相关产品推荐更多 >
万千商家帮你免费找货
0 人在求购买到急需产品
- 详细信息
- 文献和实验
- 技术资料
- 库存:
18
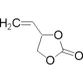
- 英文名:
4-Vinyl-1,3-dioxolan-2-one
- CAS号:
4427-96-7
- 保质期:
2年
- 供应商:
上海联迈生物工程有限公司
- 保存条件:
2-8℃
- 规格:
25g
- 英文名:
- 4-Vinyl-1,3-dioxolan-2-one
- 别名:
- 碳酸乙烯亚乙酯(VEC);乙烯基碳酸乙烯酯
- CAS号:
- 4427-96-7
- 分子式:
- C5H6O3
- 分子量:
- 114.1
- MDL:
- MFCD00143315

- 沸点: 237℃
- 储存条件: 2-8℃
- 注意:部分产品我司仅能提供部分信息,我司不保证所提供信息的权威性,仅供客户参考交流研究之用。
风险提示:丁香通仅作为第三方平台,为商家信息发布提供平台空间。用户咨询产品时请注意保护个人信息及财产安全,合理判断,谨慎选购商品,商家和用户对交易行为负责。对于医疗器械类产品,请先查证核实企业经营资质和医疗器械产品注册证情况。
文献和实验secondary antibody review -- data from 99 publications
data
glucoside,5% 99 90 Octyl thioglucoside,5% 99 95 Lauryl maltoside,1% 98 99 Triton* X-100,2% 99 87
and On-board Display Interface 6.5” VGA 32k color with Touch Screen Tm Calculator Menu driven through touch screen VeriFlex™ Blocks 25 °C (5 °C Zone-to-Zone) Mastercycler® ep gradient S Mastercycler® ep gradient S 技术性能如下 样品容量96x0.2ml PCR 管或1 块
技术资料暂无技术资料 索取技术资料









