相关产品推荐更多 >
万千商家帮你免费找货
0 人在求购买到急需产品
- 详细信息
- 文献和实验
- 技术资料
- 保存条件:
ITTABIO
- 保质期:
3年
- 英文名:
Alizarinred
- 库存:
55
- 供应商:
北京伊塔生物科技有限公司
- CAS号:
130-22-3
- 规格:
25g
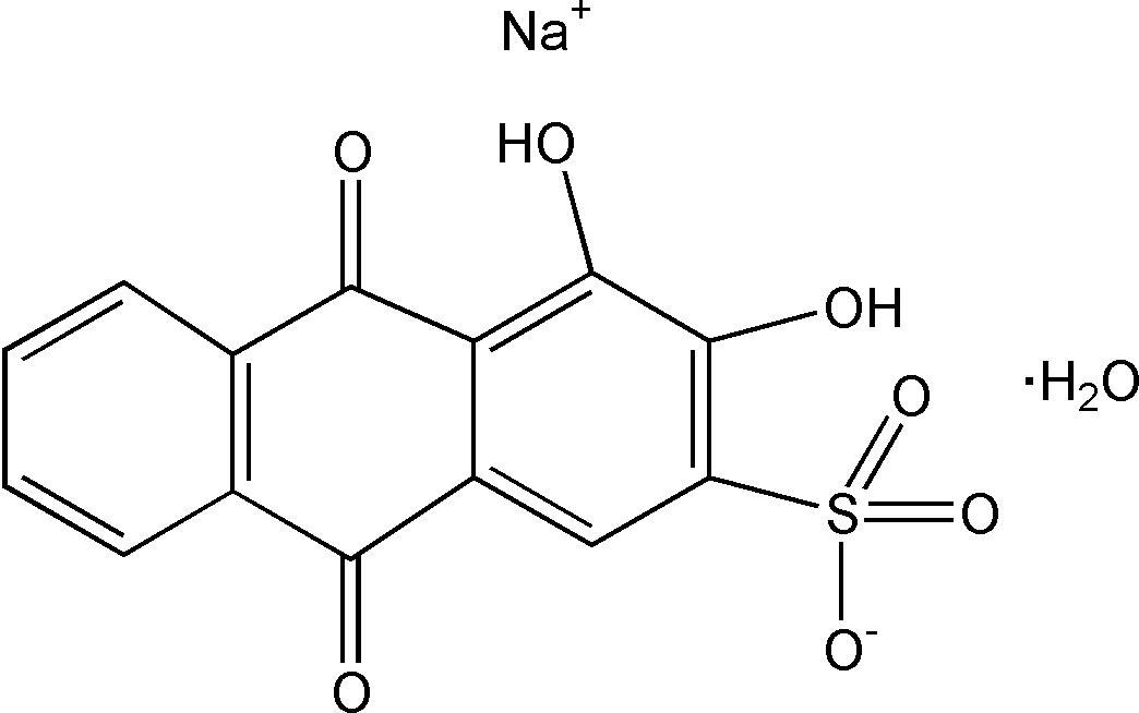
茜素红 S 130-22-3 茜素红 S 130-22-3 名称:茜素红 S 130-22-3 茜素红 S 130-22-3 货号:YT0248 英文名称:Alizarinred 品牌:伊塔生物 CAS:130-22-3 规格:25g,
| 中文别名(Chinese Synonym) |
媒介红3;茜素S;茜素磺酸钠; |
| 英文别名(English Synonym) |
Alizarin S; Sodium alizarin sulfonate; Mordant red 3; |
| CAS号(CAS NO.) |
130-22-3 |
| 分子式(Formula) |
C14H7O7SNa·H2O |
| 分子量(Molecular Weight) |
360.3 |
| 外观(Appearance) |
黄棕色或橙黄色结晶性粉末 |
| 溶解性(Solubility) |
易溶于水(1 mg/mL)和,微溶于乙醇 |
| 结构式(Structure) |
|
茜素红(Alizarin Red S)是一种蒽醌衍生物,常用来体外检测组织切片或者培养细胞的钙质变化。作用机制在于茜素红与钙螯合形成橘红色复合物,此产物具有双折射性。严格意义上茜素红并不是钙特异性染料,它还会与镁,锰,钡,锶或其他离子发生反应,但是这些元素通常因含量很低而不会干扰最终的染色结果。钙沉积是骨细胞成熟的标志事件之一,因此茜素红染色常用来鉴定人和大小鼠间充质干细胞分化 培养基内含钙骨细胞水平,从而间接反映诱导分化程度。某些情况下一些非骨源细胞也会发生病理性的钙 沉积
茜素红(Alizarin Red S)是一种蒽醌衍生物,常用来体外检测组织切片或者培养细胞的钙质变化。作用机制在于茜素红与钙螯合形成橘红色复合物,此产物具有双折射性。严格意义上茜素红并不是钙特异性染料,它还会与镁,锰,钡,锶或其他离子发生反应,但是这些元素通常因含量很低而不会干扰最终的染色结果。钙沉积是骨细胞成熟的标志事件之一,因此茜素红染色常用来鉴定人和大小鼠间充质干细胞分化 培养基内含钙骨细胞水平,从而间接反映诱导分化程度。某些情况下一些非骨源细胞也会发生病理性的钙 沉积,茜素红染色也可用来反映这些细胞的病变程度。另外,茜素红还是一种酸碱指示剂,颜色变化范围 是:pH 3.7(黄色)~5.2(紫色)。茜素红染色常用的工作浓度是2%(w/v)。
,茜素红染色也可用来反映这些细胞的病变程度。另外,茜素红还是一种酸碱指示剂,颜色变化范围 是:pH 3.7(黄色)~5.2(紫色)。茜素红染色常用的工作浓度是2%(w/v)。

风险提示:丁香通仅作为第三方平台,为商家信息发布提供平台空间。用户咨询产品时请注意保护个人信息及财产安全,合理判断,谨慎选购商品,商家和用户对交易行为负责。对于医疗器械类产品,请先查证核实企业经营资质和医疗器械产品注册证情况。
文献和实验«Inhibitory effects of aan aqueous extract from Cortex Phellodendri on the growth and replication of broad-spectrum of viruses in vitro and in vivo»作者Jae-Hoon Kim 影响因子PMID: 27484768PMCID: PMC4970287DOI: 10.1186/s12906-016-1206-x Faecalicatena absiaana sp. nov., an obligately anaerobic bacterium from a pig farm faeces dump.作者Shin Y, Paek J, Kim H, Kook JK, Chang YH.Int J Syst Evol Microbiol. 2022 Feb;72(2). 影响因子doi: 10.1099/ijsem.0.005238.PMID: 35159617
茜素红S中文名称: 茜素红S英文名称:alizarin red S; sodium alizarin sulfonateCAS: 130-22-3分子式: C14H7NaO7•;H2O分子量: 360.28中文别名: 9,10-二氢-3,4-二羟基-9,10-二氧代-2-蒽磺酸单钠盐; 茜素红;(3)茜素磺酸钠 ;茜素S ;酸性媒介茜素红;酸性媒介红S-80(Acid Mordnat Reds-80);C.I.媒介红3(C.I.Mordant Red 3)。性质:橙黄色的针状体。溶于水,微
「扰人清梦,如谋财害命」EHJ (IF=22) 报道中断睡眠会缩短寿命,女性尤甚
管疾病或其他原因的风险增加有关。然而,直到现在,人们还不知道在夜间睡眠中唤醒负担 (唤醒次数和持续时间的组合) 是否也与死亡风险有关,唤醒负担 (AB) 在心血管相关疾病和全因死亡率的详细临床意义仍然未知。 2021 年 4 月 20 日,来自澳大利亚阿德莱德大学电气和电子工程学院等单位的研究团队在 European Heart Journal (IF = 22.67) 在线发表了题为 Sleep arousal burden is associated with long-term all-cause
:130mm 长度:不受限制 液槽尺寸:50*50*10mm 薄膜样品尺寸:50*50mm 5、校验样品:ø40*2mm一块 6、其他: 仪器尺寸:长740mm 宽270mm 高300mm 仪器净重:21Kg 电源:220V±22V 50HZ单相 环境条件:10~50℃ 主要技术参数: 预热时间:30min 准确度:透光率1% 雾度H≤0.5% 0.1% H>0.5% 0.3% 重复性:透光率0.5%
技术资料需要更多技术资料 索取更多技术资料











