相关产品推荐更多 >
万千商家帮你免费找货
0 人在求购买到急需产品
- 详细信息
- 询价记录
- 文献和实验
- 技术资料
- 保存条件:
ITTABIO
- 保质期:
3年
- 英文名:
AmphotericinBsolubilized可溶性两性霉素B
- 库存:
55
- 供应商:
北京伊塔生物科技有限公司
- CAS号:
1397-89-3
- 规格:
25mg
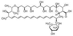
两性霉素B 1397-89-3 两性霉素B 1397-89-3 名称:两性霉素B 1397-89-3 两性霉素B 1397-89-3 货号:YT0272 英文名称:AmphotericinBsolubilized可溶性两性霉素B 品牌:伊塔生物 CAS:1397-89-3 规格:25mg
| 中文别名(Chinese synonym) |
节丝霉素B、异性霉素、芦山霉素、庐山霉素 |
| 英文别名(English synonym) |
Ampho-Moronal, Amphocil, Amphozone, Fungilin, Fungizone |
| CAS号(CAS NO.) |
1397-89-3 |
| 分子式(Formula) |
C47H73NO17 |
| 分子量(Molecular weight) |
924.1 g/mol |
| 活力值(Potency) |
>750 µg/mg |
| 外观(Appearance) |
黄色至橙色粉末;溶液颜色根据PH值的不同为黄色至深黄色 |
| 溶解性(Solubility) |
溶于DMSO(30-40 mg/mL) |
| 结构式(Structure) |
|
Amphotericin B是从链霉菌(Streptomyces species)中分离而得的一类多烯类抗真菌药,其结构中含有一羧基和一氨基,故兼有酸碱两性,对多种真菌如新型隐球酵母、皮炎芽酵母、巴西芽酵母、、申克氏侧孢霉、白假丝酵母和若干诺卡氏菌等有显著的抑菌作用。Amphotericin B与真菌细胞膜内的甾醇结合,造成细胞膜通透性的改变,导致细胞内的小分子化合物,如钾离子、氨基酸等释放到膜外,破坏真菌正常代谢并引起死亡。细菌因其细胞膜上不含甾醇成分,从而两性霉素B对其无抑制和/或杀灭作用。
本品不含任何动物来源性组分。对于酵母和其他真菌,推荐使用浓度为2.5 μg/mL。另外我司提供无菌溶液形式的Amphotericin B,分别为溶于DMSO(以及溶于水的溶液(),可直接稀释用于细胞培养实验,也可与青-链霉素(双抗)一起使用,预防细胞受真菌和细菌污染。

风险提示:丁香通仅作为第三方平台,为商家信息发布提供平台空间。用户咨询产品时请注意保护个人信息及财产安全,合理判断,谨慎选购商品,商家和用户对交易行为负责。对于医疗器械类产品,请先查证核实企业经营资质和医疗器械产品注册证情况。
- 作者
- 内容
- 询问日期
文献和实验«Inhibitory effects of aan aqueous extract from Cortex Phellodendri on the growth and replication of broad-spectrum of viruses in vitro and in vivo»作者Jae-Hoon Kim 影响因子PMID: 27484768PMCID: PMC4970287DOI: 10.1186/s12906-016-1206-x Faecalicatena absiaana sp. nov., an obligately anaerobic bacterium from a pig farm faeces dump.作者Shin Y, Paek J, Kim H, Kook JK, Chang YH.Int J Syst Evol Microbiol. 2022 Feb;72(2). 影响因子doi: 10.1099/ijsem.0.005238.PMID: 35159617
CD89 分子 CD89 常用单克隆抗体或代号: 79E6,A3;(Fca R) 主要表达细胞: My,Tsub,Bsub [M] 分子质量(kDa)和结构: gp55- 75(IgSF) 功 能: IgAFc段受体,信号转导 CD89 Summary: IgA Fc receptor, binds IgA and eliminates IgA coated targets
cgaoy121 请问PKA抑制剂H89用什么溶剂来溶解,DMSO,水,培养基还是PBS? cgaoy121 找到了,用DMSO 鱼cynthia DMSO溶解后 用什么稀释 PBS么 cgaoy121 PBS或者培养基都可以稀释 chenlinghezzx 一般是用培养基。 萍萍-2011
中秋国庆小长假来场浪漫的旅行?不存在的,别说堵的心慌,宰的憋屈,主要是没钱。作为一枚小硕,国家助学金每月不到 600 块,别说精神需求,连满足基本生活支出都困难。作为生物狗,先不要想着发表 CNS,找到好工作,走上人生巅峰,先想办法毕业吧,下面来看看科研狗到底有多穷。学霸君先带你看看各地生命科学研究生的每月收入情况。从整体上来看,港澳台和海外地区是同等级收入最高的,这可能与当地的生活成本有关;大陆地区的华北和华东是生命科学研究生收入津贴较多的地区,如华北地区硕士平均津贴为 1241.35 元
技术资料需要更多技术资料 索取更多技术资料











