相关产品推荐更多 >
万千商家帮你免费找货
0 人在求购买到急需产品
- 详细信息
- 文献和实验
- 技术资料
- 库存:
18
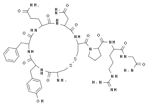
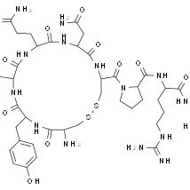
- 英文名:
Arg-vasopressin
- CAS号:
113-79-1
- 保质期:
2年
- 供应商:
上海联迈生物工程有限公司
- 保存条件:
2-8℃
- 规格:
5mg
- 英文名:
- Arg-vasopressin
- 别名:
- CYS-TYR-PHE-GLN-ASN-CYS-PRO-ARG-GLY-NH2; 醋酸精加压素;;Argipressine
- CAS号:
- 113-79-1
- 分子式:
- C46H65N15O12S2
- 分子量:
- 1084.23

- 提示:详情请下载说明书。
- 外观: 白色粉末
- 储存条件: 2-8℃
- 用途: 本品仅供科研,不得用于其它用途。
- 注意:部分产品我司仅能提供部分信息,我司不保证所提供信息的权威性,仅供客户参考交流研究之用
风险提示:丁香通仅作为第三方平台,为商家信息发布提供平台空间。用户咨询产品时请注意保护个人信息及财产安全,合理判断,谨慎选购商品,商家和用户对交易行为负责。对于医疗器械类产品,请先查证核实企业经营资质和医疗器械产品注册证情况。
文献和实验secondary antibody review -- data from 99 publications
data
平均气温7℃时萌发,气温升高,生长加快,遇霜冻则上部枯萎,冬季休眠。 以无性繁殖为主,割取孕穗前的地上茎,按行距25-30cm,株距4-5cm斜放于栽植沟上,埋土至2-3节位,保持适当水分即可成活。雨季,用有1-2个节的茎段栽植。盖土深3-5cm,10多天即可出苗。对氮肥十分敏感,当株高达60-100cm时即可刈割利用,留茬高3-5cm。春栽当年可刈割2-4次,第二年可刈4-6次,每公顷产青草75-113t,拔节中期刈割的青草含干物质15.57%,干物质中含粗蛋白质10.79%,粗脂肪1.99
值域+ scale_y_continuous(breaks = c(-300,-200,-100,0,100,200,300)) #增加刻度线+scale_fill_manual (values =c("p"="#3399CC","k"="#996666","4"="#802326","3"="#c2595e","2"="#e49eaf","1.5"="#FFCCCC","-4"="#29568a","-3"="#367fc2","-2"="#79c3ec","-1.5"="#99CCFF")) #更改配色
技术资料暂无技术资料 索取技术资料










