 人在求购买到急需产品
- 详细信息
- 文献和实验
- 技术资料
- 保存条件:
储存-20℃,干燥、避光、密封
- 保质期:
2年
- 英文名:
Prosaikogenin G
- 库存:
1000
- 供应商:
四川省维克奇生物科技有限公司
- CAS号:
99365-23-8
- 规格:
20mg 50mg 100mg 500mg 1g 2g等应客户需求包装.
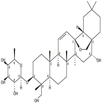
中文名称:前柴胡皂苷G
英文名称:Prosaikogenin G
英文别名:(3β,4α,16α)-13,28-Epoxy-16,23-dihydroxyolean-11-en-3-yl 6-deoxy-β-D-galactopyranoside;Prosaikogenin G;Prosapogenin G;
分子式:C36H58O8
分子量:618.84
CAS号:99365-23-8
纯度:HPLC≥95%
沸点:722.4±60.0 °C | Condition: Press: 760 Torr
密度:1.26±0.1 g/cm3 | Condition: Temp: 20 °C Press: 760 Torr
酸系度数:13.04±0.70 | Condition: Most Acidic Temp: 25 °C
储存条件:-20℃,干燥、避光、密封
规格:5mg10mg20mg50mg100mg500mg1g2g等应客户需求包装
供应单位:四川省维克奇生物科技有限公司
供应电话:028-81700200/4008005713
四川省维克奇生物科技有限公司生产中药类标准品和天然植物有效单体,主打中药对照品/标准品/天然植物有效单体,化学合成,抗生素三大板块。公司推出丹参系列、龙胆系列、虫草系列等,敬请关注! 新批次有现货,欢迎咨询。
风险提示:丁香通仅作为第三方平台,为商家信息发布提供平台空间。用户咨询产品时请注意保护个人信息及财产安全,合理判断,谨慎选购商品,商家和用户对交易行为负责。对于医疗器械类产品,请先查证核实企业经营资质和医疗器械产品注册证情况。
文献和实验四川省维克奇生物科技有限公司成立于2006年,注册资本100万元,是四川省成都市一家专业从事天然药物纯化分离公司。
主打对照品/标准品/天然植物有效单体,化学合成,抗生素三大板块。实验室拥有一批精密的分离纯化系统和检测设备;拥有一批技术精湛的研究队伍;拥有一套完整的质量管理体系;
公司可承接以下业务:
1、指定化合物克级---公斤级定制业务;
2、指定药材全系列的分离纯化业务;
3、新化合物的分离纯化及结构鉴定业务;
4、指定结构式的合成定制业务;
5、液相、质谱、核磁等检测业务。
多年的积累,公司拥有上万个现货化合物以及以下系列成熟的分离纯化工艺:甘草系列、人参系列、补骨脂系列、雷公藤系列、银杏系列、黄芪皂苷系列、黄芩系列、柴胡系列、酸枣仁系列、重楼系列、五味子系列、大黄系列、丹参系列、柴胡系列、远志系列、平贝系列等,更多系列请查看产品中心。
公司不断提高现有产品质量和开发新化合物,因此赢来了很多知名的高等学府和研究所为我公司长期合作单位,比如:清华大学、中国药科大学、广州中医药大学、江西中医药大学、成都中医药大学,四川大学、暨南大学、辽宁中医药大学、香港浸會大學中醫藥學院、上海交通大学、吉林大学、大连化物所、中国农业科学院特产研究所、中国医学科学院药用植物研究所、澳门大学中华医药研究院........我们在专注于开发国内市场的同时,不断开发国际市场,目前已远销台湾,韩国,日本,加拿大,印度,美国,英国,澳大利亚等地区和国家。在中药对照品、标准品行业里赢得了广大客户良好的口碑,受到广大客户的信赖和好评。
公司未来的发展方向是为从事药物研究行业的学者、企业搭建一个交流与合作的平台。因此,公司在自主研发的同时,敞开公司大门,吸纳有能力开发新化合物的各研究所、各大专院校、企业加入我们公司。共同探讨和研究天然药物化学这门博大精深,永无止境的事业。
公司真诚邀请您的加入,共同携手为人类健康事业做出贡献。
℃下将收集的血浆分装保存,避免反复冻融。样本应避免溶血或高血脂。常见的抗凝剂包括EDTA钠盐,肝素钠,枸橼酸钠等。检测前请仔细阅读ELISA试剂盒说明书,查看该试剂盒针对抗凝剂是否有特殊要求。 细胞培养上清 将细胞培养上清液吸入离心管中,在2-8℃下以1000×g离心20分钟,除去细胞碎片和杂质,收集上清液备用,样本保存在-20℃或-80℃,避免反复冻融。 细胞提取液 反复冻融方法 1) 吸出培养板中的培养基,用胰蛋白酶消化细胞,然后加入适量的培养基将培养板上的细胞冲洗干净。悬浮
小鼠胸腺单细胞悬液制备流程 1.用颈椎脱臼法处死小鼠,75%酒精浸泡5 min后,取出小鼠置于无菌操作台上,腹部朝上。 小鼠胸骨下方剪开小鼠的胸腔,可看到白色透明胸腺,呈两叶分布,位于两肺的前方,胸骨的正后方。 取出胸腺并浸泡于干净的PBS溶液中。 将胸腺置于200目筛网中,用组织研磨棒轻轻研磨至没有明显块状物。 用15 mL PBS冲洗筛网,并将冲洗液收集于15 mL离心管,300 g离心5 min,弃上清。 用细胞染色缓冲液重悬胸腺细胞,并调整细胞浓度至1×107/mL。 注意
打开峰图文件,依据图形初步判定测序质量,SAP酶纯化后的头峰杂度比较大,至少前50bp序列一般不可信,后续峰形如果还不错,主峰高、噪峰低、未见干扰峰,测序结果应该可信。一个正常的成功反应,能保证测序峰形清晰的长度为500 Bases (实际600 —800 Bases)。 在进行DNA测序时,紧接引物的10 — 30 Bases有时不一定能完全读清楚。 由于DNA结构上的原因,有时会出现反应中途无法进行之情况。如:G/C rich; G/C Cluster;Poly A、 Poly T的连续






