相关产品推荐更多 >
万千商家帮你免费找货
0 人在求购买到急需产品
- 详细信息
- 文献和实验
- 技术资料
- 库存:
18
- 保质期:
2年
- 供应商:
上海联迈生物工程有限公司
- 保存条件:
-20℃
- 规格:
10mg
- 英文名:
- 别名:
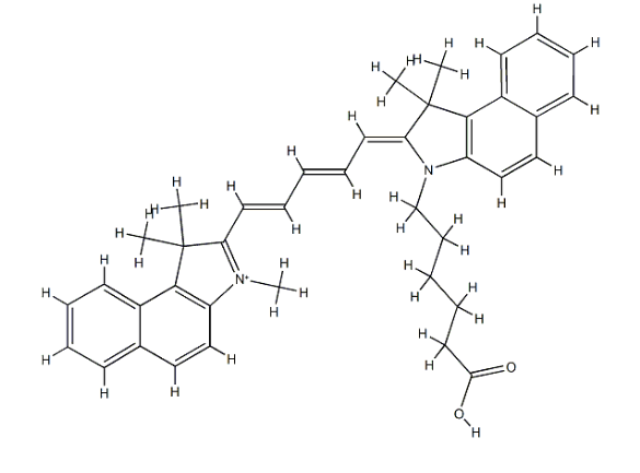
- 分子式:
- C40H43ClN2O2
- 分子量:
- 619.25

- 储存条件: -20℃
- 注意:部分产品我司仅能提供部分信息,我司不保证所提供信息的权威性,仅供客户参考交流研究之用。
风险提示:丁香通仅作为第三方平台,为商家信息发布提供平台空间。用户咨询产品时请注意保护个人信息及财产安全,合理判断,谨慎选购商品,商家和用户对交易行为负责。对于医疗器械类产品,请先查证核实企业经营资质和医疗器械产品注册证情况。
文献和实验羧酸的羧基中的羟基被卤原子、酰氧基( )、烃氧基( R— O—)、氨基等取代后生成的相应化合物叫做羧酸衍生物。如: 羧酸衍生物都能水解,生成相应的酸。酰卤、酸酐酯和酰胺,还都能发生醇解和氨解反应。在这些反应中,酰卤最活泼,酰胺最不活泼,它们的反应活泼次序是酰卤>酸酐>酯>酰胺。羧酸衍生物比羧酸容易还原。
细菌芽孢中大量(干重量为 10-15%)存在的物质。但一般在不形成芽孢的细菌和形成芽孢的细菌其营养细胞中都不存在。此酸在芽孢中以钙盐的形态存在于内层的细胞膜和外层芽孢壳( spore coat)间的皮层中。
Nature 子刊:确定男性避孕关键基因,敲除后 98% 精子形态异常
的是,缺乏该基因也会引起严重的不育症,导致一种称为少精症的病症。这是人类男性不育症中最常见的情况,显示产生的精子数量减少、活动速度减慢和精子形状扭曲,因此精子无法与卵子融合。 在这项研究中,在雄性小鼠中敲除基因 Arrdc5 后,其产生的精子数量减少了 28%,移动速度比正常小鼠慢了 2.8 倍,大约 98% 的精子头部和中段异常。该结果表明,该基因编码的蛋白质是正常精子生产所必需的。 图片来源:Nature Communications 该研究团队表示,他们已经申请了一项临时专利,用于开发
技术资料暂无技术资料 索取技术资料








