相关产品推荐更多 >
万千商家帮你免费找货
0 人在求购买到急需产品
- 详细信息
- 文献和实验
- 技术资料
- 库存:
18
- 英文名:
7-METHOXY-2,3-DIHYDRO-1H-INDOLE
- CAS号:
334986-99-1
- 保质期:
2年
- 供应商:
上海联迈生物工程有限公司
- 保存条件:
2-8℃
- 规格:
10mg
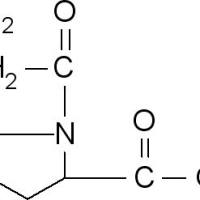
- 英文名:
- 7-METHOXY-2,3-DIHYDRO-1H-INDOLE
- 别名:
- 7-甲氧基吲哚啉;7-METHOXY-2,3-DIHYDRO-1H-INDOLE;1H-INDOLE,2,3-DIHYDRO-7-METHOXY-
- CAS号:
- 334986-99-1
- 分子式:
- C9H11NO
- 分子量:
- 149.19

- 注意:部分产品我司仅能提供部分信息,我司不保证所提供信息的权威性,仅供客户参考交流研究之用。
风险提示:丁香通仅作为第三方平台,为商家信息发布提供平台空间。用户咨询产品时请注意保护个人信息及财产安全,合理判断,谨慎选购商品,商家和用户对交易行为负责。对于医疗器械类产品,请先查证核实企业经营资质和医疗器械产品注册证情况。
文献和实验() #交换 x 轴和 y 轴> p + ylim(0,15) #如果想截取某一段可以用此命令设置值域。> p + scale_x_continuous(breaks =seq(18,34,50) ) #设置刻度线位置> p + theme(axis.text.x = element_text(angle = 90,family = "Times",face = "italic",colour = "darkred",size=rel(0.9))) # angle = 90 设置字体角度, family
99O2F8aOqSMe/nDbYYRQf1WdGuhQg3yLHuDQzU85cU9IfpUr80cTI7vpOPSeagpUYNhyKsbXIhh9Pogpvx9CcKpi/9tiBirYHw2XYVg02pZwHYD1y69luvpWsDV8C+xaW1tDIMjZ8hMI0hAQEIAnT57g7t274jgdFy5cEHuuFIaH17Bh6Na1K2rUoD8QVoqDQAle44ozDeubHwKhoaHQ4PNAk8MVt9AtAAsLi+IOY/0LQiBiOyZOs8fK6b
Constructing a Low-budget Laser Axotomy System to Study Axon Regeneration in C. elegans
-818.2009.03142.x (2009). 6. Hutson, M. S., & Ma, X. Plasma and cavitation dynamics during pulsed laser microsurgery in vivo . Physical review letters. 99, 158104 (2007). 7. Venugopalan, V., Guerra, A., 3rd, Nahen, K., & Vogel
技术资料暂无技术资料 索取技术资料









