相关产品推荐更多 >
万千商家帮你免费找货
0 人在求购买到急需产品
- 详细信息
- 文献和实验
- 技术资料
- 库存:
18
- 英文名:
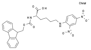
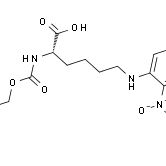
Fmoc-Lys(Dnp)-OH
- CAS号:
148083-64-1
- 保质期:
2年
- 供应商:
上海联迈生物工程有限公司
- 保存条件:
RT
- 规格:
250mg
- 英文名:
- Fmoc-Lys(Dnp)-OH
- 别名:
- N-芴甲氧羰基氨酸;N-Fmoc-N'-(2,4-dinitrophenyl)-L-lysine; FMOC-LYSINE(DNP)-OH; N-(9-Fluorenylmethyloxycarbonyl)-N'-(2,4-dinitrophenyl)-L-lysine; (S)-2-((((9H-Fluoren-9-yl)methoxy)carbonyl)ami
- CAS号:
- 148083-64-1
- 分子式:
- C27H26N4O8
- 分子量:
- 534.5

- 沸点: 805.3℃ at 760 mmHg
- 储存条件: RT
- 注意:部分产品我司仅能提供部分信息,我司不保证所提供信息的权威性,仅供客户参考交流研究之用。
风险提示:丁香通仅作为第三方平台,为商家信息发布提供平台空间。用户咨询产品时请注意保护个人信息及财产安全,合理判断,谨慎选购商品,商家和用户对交易行为负责。对于医疗器械类产品,请先查证核实企业经营资质和医疗器械产品注册证情况。
文献和实验10-Ser 多肽是高度冗余的,有 610=6X107 可能组合都编码这种 10-Ser 肽,然而对于非简并的 10-Met 多肽只存在唯一的编码组合。(像 Met 这样)非简并氨基酸只用 1/64 的三联码来唯一编码,密码简并性使得实际应用的 DNA 库必须大于不考虑简并性计算出来的结果以确保非简并氨基酸有一定的机会出现。更明确的说,在这个例子中我们必须编码 6410 ( ≈1.2 X 1018 ) 种可能的 DNA ( 三联码)序列来确保 10-Met 多肽可能有一定的概率出现。不幸
状瘤组织的冰冻切片进行杂交,首次用原位杂交检测了病毒DNA在细胞中的定位,但当时的工作多采用冰冻组织切片或培养细胞,探针均采用同位素标记。 由于同位素标记探针具有放射性既污染环境,又对人体有害,且受半衰期限制等缺点,科学工作者们开始探索用非放射性的标记物标记核酸探针进行原位杂交。Bauman(1981)等首先应用荧光素标记cRNA探针做原位杂交,然后用荧光显微镜观察获得成功。Shroyer(1982)报道用2,4二硝基苯甲醛(DNP)标记DNA探针,使该DNA探针具有抗原性,然后用兔抗DNP的抗体
TRAF‐Mediated TNFR‐Family Signaling
‐3169. Cao, Z., Henzel, W.J., and Gao, X. 1996a. IRAK: A kinase associated with the interleukin‐1 receptor. Science 271:1128‐1131.
技术资料暂无技术资料 索取技术资料










