相关产品推荐更多 >
万千商家帮你免费找货
0 人在求购买到急需产品
- 详细信息
- 文献和实验
- 技术资料
- 库存:
18
- 英文名:
Val-Tyr-Val
- CAS号:
17355-22-5
- 保质期:
2年
- 供应商:
上海联迈生物工程有限公司
- 保存条件:
-20℃
- 规格:
10mg
- 别名:
- L-缬氨酰-L-酪氨酰-L-缬氨酸
- CAS号:
- 17355-22-5
- 分子式:
- C19H29N3O5
- 分子量:
- 379.45
- MDL:
- MFCD00056146

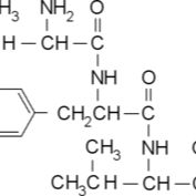
- 介绍: 氨基酸序列:Val-Tyr-Val
- 储存条件: -20℃
- 注意:部分产品我司仅能提供部分信息,我司不保证所提供信息的权威性,仅供客户参考交流研究之用。
风险提示:丁香通仅作为第三方平台,为商家信息发布提供平台空间。用户咨询产品时请注意保护个人信息及财产安全,合理判断,谨慎选购商品,商家和用户对交易行为负责。对于医疗器械类产品,请先查证核实企业经营资质和医疗器械产品注册证情况。
文献和实验Cyclization via the acyl azide(X=Z or Boc,R=Me,Et,Bzl) Bodansky最早应用迭氮法合成了cyclo(D-Ala-D-Ala-Val-D-Leu-Ile),虽然上述环肽不具有其母体化合物malformin的生物活性,但合成它为应用迭氮法合成环肽开辟了前景。 应用迭氮法合成环肽的另一个成功的例子是内皮素拮抗剂的合成。Endothelin(ET)是一种高效的血管收缩剂,由21个氨基酸残基组成,其受体拮抗剂之一cyclo(D-Trp-D-Asp(OtBu
Asn Asparagine AAT,AAC P Pro Proline CCT,CCC,CCA,CCG Q Gln Glutamine CAA,CAG R Arg Arginine CGT,CGC,CGA,CGG,AGA,AGG S Ser Serine TCT,TCC,TCA,TCG,AGT,AGC T Thr Threonine ACT,ACC,ACA,ACG V Val Valine GTT,GTC,GTA,GTG W Trp Tryptophan TGG X Xxx Unknown Y
由计算机阅读此类从 3’到 5’端排列的显性序列是荒堂的。 PDB 记录中的隐性序列蕴涵在由 PDB 文件中的 ATOM 记录及相应(X,Y,Z)位置坐标构成的化学立体结构中。 关于序列的记录 例如:…… SEQRES 1 A 21 GLY ILE VAL GLU GLN CYS CYS THR SER ILE CYS SER LEU SEQRES 2 A 21 TYR GLN LEU
技术资料暂无技术资料 索取技术资料









