相关产品推荐更多 >
万千商家帮你免费找货
0 人在求购买到急需产品
- 详细信息
- 文献和实验
- 技术资料
- 库存:
18
- 英文名:
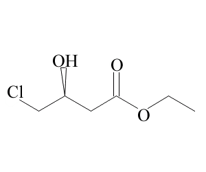
(S)-4-Chloro-3-hydroxybutyric Acid Ethyl Ester
- CAS号:
86728-85-0
- 保质期:
2年
- 供应商:
上海联迈生物工程有限公司
- 保存条件:
2-8℃
- 规格:
1g
- 英文名:
- (S)-4-Chloro-3-hydroxybutyric Acid Ethyl Ester
- 别名:
- (S)-4-氯-3-羟基丁酸乙酯;(S)-3-羟基-4-氯丁酸乙酯
- CAS号:
- 86728-85-0
- 分子式:
- C6H11ClO3
- 分子量:
- 166.6
- MDL:
- MFCD00211241

- 沸点: 93-95℃
- 外观: Clear Liquid
- 储存条件: 2-8℃
- 用途: (S)-4-Chloro-3-hydroxybutyric Acid Ethyl Ester
- 注意:部分产品我司仅能提供部分信息,我司不保证所提供信息的权威性,仅供客户参考交流研究之用。
风险提示:丁香通仅作为第三方平台,为商家信息发布提供平台空间。用户咨询产品时请注意保护个人信息及财产安全,合理判断,谨慎选购商品,商家和用户对交易行为负责。对于医疗器械类产品,请先查证核实企业经营资质和医疗器械产品注册证情况。
文献和实验A simple workflow allows the purification of high-quality DNA and RNA from the same sample (see flowchart). The 96-well purification plates of the kit are rapidly and conveniently processed using either a centrifuge (Centrifuge 4-15C and Plate Rotor 2 x 96
96 Well Mating Protocol platewise
mated cultures onto PREWARMED 150 X 15 mm YEG recombination plates PLACE AT 41℃ overnight. NOTES: Temp is crucial. Overshooting temp is detrimental, it’s better to have temp 1-2 degrees lower than 42℃. However, you may incur higher background
96 Well Mating Protocol platewise
just inside two I-SceI cut sites (Sce1-H1-Cassette- 96 well Mating Protocol Preparation:1. Streak fresh donor plasmid on LB + proper antibiotic +IPTG/XGAL plate (donor F’ strain contains lac +, it will be blue on the XGAL plate2. Streak recipient plasmid (pMSCV) on LB
技术资料暂无技术资料 索取技术资料









